Ich lern grad ein bisschen fürs Abi und hänge an einer Aufgabe. Bin nun soweit das ich nurnoch eine Gleichung lösen muss: 16/3 = 64/3 * a^4 + 32 * a^3 Wie löse ich die Gleichung? Habe keinen Ansatz... Substitution geht nicht, Polynomdivision...
Probieren? Eventuell gibt es auch keine Lösung in den reellen Zahlen... Google fragen? Hast du dich zufällig irgendwie verrechnet, wodurch die Exponenten nicht mehr passen?
Hmm, wenn ich mich jetzt nicht im Kopf verrechnet habe müsste die erste geratene Löung bei 0,5 sein. Da man hier raten muss sind die Zahlen normalerweise einfach. Ich komme auf 16/3 = 64/3*1/16 + 32*1/8 = 4/3 + 4 = 4/3 + 12/3 = 16/3 Jetzt Polynomendivision.
Ich habe ne Funktion im Taschenrechner wo ich 2 Funktionen gleichsetzen kann. Eine Lösung ist 0,5 und klingt ziemlich plausibel.. Verrechnet hab ich mich eigentlich nicht.. Lade gleich mal ein Foto hoch
Es lässt sich nach 0=4a⁴+6a³-1 umstellen. jetzt hilf nurnoch Nullstellen suchen: Wenn man sich einen Graphen dafür zeichnen lässt ergibt sich eine Nullstelle für a=0.5 Ab hier sollte es mit Polinomdivision weitergehen. viel Erfolg Hauspapa
64x^4 + 96x^3 - 16 = 0 Die Gleichung hat 2 reelle Lösungen und 2 komplexe Lösungen x1 = -0.2174011+0.5217137i x2 = -0.2174011-0.5217137i x3 = 0.5 x4 = -1.5651977 Das findest Du hier: http://equationsolver.intemodino.com/de/gleichungen-4-grades-loesen.html :-)
Moin, oder ganz Brute Force: http://www.wolframalpha.com/input/?i=solve+16%2F3+%3D+64%2F3+*+a^4+%2B+32+*+a^3+for+a -- SvenJ
Ja, ich hab auch http://www.wolframalpha.com/input/?i=16%2F3+%3D+64%2F3+*+a^4+%2B+32+*+a^3 gefragt :-)
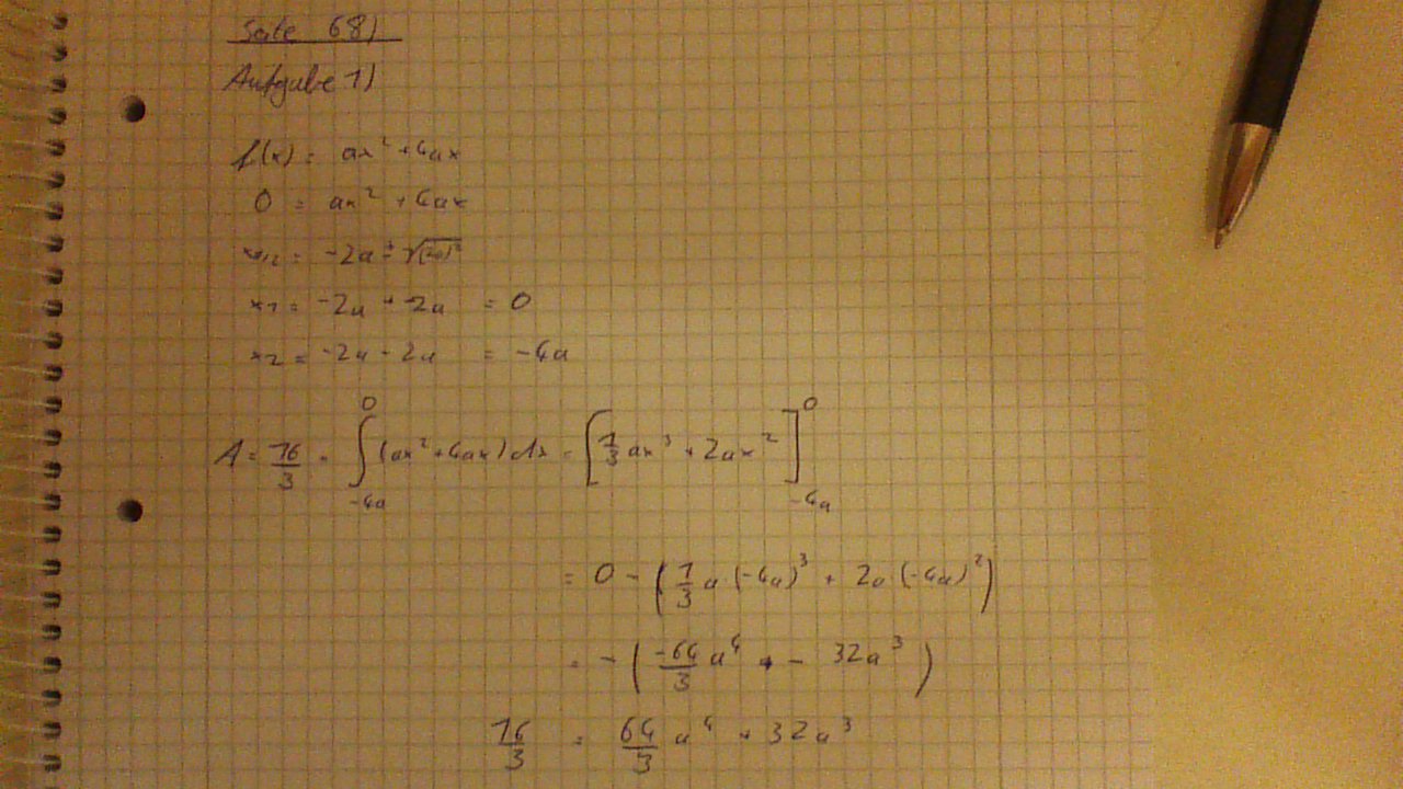
Den werde ich im Abi wohl nicht befragen dürfen :P Im Anhang die Aufgabe und mein Ansatz, vielleicht habe ich mich auch vertan. Sorry für die miese Qualität, Tablet :D
Hier ist der Weg zur Lösung von Gleichungen 4. Grades beschrieben: http://de.wikipedia.org/wiki/Quartische_Gleichung#L.C3.B6sungsformel_und_Beweis Für die vorliegende Aufgabe musst du aber nur integrieren und lineare Gleichungen lösen können. Edit: Die Zeile x2 = -4a in deiner Lösung stimmt nicht. Edit2: Schon vorher stimmt einiges nicht. Warum klammerst du nicht einfach ganz am Anfang a·x aus?
Du hättest in der zweiten Zeile deiner berechnung "a" rauskürzen können, da dieses eh nicht 0 sein kann. Dann kommst du auf die Lösungen 0 und -4 Das wird den weiteren rechengang erheblich verkürzen. mfg
Zur Lösung kannst Du ansetzen: f(a)=0 für: a=x f(x):(a-x) = ? Polynomdivision! Diese muss aufgehen, wenn x eine Nullstelle ist. Für die obige (falsche) Formel geht die Polynomdivision nur auf, wenn x=0,5. Dann den Rest nochmal so ansetzen. Waldo
Bitte melde dich an um einen Beitrag zu schreiben. Anmeldung ist kostenlos und dauert nur eine Minute.
Bestehender Account
Schon ein Account bei Google/GoogleMail? Keine Anmeldung erforderlich!
Mit Google-Account einloggen
Mit Google-Account einloggen
Noch kein Account? Hier anmelden.

