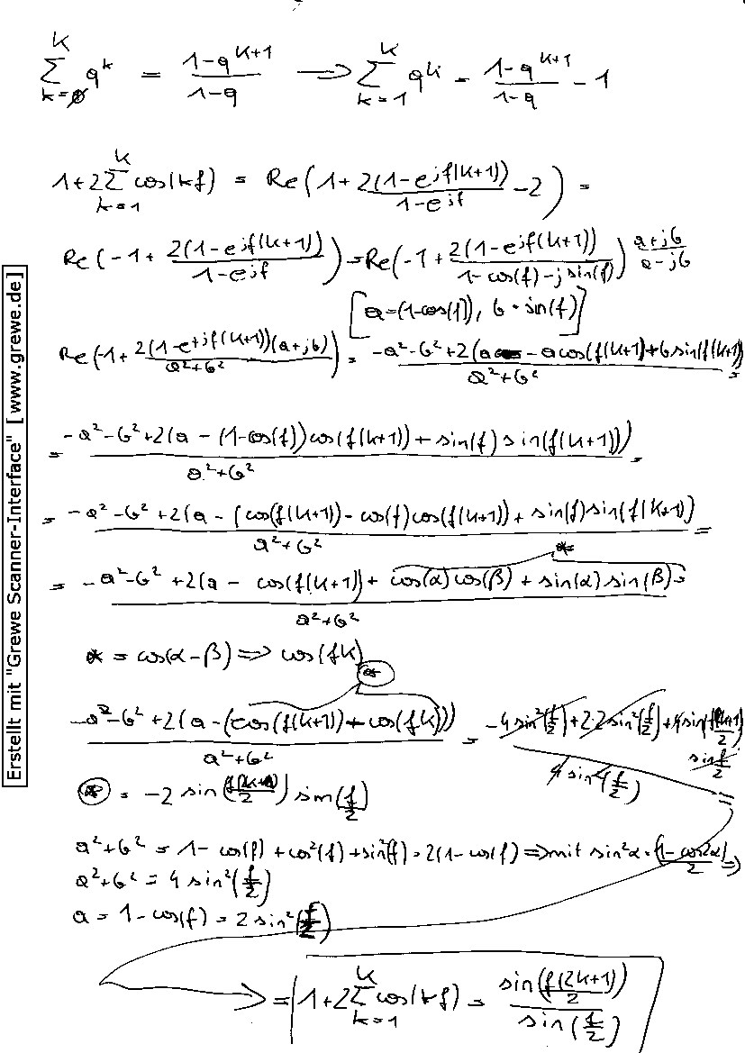
Weiss jemand von euch wie man diese Summe von dieser Reihe berechnet X(jf)=1 + 2 Summe(k=1,K)[cos(kf)] Lösung=sin((2K+1)f/2)/sin(f/2) Ist keine Prüfungsaufgabe sondern aus längst vergessenem Skriptum. Unser Herr Prof hat damals nicht die Lösung dazugeschrieben. Damals muss ich es wohl überlesen haben.
Bitte melde dich an um einen Beitrag zu schreiben. Anmeldung ist kostenlos und dauert nur eine Minute.
Bestehender Account
Schon ein Account bei Google/GoogleMail? Keine Anmeldung erforderlich!
Mit Google-Account einloggen
Mit Google-Account einloggen
Noch kein Account? Hier anmelden.

