Hallo Beschäftigt sich hier jemand mit dem Thema RFID. Ich will eine Anwendung umsetzten in der ein Reader mehrer Antennen lesen soll. Hierzu hatte ich an ein Zeitmultiplexen gedacht. oder einfacher gesagt eine Umschaltung der Antenne. Der Aufbau mit einem 4052 (8 Channel Switch) hätte auch funktionieren können, da er immerhin Signale bis zu 25 MHz übertragen kann. Mein System arbeitet mit einer Trägerfrequenz von 13,56 MHz. Bei Anschliessen des MUX bricht aber das Antennensiganl sofort zusammen. Da würde ich sagen stimmt dann die Anpassung einfach nichtmehr. Kennt jemand eine schöne Lösung für solch ein Problem? Ansonsten wäre ich auch an einem PN Austausch interessiert, da es noch viele Fragen dazu geben wird, und das ganze ein interessantes Thema ist.
Hallo, "Der Aufbau mit einem 4052 (8 Channel Switch) hätte auch funktionieren können,... Bei Anschliessen des MUX bricht aber das Antennensiganl sofort zusammen. Da würde ich sagen stimmt dann die Anpassung einfach nichtmehr. " Hast Du die Antennen direkt an den 4052 angeschlossen? Ohne geeignete Ansteuerung/Verstärker vor und hinter dem 4052 wird es wohl nicht funktionieren. Wird da empfangen oder gesendet? Schon mal an das Übersprechen über den geöffneten Schaltern gedacht? Hier kann Interferenz entstehen, wenn die anderen Antennen gleichzeitig das selbe Signal empfangen. In vielen Fällen wird HF mittels Dioden umgeschaltet. Gruß
Ja, hab die Antenne direkt am 4052. Der Aufbau besteht aus einer Lese/schreibeinheit, an der normal 1 Antenne angeschlossen ist. Das Funktioniert auch problemlos. Ich hätte gedacht, das ich anstatt der Antenne nun den 4052 setze und dieser einfach nur die richtige Antenne anwählt, bzw. die Signale dieser überträgt. Da ich also zwischen der Schreib/Leseeinheit und der Antenne den 4052 "nur" zwischengeschaltet hab, wäre doch eigentlich keine weiter Verstärkung/Ansteuerung nötig. Das Übersprechen schätze ich als vernachlässigbar ein, aber das wird sich noch zeigen. Wie du schon gelesen hast ist der Datenfluss also bidirektional, daher denke ich, das die Dioden hier keine Anwendung finden. Ich weiss aber auch nicht, wie solche eine Diodenschaltung aussehen soll? Vielliecht funktioniert das ja doch.
Hallo, "Da ich also zwischen der Schreib/Leseeinheit und der Antenne den 4052 "nur" zwischengeschaltet hab,wäre doch eigentlich keine weiter Verstärkung/Ansteuerung nötig." schön, aber da sind keine Relais innen drin. Die Eigenschaften der CMOS-Schalter können nicht außer Acht gelassen werden. Hier ein Antennenumschalter für UKW von Herrn Schaerer. Die Schaltung ist auf 75 Ohm angepaßt. Das dürfte vom Wert Deiner Antennen nicht ganz weit entfernt sein. Das Prinzip ist da zumindest erklärt. Nur sind die Induktivitäten für 100 MHz dimensioniert. http://elektronik-kompendium.de/public/schaerer/diodsw.htm Gruß
Stimmt schon mit den Eigenschaften der CMOS Schalter, denn mit Relais funktioniert es ja auch. Ich hatte das auch so befürchtet, aber man kann es ja trotzdem mal probieren. Na ich werde mir die INFO`s aus dem ELKO mal durchlesen. Danke schonmal dafür. Aber ich lebe ja nach der Philosophie, dass es eigentlich schon alles auf der Welt gibt, daher wird es bestimmt auch schon einen fertigen Schalter für solch eine Anwendung geben. Jetzt muss ich ihn nurnoch finden. :-) Während dessen werde ich aber auch mal selber basteln.
@chris also die INFO`s aus dem ELKO sind wirklich gut zu gebrauchen. Siehst du ein Problem darin, darüber auch bidirektional Signale zu senden? Eigentlich sollte das doch funktionieren.
Bei RFID wird nichts gesendet oder empfangen! Die Datenübertragung geschieht durch Bedämpfung der Empfängerantenne durch die Senderantenne. Diese Güteänderung hat nichts mit herkömmlichen Senden und Empfangen zu tun. Die Antennen sind fester Bestandteil des Gütekreises. Jede Manipulation, auch durch Muxen, führt zur instabilitäten, bzw. zur Nichtfunktion.
"Bei RFID wird nichts gesendet oder empfangen!" Wie funktioniert den dann die Bidirektionale Übertragung? In der einen Richtung hast Du zwar Recht aber in der anderen Richtung ist die Aussage einfach falsch! Über ein Relais die Antennenschwingkreise (nicht nur die Antenne) umzuschalten ist überhaupt kein Thema. Das Feld des Lesers sollte man sinnvollerweise in dem Moment abschalten.
Also ich muss Mifare schon rechtgeben. In Datenblatt meines Readers wird von ASK un BPSK gesprochen. Also wird moduliert und damit auch gesendet. Aber es gibt ja viele Syteme im RFID Bereich, bei anderen ist das evtl. wieder anders. OK , dann sollte ich also besser den Gesamten Schwingkreis switchen, das klingt logisch. Aber geht das denn dann mit Elektronik oder nur mit Relais. Mit Relais hab ich ja auch schon einfach nur die Antenne schalten können, das hat auch schon funktioniert. Bin jetzt gerade dabei ,das ganze mit Diodenschaltern zu testen. Ich habe die Schaltung meines Readers mal angehangen. Wo genau liegt denn da der Antenneschwingkreis? Hast du schonmal so eine Schaltung aufgebaut und noch Unterlagen darüber? Bei meinem Reader handelt es sich um einen CRX 14 von ST Microelectronics.
Den Antennenschwinkreis bilden die Antenne und die beiden parallelgeschalteten Kondensatoren so wie das aussieht (ist ja nicht viel zu erkennen). Um die maximale Reichweite zu erreichen kannst muss jede Antenne seperat abgestimmt sein. Alleine die unterschiedlichen Kapazitäten + Induktivitäten der Zuleitungen verstimmen sonst den Schwinkreis bei längeren Leitungen enorm. Zum Umschalten würde ich stinknormale HF-Relays verwenden. Ich arbeite mit 125kHz- Transpondern, kenne daher den Reader nicht. Bei Microchip (www.microchip.com) findest Du aber auch jede Menge Infos zu Schreib-Lesesystemen und Antennendesign für den 13,56MHz-Bereich.
Hallo, weiß jemand wie ich die antennen über HF relais der reihe nach ansteuere ?
Ist es nicht einfacher für jede Antenne ein eigene Auswerteeinheit aufzubauen? Die Elektronik dazu kostet doch nur < 3 Euro.
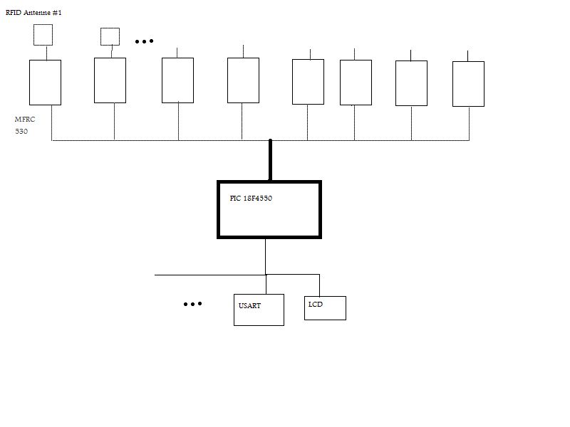
Weiß nicht geanu was eine Auswserteeinehit ist ? habe mir die schaltung wie im bild überlegt, jedoch wußte ich nicht wie ich den pic in verbindung mit dem mfrc 530 chip ansteuere? deshalb die frage nach einer "einfacheren lösung" mittels hf relais der reihe nach anzusteuern (um herauszufinden wo der tag liegt ?).da weiß ich aber auch nicht welche schaltung ich in kombination pic - mfrc - relais benötige , da das alles ja mit 13,56MHz läuft... bedanke mich für jede antwort
Bitte melde dich an um einen Beitrag zu schreiben. Anmeldung ist kostenlos und dauert nur eine Minute.
Bestehender Account
Schon ein Account bei Google/GoogleMail? Keine Anmeldung erforderlich!
Mit Google-Account einloggen
Mit Google-Account einloggen
Noch kein Account? Hier anmelden.

