Hallo, gibt es eine Faustformel, wie weit man im 868MHz Bereich mit x dB Sendeleistung kommt? In meinem konkreten Fall mit etwa 14dB? Danke schomal! µLuxx
Das hängt stark von der Empfindlichkeit deines Empfängers ab und diese wiederum (mal ordentliche Technik vorausgesetzt) von der Kanalbandbreite. Außerdem natürlich von den benutzten Antennen auf beiden Seiten.
>gibt es eine Faustformel, wie weit man im 868MHz Bereich mit x dB >Sendeleistung kommt? Nein, gibt es nicht. Wenn du aus einem Betonbunker sendest vieleicht 10m. Wenn der Sender auf nem freien Acker steht vieleicht 200m. Kann auch mehr oder weniger sein. Muss man vor Ort immer ausprobieren.
aber gibt es keine Faustformel für die "Freie Sicht" Reichweite bei x dBm?
>aber gibt es keine Faustformel für die "Freie Sicht" Reichweite bei >x dBm? Im freien hängt es vom Wetter ab ;) Fürs Vakuum gibts da vieleicht was.
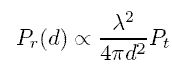
Natürlich gibt es einfache Modelle zur Reichweitenabschätzung. Schau mal nach dem Friis Modell oder auch dem Long Distance Path Loss Modell. Grob lässt sich die Reichweite im Freifeld mit Hilfe der Formel im Anhang bestimmen. Viele Grüße Michael
Hallo Ich selbst habe mir ein Funkmodul selbst gebaut auf basis des Nordic Nrf905e (868Mhz oder 902Mhz). Dieser hat 10dbm und mit einer handy Yagi für 29€ und freier sicht (auch fesznel Zone muß beachtet werden ) und kurzem Antennenkabel 1,5m auf beiden Seiten komme ich ca 3,5km. Mit einen stück draht auf beiden seiten ca 400m. Mit einer Groundplane eigenbau und 7m kabel auch so 500m. Alles freie sicht. Desweiteren habe ich mir eine Mobile Omni zugelegt und Yagi ca 1,8km Im Haus 3 Stöckig unterm dach eine eigenbau 1/4 Lambda und im Keller 1/4 Lamda geht auch ohne Probleme. Nur der selbstbau ist schwierig da es sich beschissen löten lässt(habe schon 3 IC's versaut. Ich hoffe ich konnte ein wenig helfen. Gruß
Bitte melde dich an um einen Beitrag zu schreiben. Anmeldung ist kostenlos und dauert nur eine Minute.
Bestehender Account
Schon ein Account bei Google/GoogleMail? Keine Anmeldung erforderlich!
Mit Google-Account einloggen
Mit Google-Account einloggen
Noch kein Account? Hier anmelden.
