Hallo zusammen, ich bin Technikerschüler und mache gerade Rechnungen zu einem Laborbericht im Fach Messtechnik. Wir haben verschiedenen Spannungsformen mit 2 Verschiedenen Multimetern gemäßen und Vergleichen diese mit den Rechnerischen werten. Mein Problem ist das ich keine Formel finde um den Gleichrichtwert des Wechselspannungsanteils einer hochgeklappten Sinusspannung (siehe Bild) zu berechnen und das ganze ohne Integral da wir noch keine Integralrechnung haben. Kann mir jemand eine Formel nennen oder einen Tipp geben wo man diese finden kann? Gruß Janosch
Danke für den Link der hilft mir aber leider nicht weiter, da ich dort die gesuchte Formel nicht gefunden habe.
Janosch M. schrieb: > Danke für den Link der hilft mir aber leider nicht weiter, da ich dort > die gesuchte Formel nicht gefunden habe. http://de.wikipedia.org/wiki/Gleichrichtwert#Ergebnis_f.C3.BCr_Sinusgr.C3.B6.C3.9Fe Ganz unten ist es fertig ausgerechnet. So schwierig ist das ja nun auch wieder nicht…
Gernot B. schrieb: > http://de.wikipedia.org/wiki/Gleichrichtwert#Ergeb... > > Ganz unten ist es fertig ausgerechnet. So schwierig ist das ja nun auch > wieder nicht… Das ist die Formel für den Gleichrichtwert einer Sinusspannug die Formel habe ich auch in meinen Unterlagen. Was ich suche ist aber eine Formel für Gleichrichtwert des Wechselspannungsanteils einer hochgeklappten Sinusspannung.
Janosch M. schrieb: > > Das ist die Formel für den Gleichrichtwert einer Sinusspannug die Formel > habe ich auch in meinen Unterlagen. Was ich suche ist aber eine Formel > für Gleichrichtwert des Wechselspannungsanteils einer hochgeklappten > Sinusspannung. Also so wie auf dem Bild neben der Formel im angegebenen Link?
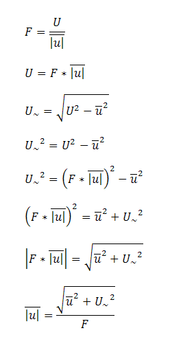
Die mittlere Spannung ist Ugl=u^*2/pi Der Effektivwert ist Ueff=u^/Wurzel(2) Der Effektivwert des Wechselsapnnungsanteils ist Uw = Wurzel(Ueff^2-Ugl^2)
Gernot B. schrieb: > Also so wie auf dem Bild neben der Formel im angegebenen Link? Nein, rechts auf dem Bild ist jar nur der Betrag des Sinus dargestellt. Eine hochgeklappte Sinusspannung ist jar keine reine Wechselspannung sondern besteht aus einer Wechselspannung und einer Gleichspannung. Was ich suche ist eine Formel für den Gleichrichtwert des Wechselspannungsanteiles.
@ Janosch M. (jam) >habe ich auch in meinen Unterlagen. Was ich suche ist aber eine Formel >für Gleichrichtwert des Wechselspannungsanteils einer hochgeklappten >Sinusspannung. Das ist schlicht der Spitzenwert minus Mittelwert. Die Herleitung ohne Inegral geht AFAIK nicht. MfG Falk
Janosch M. schrieb: > Gernot B. schrieb: >> Also so wie auf dem Bild neben der Formel im angegebenen Link? > > Nein, rechts auf dem Bild ist jar nur der Betrag des Sinus dargestellt. Also ich persönlich verstehe dann nicht, was du unter einer "hochgeklappten Sinusspannung" sonst verstehst. Für mich heißt das die negative Halbwelle zu einer positiven zu machen.
Eine "hochgeklappte" sinusspannung ist der Betrag der Sinusspannung, so, wie sie hinter einem idealen B2 oder M2 Gleichrichter aussehen würde. Der arithmetische Mittelwert davon ist der Gleichrichtwert der sinusspannung, der geometrische mittelwert ist der Effektivwert der gleichgerichteten Sinusspannung, die Differenz aus beiden ist der Effektivwert des Wechselanteils. Einen "Gleichrichtwert des Wechselanteils" gibt es IMHO nicht. Aus den genannten Größen lassen sich dann noch der Formfaktor und die Welligkeit ausrechnen. Versuche bitte herauszufinden, was genau du wissen willst/musst für deine Aufgabe, "Gleichrichtwert des Wechselanteils" ist Mumpitz. Effektivwert des Wechselanteils wäre denkbar. LG, Björn
>Die mittlere Spannung ist >Ugl=u^*2/pi Hatte ich mir auch gerade überlegt... @Janosch M. Was Du machen musst, ohne Formelsammlung: Du betrachtest den Bereich 0 bis Pi (Der Bereich Pi bis 2Pi ist ja identisch) Sei A die Amplitude der Wechselspannung, Du suchst die zugehörige Konstantspannung K. Das heißt, die Fläche unter dem halben Sinus soll der Fläche unter der Konstantspannung entsprechen. In Formeln: A * Integral(sin x) von 0 bis Pi = K * Pi Stammfunktion von sinus ist -cos, das an den Grenzen 0 und Pi. Sollte sein A *(-cos(Pi) - (-cos(0))) = 2A = K * Pi Also K = 2A/Pi Übrigens, dein Bildchen: Die Betragskurve ist nicht glatt bei 180 Grad! Ohne Gewähr.
Falk Brunner schrieb: > Das ist schlicht der Spitzenwert minus Mittelwert. Die Herleitung ohne > Inegral geht AFAIK nicht. > > MfG > Falk Kanst du mir sagen wie wo ich einen Herleitung mit Integral finde? Java 6 Programmierhandbuch schrieb: > Eine "hochgeklappte" sinusspannung ist der Betrag der Sinusspannung Das ist mir Bewusst. Java 6 Programmierhandbuch schrieb: > Einen "Gleichrichtwert des > Wechselanteils" gibt es IMHO nicht. Aus den genannten Größen lassen sich > dann noch der Formfaktor und die Welligkeit ausrechnen. Versuche bitte > herauszufinden, was genau du wissen willst/musst für deine Aufgabe, > "Gleichrichtwert des Wechselanteils" ist Mumpitz. Ich möchte den wert ausrechnen den das Mässgerär (AC RMS) anzeigen muss. Wenn ich es richtig verstanden hab betrachtet das Mässgerät nur den Wekselspannungsanteil Rechnent dan davon den Gleichrichtwert und Multiplizirt es mit dem Formfaktor für Sinus.
Hallo, wenn du von einem Gleichrichtwert sprichst, sollte man doch auch einen Gleichrichter voraussetzen: der positive Spitzenwert deines gleichgerichteten Sinus ist die Spitzenspannung ebendes Sinus, und der negative Spitzenwert ist Null. Also liefert ein (idealer) Gleichrichter Vs - 0 = Vs. Und wenn man einen grossen Kondensator vorschaltet, um die Gleichspannung abzutrennen, ändert das an der Kurvenform garnichts, sie wird nur verschoben und die Spannung Spitze-Spitze bleibt die gleiche. Willst du Effektivwerte, so müsstest du die Kurve genauso verschieben (weil die Fragestellung Wechselspannung war) und dann quadrieren, integrieren, Wurzel ziehen. Dazu wird man wohl eine Fourier-Zerlegung deiner Kurve brauchen. Gruss Reinhard
@Janosch Warum ignorierst du meine Antwort? Da steht alles drin.
>Das ist die Formel für den Gleichrichtwert einer Sinusspannug die Formel >habe ich auch in meinen Unterlagen. Was ich suche ist aber eine Formel >für Gleichrichtwert des Wechselspannungsanteils einer hochgeklappten >Sinusspannung. Ja, was macht man denn bei der Bestimmung des Gleichrichtwerts?? Zuerst mal Gleichrichten und dann den Mittelwert bilden. Und nach dem Gleichrichten sieht ein Sinus und ein hochgeklappter Sinus gleich aus. Gleichrichten ist ja gerade Hochklappen...
Helmut S. schrieb: > Die mittlere Spannung ist > Ugl=u^*2/pi > > Der Effektivwert ist > Ueff=u^/Wurzel(2) > > Der Effektivwert des Wechselsapnnungsanteils ist > Uw = Wurzel(Ueff^2-Ugl^2) Helmut S. schrieb: > @Janosch > Warum ignorierst du meine Antwort? > Da steht alles drin. Entschuldige Helmut das ich nicht zurük geschriben habe. Die Formeln hatte ich auch schon das ist nicht das wonach ich suche. Ich erklere unten nochmal was ich meine. Elena schrieb: > Ja, was macht man denn bei der Bestimmung des Gleichrichtwerts?? Zuerst > mal Gleichrichten und dann den Mittelwert bilden. Und nach dem > Gleichrichten sieht ein Sinus und ein hochgeklappter Sinus gleich aus. > Gleichrichten ist ja gerade Hochklappen... Das ist Richtig. Ich möchte aber nicht den Glichrichtwert der hochgeklapten Sinusspannung sonder den Glichrichtwert des Wekselanteils des Hochgeklapen Sinus (die bezeichnung ist laut Björn nicht richtig ich weis aber noch nicht wie es richtig bezeichnet wird). Ich Möchte den Messwert des Multimeters berechnen (ohne Formfaktor). Das Multimeter betrachtet nur den Wechselspannungsanteil Richtet diesen wider Gleich und berechnen den Arithmetischen Mittelwert (Das Gleichrichten und Die Berechnung des Arithmetischen Mittelwerts ist die Berechnung des Gleichrichtwerts) dann Multipliziert das Multimeter den Wert mit dem Formfaktor
Der arythmetischer Mittelwert einer Sinuswechselspannung ist Null. Der Betragsmittelwert einer Sinuswechselspannung ist der Gleichrichtwert. Ralph Berres
> Helmut S. schrieb: >> @Janosch >> Warum ignorierst du meine Antwort? >> Da steht alles drin. > > Entschuldige Helmut das ich nicht zurük geschriben habe. > Die Formeln hatte ich auch schon das ist nicht das wonach ich suche. > Ich erklere unten nochmal was ich meine. Ich wiederhole meine Rechnung. D u w i r s t Uw m e s s e n! Die mittlere Spannung ist Ugl=u^*2/pi Der Effektivwert ist Ueff=u^/Wurzel(2) Der Effektivwert des Wechselsapnnungsanteils ist Uw = Wurzel(Ueff^2-Ugl^2) -------------------------
Im Anhang ist eine Simulation mit LTspice. Die Ergebnisse stimmen exakt mit den Formeln überein. Uw_rms = Wurzel(Ueff^2-Ugl^2) ----------------------------- Siehe Bild.
Was er wohl meint ist U_ = 0,9 * Ueff In meinem Link oben http://www.elektroniktutor.de/analog/m2_glr.html eingezeichnet und in http://www.elektroniktutor.de/analog/m1_glr.html steht "Effektivwert der Gleichspannung ... Dieser Wert U− ist höher als der Gleichrichtwert. " Hans
Danke an alle für die vielen Beiträge! Danke Helmut ich glaub jetzt hab ich es verstanden. Den Gleichrichtwert der Wechselspannung Müsste ich dann wie in meiner Rechnung in der Grafik rechnen können. Ralph Berres schrieb: > Der arythmetischer Mittelwert einer Sinuswechselspannung ist Null. Das ist Klar ich wollt ja auch nicht den arythmetischen Mittelwert einer Sinuswechselspannung berechnen.
>Ich wiederhole meine Rechnung. > >D u w i r s t Uw m e s s e n! > >Die mittlere Spannung ist >Ugl=u^*2/pi > >Der Effektivwert ist >Ueff=u^/Wurzel(2) > >Der Effektivwert des Wechselsapnnungsanteils ist > >Uw = Wurzel(Ueff^2-Ugl^2) Hhm, du hast den Effektivwert ausgerechnet. Aber war nicht nach dem Gleichrichtwert gefragt? Dazu müßtest du die blaue Kurve V(uac) noch gleichrichten und dann mit einem Tiefpaß den Mittelwert bilden. Man kann diesen Gleichrichtwert auch berechnen, allerdings müßten meiner Meinung nach dazu zwei Integrale berechnet werden. Eine andere Methode habe ich nicht gesehen.
Er hat jetzt den Effektivwert des Wechselanteils ausgerechnet. Das scheint auch das zu sein was er meint. Es ist auch das, was ein True RMS Messgerät anzeigen würde(auf AC-Messbereich gestellt). Janosch, bezeichne das nicht als Gleichrichtwert! Es gibt einen Gleichrichtwert(gleichanteil) und einen Wechselanteil des Signals. Wenn du den Gleichanteil abziehst, bleibt der Wechselanteil über. Von dem kannst du einen Effektivwert berechnen, der Gleichrichtwert wäre hier 0(da es sich beim Wechselanteil um eine reine wechselgröße handelt!) LG, Björn
@Janosch,
Ich verstehe nicht warum du so kompliziert rechnest, wenn du das wissen
willst was du weiter oben geschrieben hast:
> Ich möchte den Wert ausrechnen den das Messgerät (AC RMS) anzeigen muss.
Ein Messgerät mit echt AC RMS Fähigkeit wird dir folgendes anzeigen
Uw_rms = Wurzel(Ueff^2-Ugl^2)
Wenn dein Messgerät kein echtes RMS kann, dann musst du über ein
Integral einen Korrekturfaktor berechnen der aber nichts mit den 1,11 zu
tun hat. In der Simulation kommt da ein Faktor von 1.148 heraus.
Helmut S. schrieb: > Wenn dein Messgerät kein echtes RMS kann, dann musst du über ein > Integral einen Korrekturfaktor berechnen der aber nichts mit den 1,11 zu > tun hat. In der Simulation kommt da ein Faktor von 1.148 heraus. Dan kann ich das so doch nicht rechnen des Messgerät ist ein RMS und kein TRMS Gerät, es misst also nicht den echt Effektivwert. Java 6 Programmierhandbuch schrieb: > der Gleichrichtwert wäre hier > 0(da es sich beim Wechselanteil um eine reine wechselgröße handelt!) Warum ist der 0 bei der Berechnung des Gleichrichtwertes wird der negative Wechselanteil ja wieder hochgeklappt. Der Gleichspannungsanteil (arithmetischer Mittelwert) ist 0. Es ist dann wohl einfach nicht möglich ohne Integral das auszurechnen was ich möchte.
Wenn dein Messgerät nur RMS anzeigt, d .h. mit Korrekturfaktor 1.11 vorhält, dann multipliziere die Anzeige mit dem Faktor 1.148/1.11
Also, ich habe die Integrale mal gelöst und erhalte für den Gleichrichtwert des Wechselanteils des hochgeklappten Sinus mit der Amplitude u^: Ugl = 2*a*u^*(a*arcsin(a) + cos(arcsin(a)) - 1) = 0,268034*u^ wobei a=2/pi ist. Das ist gerade um den Faktor 1.148 kleiner als Helmuts Effektivwert.
Elena schrieb: > Ugl = 2*a*u^*(a*arcsin(a) + cos(arcsin(a)) - 1) = 0,268034*u^ Auf dieses Ergebnis komme ich auch, wobei noch cos(arcsin(a)) zu sqrt(1-a²) vereinfacht werden kann, also
Wieso sollte die pulsierende Gleichspannung auf dem Bild in Beitrag "Gleichrichtwert des Wechselspannungsanteils einer hochgeklappten Sinusspannung" Sinusförmig sein? Und schon gar keine Wechselspannung.
Vielen Dank für die Lösung des Integrals!
Bitte melde dich an um einen Beitrag zu schreiben. Anmeldung ist kostenlos und dauert nur eine Minute.
Bestehender Account
Schon ein Account bei Google/GoogleMail? Keine Anmeldung erforderlich!
Mit Google-Account einloggen
Mit Google-Account einloggen
Noch kein Account? Hier anmelden.


