Hallo, Trafospannung 14,6V DC Bahnstrom 350 mA ich habe ein Carrera Bahn und möchte halt eine Bahn mit einer analogen Wago Ausgangkarte von 0-10V steuern. Das Problem ist die Wago schaft nur 10mA. Die Leistung reicht nicht aus. Deshalb habe ich mir überlegt ein Mosfet zu benutzen wo am gate die 0-10V liegen und drain source die 14,6 haben. Leider bekomme ich immer nur die 14,6 V und kann es nicht am Gate steuern. Könnt Ihr mir helfen bitte!
Hans Kischel schrieb: > Einmal der Schaltplan So wie das gezeichnet ist, gibt es bei einem N-Kanal-Fet nur einen winzig kleinen Bereich, wo sich das Ganze im linearen Bereich abspielt. Los gehts bei Ugsth, Schluss ist dann (bei 800mA) etwa ein Volt höher... > Einmal der Schaltplan Der würde eigentlich schon tun... Aber: wie sieht der Aufbau aus? Welchen Fet hast du da verwendet? Hast du (wie schon vermutet) evtl. D und S verwechselt?
Lothar Miller schrieb: > So wie das gezeichnet ist, gibt es bei einem N-Kanal-Fet nur einen > winzig kleinen Bereich, wo sich das Ganze im linearen Bereich > abspielt. Los gehts bei Ugsth, Schluss ist dann (bei 800mA) etwa ein > Volt höher... Bei einem bipolaren Transistor ist dieser Bereich sogar noch kleiner. Trotzdem kann man damit problemlos (mit der richtigen Schaltung) einstellbare Netzgeräte bauen. :-) M.E. bringen FETs an dieser Stelle keinen Vorteil gegenüber Bipos. Gruss Harald
Weder die direkte Steuerung des Mosfet über das Gate, noch die Variante mit dem Poti funktionieren. Du wolltest doch die 14,6V mit den 0...10V proportional steuern. Dazu brauchst du einen Verstärker mit V~1,5. Wenn dir 4 Bauelemente dafür nicht zu viel sind und die kleine Totzone von ~0,65V nicht stört, dann nimm die angehängte Schaltung. (der 40Ohm-Widerstand steht für die Last=die Bahn)
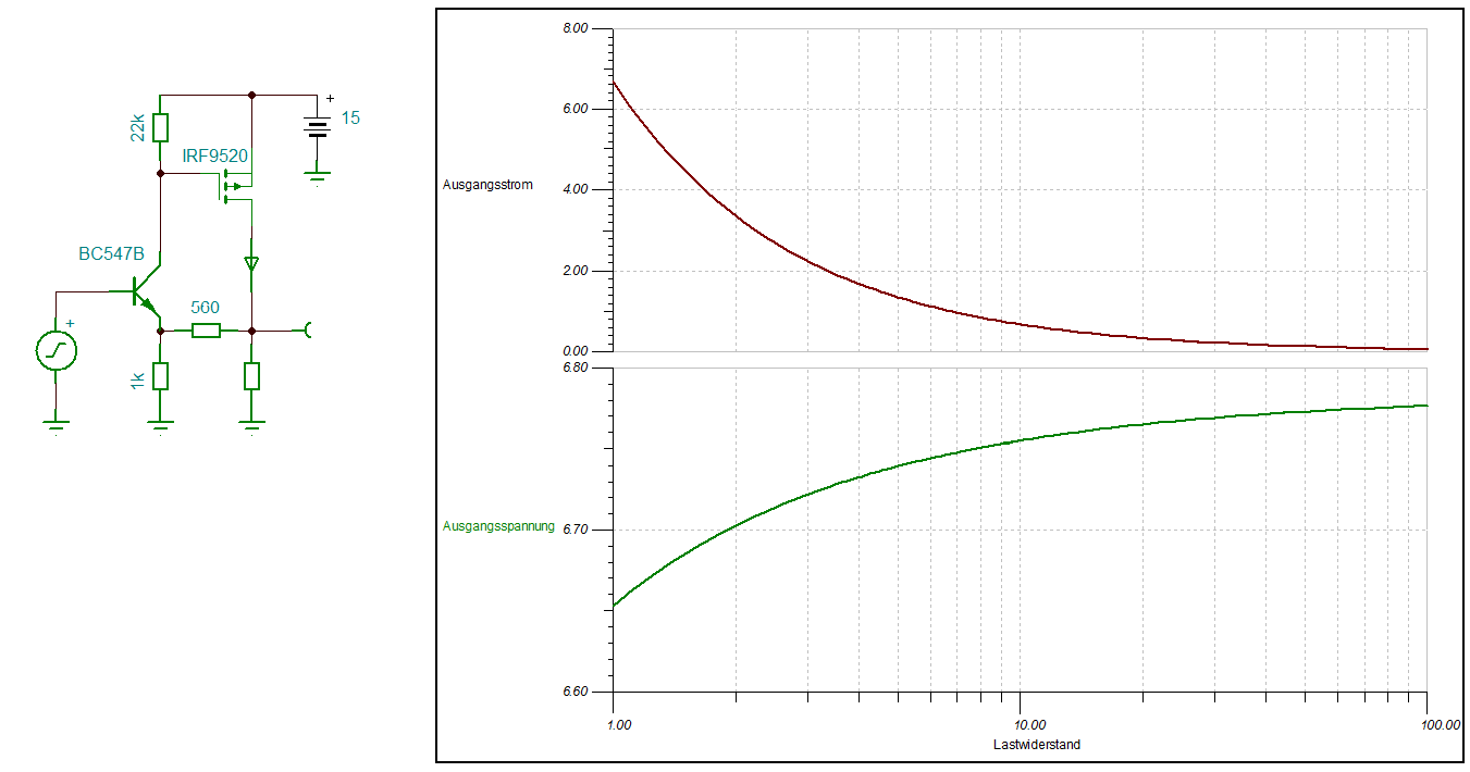
Danke dir! Mit welchem Programm haste denn die kennlinie erstellt? Gehts mit Pspice auch?
erzeug dir aus den 0..10V mit einem dreieckssignal und einem komparator ein PWM signal, welches den mosfet ansteuert. danach das ganze in einen LC tiefpass und fertig! analog ist das viel zu verlustbehaftet und vor allem ein enormer aufwand (ganz davon abgesehen, dass die modernen hightech fet's kaum vernünftig linear betrieben werden können..)
> Mit welchem Programm haste denn die kennlinie erstellt? MIt TINA, einem Simulator. > Gehts mit Pspice auch? Ja, jeder Simulator kann das. > analog ist das viel zu verlustbehaftet Naja ca. 1,3W Verluste sind jetzt nicht so viel. Das bekommt man mit einem Aufsteck-KK am Mosfet bequem weg. > und vor allem ein enormer aufwand Ach so, 5 einfache Bauelemente sind ein enormer Aufwand? Was ist dann mit Dreickgenerator, Komparator, Mosfet, LC-Filter? Ja klar, das ist deutlich weniger.
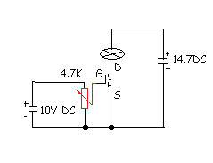
Hi, ich hab das genau nach der Schaltung gebaut!Aber es funktioniert nicht. Beim messen der BAhn kommt es etwa hin mit der Spannung! Kaum lege ich ein Auto auf die Bahn bricht die Spannung ein. gruss Hans
> ich hab das genau nach der Schaltung gebaut!Aber es funktioniert nicht. > Beim messen der BAhn kommt es etwa hin mit der Spannung! Kaum lege ich > ein Auto auf die Bahn bricht die Spannung ein. Dann stimmt deine Schaltung eben nicht. Sicher, dass die Transistoren richtig angeschlossen sind? Zeig mal ein Foto vom Aufbau. Die Schaltung ist recht stabil. Im Bild sieht man, dass erst bei ca. 5A Ausgangsstrom die Ausgangsspannung um 0,1V einbricht. Die Ua=6,7V ist jetzt willkürlich etwa in der Mitte der Kennlinie gewählt.
> also in meine Schaltung fehlt die Diode? Könnte das der grund sein?
Welche Diode? In der unteren Schaltung ist ein Strommesspfeil, aber
keine Diode. Beide Schaltungen sind gleich. Wenn die Schaltung nicht
funktioniert, hast du was falsch gemacht oder es ist was defekt.
hi, ich mach mal ein Foto und lade es hoch. Aber im Internet habe ich nach der richtigen Belegung der Pins geschaut und so gesteckt. Melde mich noch dann morgen
Was auch geht ist: Op als Regler. Steuert das Gate vom MOSFET. Die Spannung über dem MOSFET über einen Spannungsteiler abgreifen und auf den einen Eingang des OP geben. Den anderen Eingang die gewünschte Referenzspannung über die Karte vorgeben. Eventuell auch über einen Spannungsteiler...
Achja MOSFET kann ein N-Kanal sein. Also auch ein richtig Dicker und kann daher auch ohne Kühlung in gewissen Grenzen betrieben werden...
> Strommesspfeil,
Des Stromes Pfeil? Oh.klingt ja toll ;))
Schönen Abend
Axelr
Bitte melde dich an um einen Beitrag zu schreiben. Anmeldung ist kostenlos und dauert nur eine Minute.
Bestehender Account
Schon ein Account bei Google/GoogleMail? Keine Anmeldung erforderlich!
Mit Google-Account einloggen
Mit Google-Account einloggen
Noch kein Account? Hier anmelden.



