Hallo! Könnte mir wer beim Lösen helfen. UE(t)= UR(t)+UL(t) UE(t)= UR(t)+UA(t) ...
Hallo Michael, was willst du denn "lösen"? Willst du dich in der Frequenzdomäne oder Zeitdomäne bewegen? Kai Klaas
Erst mal alles einzeichnen. Dann die Maschengleichungen aufstellen, dann die Knotengleichunegn aufstellen. Mach mal.
Kleiner Tipp:
sowie
In Verbindung mit den Kirchhoffschen Gesetzen kriegst du das Weitere dann auch alleine hin.
Alternativ, falls die komplexen Zahlen bekannt sind ZL:= i*omega*L ZC:= 1/(i*omega*C) Falls die nicht bekannt sind, ist eh schnell Schluss.
Hallo Aahh,
>Falls die nicht bekannt sind, ist eh schnell Schluss.
Nicht unbedingt. Du kannst das in der Frequenzdomäne auch mit
harmonischem Ansatz lösen, ohne "i" zu verwenden.
Kai Klaas
Weil Differentialgleichungen einfacher zu loesen sind wie die komplexen ?
Hallo! Danke aber eigentlich brauche ich die Gesamtübertragungsfunktion von diesem Regler also G(s)=Ue(s)/Ua(s) und als Zwischenschritt beötige ich dann die DGL, die dann ca so aussehen soll: Ue(t)=R*C*U"(t)..... oder irgendwie so (ich komme nicht auf die Lösung! Bitte um weitere Ratschläge? DANKE
Transformation in den Laplace-Bereich, Gleichung lösen. Zurück transformieren. Fertig ;)
Ist schon etwas länger her, ich hoffe es stimmt so, falls nicht korrigiert mich. R//C=1/R+j*w*C L=j*w*L G(jw)=Ua(jw)/Ue(jw)= (jw*L)/(jw*L+1/R+jw*C) G(s)=(s*L)/(s*L+1/R+s*C)=(L*R*s)/((C+1)*R*s+1)=Ua(s)/Ue(s) So müsste das passen grüße
parallel bedeutet Produkt ueber Summe also R//C := (R/iwC) / (R + 1/iwC) Nein ?
Hallo Michael, >Danke aber eigentlich brauche ich die Gesamtübertragungsfunktion von >diesem Regler also G(s)=Ue(s)/Ua(s) G(s)=Ue(s)/Ua(s) oder G(w)=Ue(w)/Ua(w), mit "w" wie "omega"? Kai Klaas
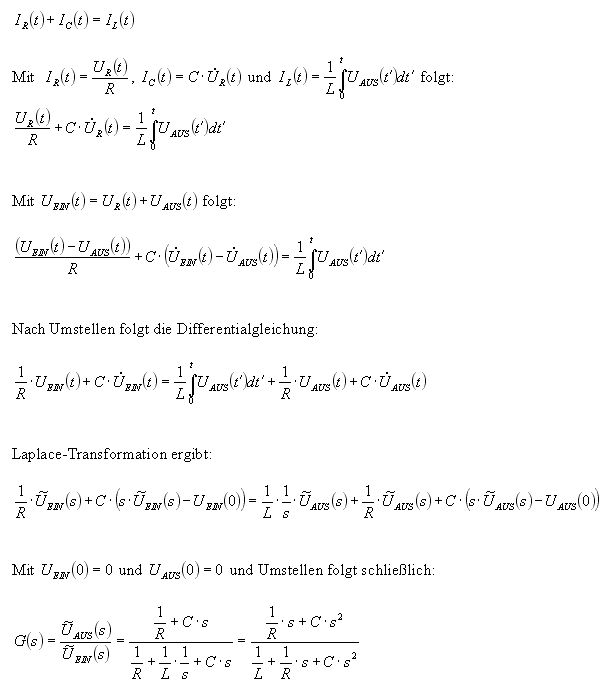
Hallo Michael, ich habe mal ein bißchen gerechnet. Lang ist es her... Ist das so richtig im Anhang? Kai Klaas
Bitte melde dich an um einen Beitrag zu schreiben. Anmeldung ist kostenlos und dauert nur eine Minute.
Bestehender Account
Schon ein Account bei Google/GoogleMail? Keine Anmeldung erforderlich!
Mit Google-Account einloggen
Mit Google-Account einloggen
Noch kein Account? Hier anmelden.

