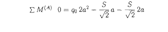
Kann mir jemand sagen wie ich diesae Gleichung nach S auflöse?
0 = q2a² - S(a/w2 + 2a/w2) wenn du die Momentensumme berechnen kannst, solltest du aber in den mathematischen Grndlagen schon so weit sein, dass du das alleine schaffst.
Schön langsam wirds aber lächerlich. Diese Formelumstellung ist doch nun wirklich nicht Raketentechnik Alle Terme ohne S auf die andere Seite bringen. Aus den beiden Brüchen das S herausheben Das was dann in der Klammer steht auf die andere Seite bringen.
alle Summanden mit S auf eine Seite, dann S ausklammern und den entstehenden Klammerausdruck auf die Seite von q02a² bringen.
Das was ihr geschrieben habt hatte ich bereits gemacht,doch ich komme nicht auf das Ergebniss in der Lösung. Lösung: siehe Anhang!
Bitte melde dich an um einen Beitrag zu schreiben. Anmeldung ist kostenlos und dauert nur eine Minute.
Bestehender Account
Schon ein Account bei Google/GoogleMail? Keine Anmeldung erforderlich!
Mit Google-Account einloggen
Mit Google-Account einloggen
Noch kein Account? Hier anmelden.

