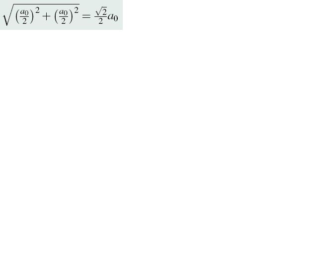
Kann mir jemand sagen wie ich vom linken Ausdruck zum rechten komme?
Dieter S. schrieb: > Hallo, Joe, willst du uns mit dem trivialem Zeug testen? nein,will mich testen:-)!
Hallo, noch eine Anmerkung zu der Lösung von Stefan B. (sbs): Wird "a0 quadrat" aus der Wurzel herausgezogen muss im allgmeinen Fall außerhalb der Wurzel "Betrag a0" stehen.
Alternativ ist auch eine Fallunterscheidung möglich. 1. Fall: a0 >= 0 2. Fall: a0 < 0 Mit freundlichen Grüßen Guido
Guido C. schrieb: > Guido C. schrieb: > Alternativ ist auch eine Fallunterscheidung möglich. > 1. Fall: a0 >= 0 > 2. Fall: a0 < 0 Ja da hast du Recht, das vergesse ich häufiger mal. Danke für den Wink mitm Zaunpfahl. Stefan
Bitte melde dich an um einen Beitrag zu schreiben. Anmeldung ist kostenlos und dauert nur eine Minute.
Bestehender Account
Schon ein Account bei Google/GoogleMail? Keine Anmeldung erforderlich!
Mit Google-Account einloggen
Mit Google-Account einloggen
Noch kein Account? Hier anmelden.

