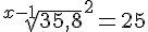
Hallo, ich benötige ein wenig Hilfe bei einer Matheaufgabe(siehe Bildanhang). Naja, eigentlich weiß ich gar nicht wie ich anfangen soll. Könnte mir jemand auf die Sprünge helfen? Gruß Kevin
Ich würde es mal mit logarithmieren probieren. Der Exponent ist ja wohl 2/(x-1) Daraus wird 2/(x-1) = ln(35,8)/ln(25) Der Rest sollte klar sein. Schätze so 9. oder 10. Klasse, oder?
Heiner schrieb im Beitrag #3145323: > ist ganz einfach. Wurzel hoch 2 hebt quasi das wieder auf also > kannst Das umformen zu x - 35,8 = 25, dann + 35,8 > dann steht da x = 60,8 Neee ...
Heiner schrieb im Beitrag #3145323:
> ist ganz einfach. Wurzel hoch 2 hebt quasi das wieder auf also
Ich lese da "(x-1)te Wurzel aus..."
http://de.wikipedia.org/wiki/Potenz_%28Mathematik%29#Potenzgesetze und http://de.wikipedia.org/wiki/Logarithmus#Logarithmengesetze und bitte den TO selber rechnen lassen
>bitte den TO selber rechnen lassen
Bitte in einem Forum anderen nicht vorschreiben, ob sie helfen dürfen
oder nicht.
"Superingenieur (Gast)" hats beinahe richtig:
Umschreiben (kein Mensch schreibt das so unleserlich) liefert:
35.8 ^ (2 / (x - 1)) = 25
..umformen..
2 / (x - 1) = log_{35.8}(25) = log(25) / log(35.8)
..weiter umformen..
x = 2 * log(35.8) / log(25) +1
..wer lust hat jetzt noch vereinfachen..
Hallo Kevin, eigentlich gar nicht so schwer. Das "Quadrat" am Ende bekommst du durch Wurzelziehen weg. damit wird die Formel zu: (x-1)te Wurzel aus 35,8 = 5 weil sqrt(25) = 5 jetzt musst du wissen das du die (x-1)te Wurzel aus 35,8 auch wie folgt schreiben kannst: 35,8 hoch (1/x-1) und die umkehrfunktion der potenzfkt. ist der logarithmus (ln). damit kommst du auf folgende gleichung: 1/(x-1) * ln(35,8) = ln(5) Sodale das ganze noch nach x auflösen und du kommst auf die lösung x=3,223104 die proberechnung stimmt. das ergebnis sollte also passen. hoffe die erklärung war verständlich und hilft dir weiter... lg, markus
Vorrechnen ist aber nur scheinbar eine Hilfe. Aber ist ja sowieso zu spät. Schönen Abend noch.
Danke erstmal für eure Hilfe! "jetzt musst du wissen das du die (x-1)te Wurzel aus 35,8 auch wie folgt schreiben kannst: 35,8 hoch (1/x-1)" Genau das verstehe ich nicht. Hast du genau dazu noch eine Erklärung, warum dies so ist? Das andere verstehe ich und kann ich bei einer anderen Aufgabe, wo ich eben nicht x-1te Wurzel aus habe, anwenden. Danke nochmal für all eure Bemühungen.
Kevin schrieb: > "jetzt musst du wissen das du die (x-1)te Wurzel aus 35,8 auch wie folgt > schreiben kannst: > 35,8 hoch (1/x-1)" > > > Genau das verstehe ich nicht. Hast du genau dazu noch eine Erklärung, > warum dies so ist? Siehe: http://de.wikipedia.org/wiki/Wurzel_(Mathematik)#Zusammenhang_mit_Potenzen Zitat:
1 | Das Radizieren mit dem Wurzelexponenten n wirkt also wie das Potenzieren mit dem Exponenten . Nach den Rechenregeln für Potenzen gilt nämlich: |
2 | (...) |
3 | Daher kann das Radizieren mit dem Wurzelexponenten n auch als Potenzieren mit dem Exponenten 1/n interpretiert werden: |
4 | (...) |
Hallo, so nett ich es auch finde, dass Du hilfst, Superingenieur schrieb: > Ich würde es mal mit logarithmieren probieren. > > Der Exponent ist ja wohl 2/(x-1) > > Daraus wird > > 2/(x-1) = ln(35,8)/ln(25) > > Der Rest sollte klar sein. Schätze so 9. oder 10. Klasse, oder? finde ich doch dieses MINT-typische Gorilla-Brust-Getrommel einfach unterirdisch. Davon ab, stimmt die Lösung erstens nicht und zweitens unterschlägt dieser Lösungsweg, selbst ohne den Fehler die zweite Lösung. Soviel zum Thema 9. oder 10. Klasse. Vlg Timm
Kevin schrieb: > ich benötige ein wenig Hilfe bei einer Matheaufgabe > Gruß Kevin Typischer Fall von Kevinismus!
Rainer schrieb: > Kevin schrieb: >> ich benötige ein wenig Hilfe bei einer Matheaufgabe >> Gruß Kevin > > Typischer Fall von Kevinismus! http://www.spiegel.de/schulspiegel/wissen/ungerechte-grundschullehrer-kevin-ist-kein-name-sondern-eine-diagnose-a-649421.html
Bitte melde dich an um einen Beitrag zu schreiben. Anmeldung ist kostenlos und dauert nur eine Minute.
Bestehender Account
Schon ein Account bei Google/GoogleMail? Keine Anmeldung erforderlich!
Mit Google-Account einloggen
Mit Google-Account einloggen
Noch kein Account? Hier anmelden.
