Hallo Forumnutzer, ich wollte mich über die theoretischen Grundlagen des Betriebes eines Drehstromasynchronmotors (DASM) als Generator informieren. Der Generator soll mit Kondensatoren fremderregt im Inselbetrieb laufen. Dazu müssen die Kondensatoren zuerst geladen werden (irgendeine Kleinspannung) bzw. ein Restmagnetismus muss vorhanden sein. Das Problem: Wie berechnet man die Kondensatoren? Diese sind ja auch abhängig von der Last bzw. des Gesamtwirkfaktor der Last (s. Anhänge). Einige Foren geben an "nehme pro kW x µF". Ist aber ein bischen flapsig, meiner Meinung nach. Wie muss hier die Formel eines Kondensators aussehen? Danke im Voraus! Mit freundlichen Grüßen Philipp P.S.: Als Beispiel können wir hier einen 2-poligen DASM mit 2,2 kW nehmen.
Mit dem cos(φ) kann man bestimmen, wieviel Magnetisierungsleistung/-strom der Motor ca. benötigt. Ich würde es mit Kondensatoren ausprobieren. die bezogen auf die Nennspannung ca. 1/3 mehr Strom liefern könnten.
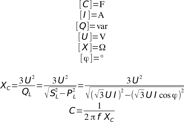
Hallo Elektrofan, also würdest du auf Qc in der Formel 1/3 hinzufügen (Qc * 4/3) und dann 3 Kondensatoren mit jeweils der Kapazität C einbauen (s. Formel)? Wie groß soll dann am Besten der Winkel phi für die Kondensatoren (in der Formel heißt dieser "phi_neu") sein? Danke im Voraus! Mit freundlichen Grüßen PHBU
Hallo nochmal, https://en.wikipedia.org/wiki/Induction_generator#Example_application Hier sieht man eine Beispielberechnung der Kondensatoren. Theoretisch müssten mit den beiden Formeln im Anhang die Kondensatoren berechnet werden können... Zuerst muss man den Gesamt-cos phi ausrechnen. Danach werden die entsprechenden Kondensatoren ausgerechnet. Für *U wird die Spannung des Stranges* (230 V) angegeben, oder? Der Faktor 3 in der Xc-Formel kommt daher, dass an jedem Kondensator nur ein Drittel der Blindleistung abfallen muss. Danke nochmal für Tipps! Mit freundlichen Grüßen PHBU
Hab noch mal eine Dokumentation über die ganze Geschichte gemacht. Hoffe, es ist alles richtig und hilft einigen Interessierten...
Irgendwie hat das bei unserem Stromerzeuger ohne Erregung funktioniert. Ein alter Wirth-Diesel zum ankurbeln mit so Zündpapieren, und ein DASM mit 440V-Kondensatoren zwischen L1-L2, L2-L3 und L1-L3. Da kam immer genügend Strom, jedoch nicht unbedingt 230 V und 50 Hz. Stichsäge und Bohrmaschine (750 W) haben funktioniert, das war in meiner Kindheit vor 40 Jahren. Als ich dann Energieelektroniker lernte, war mir das dann ein Rätsel, warum das ging. Der Rotor ist ja kaum magnetisch. Dann kam ein Honda Dieselmotor mit 345 cm³ und einem Erregungsdynamo und einem Der Drehstromlichtmaschine vergleichbaren Generator, nur dann mit 5 KVA, da ich da auch mit schweissen kann. Der ist auf einem strömlich nicht erschlossenen Wochenendgrundstück in Betrieb.
Vielleicht hilft Dir auch das hier etwas weiter: http://home.arcor.de/fingerc/Auszug_Generator_Windkraft.pdf Philipp B. schrieb: > Der Generator soll mit Kondensatoren fremderregt im Inselbetrieb laufen. > Dazu müssen die Kondensatoren zuerst geladen werden (irgendeine > Kleinspannung) bzw. ein Restmagnetismus muss vorhanden sein. Eigentlich wird ein DASM-Generator im Inselbetrieb nicht fremderregt, sondern er erregt sich selbst aus der Remanenz seines Läufers. Es klingt bestechend einfach und verlockend, einen DASM als Generator verwenden zu können, weil man dazu nur drei Kondensatoren hinzufügen muß. Verschwiegen wird dabei aber ein ganz gravierender Nachteil der "Kondensator-Erregung". Die Aufladung der Kondensatoren ist nämlich nicht nur drehzahlabhängig, sondern die Kondensatoren liefern auch die Magnetisierungs-Blindleistung. Anders ausgedrückt liefern die Kondensatoren bei einer ganz bestimmten Drehzahl eine ganz bestimmte Magnetisierung. Die aber auch nur für eine ganz bestimmte Last optimal sein kann bzw. erforderlich ist. ;) Hierin unterscheiden sich DASM-Generatoren prinzipiell von Synchron-Generatoren, bei denen die Magnetisierung lastabhängig erfolgt. Wenn Du mal in der Praxis einen Generator im Inselbetrieb verwenden willst, nimm deshalb besser einen Synchrongenerator her. Thomas S. schrieb: > Da kam immer genügend Strom, jedoch nicht unbedingt 230 V und 50 Hz. > > Stichsäge und Bohrmaschine (750 W) haben funktioniert, das war in meiner > Kindheit vor 40 Jahren. > > Als ich dann Energieelektroniker lernte, war mir das dann ein Rätsel, > warum das ging. > > Der Rotor ist ja kaum magnetisch. Ein bisschen Remanenz reicht aus, damit sich die Selbsterregung "hochschaukeln" kann. Stichsägen, Bohrmaschinen, Flexen usw. brauchen auch nicht unbedingt 230 V und 50 Hz. Die laufen auch mit geringerer Spannung und geringerer Frequenz. Halt langsamer. Was bei den kleinen Flexen ganz angenehm ist. Nicht nur, weil deren Laufgeräusche dabei weniger "nervig" sind, sondern auch, weil Trennscheiben bei geringeren Umfangsgeschwindigkeiten "weichere" Wirkhärte haben, also auch erheblich besser schneiden. ;)
Hallo nochmal, ich habe mir mal eine kleine DASM besorgt, um einen Test zu machen - ohne Erfolg... Habe mal ein Video hochgeladen ( http://www.file-upload.net/download-11071365/DASM.zip.html ), wo man den kleinen Drehstrom-Asynchronmotor (0,18 kW) in Aktion sieht (Kondensatoren im Stern 3x2 µF). Die Bohrmaschine, die die DASM antreibt hat etwa 3000 min⁻¹ (Motor hat ca. 2800 min⁻¹). Bei 0:31 versuche ich den Rotor zu magnetisieren. Dabei verbinde ich ein 12 V-Bleigelakku mit L1-N, L2-N und L3-N. Man sieht, dass kein Funken entsteht. Bei mehreren Versuchen davor, entstand an den Kontakten ein Funke. Später nach dem Video entstanden dann wieder ab und zu mal wieder Funken an den Klemmen (sprich Strom fließt => Wicklungen sind nicht kaputt). Weiter bei 0:47 messe ich dann eine Phase gegen N und dann Phase gegen Phase. Auf dem Multimeter sieht man eindeutig (naja, etwas verpixelt durch Verkleinerung des Videos), dass Phase gegen Phase und Phase gegen Sternpunkt 0 V hat. Kann einer Rat geben? Mit freundlichen Grüßen PHBU P.S.: Die zip-Datei ist nicht virenbehaftet und das Passwort lautet asynchron!
Philipp B. schrieb: > Hallo Forumnutzer, > > ich wollte mich über die theoretischen Grundlagen des Betriebes eines > Drehstromasynchronmotors (DASM) als Generator informieren. > > P.S.: Als Beispiel können wir hier einen 2-poligen DASM mit 2,2 kW > nehmen. Servus, ich kenne das so, dass wenn man den DASM über seine Leerlaufdrehzahl antreibt, kommt man in den Generatorbetrieb. Aber andere Frage, warum nimmst du nicht eine Synchronmaschine und machst nicht so ein großes HäckMäck ?
Bitte melde dich an um einen Beitrag zu schreiben. Anmeldung ist kostenlos und dauert nur eine Minute.
Bestehender Account
Schon ein Account bei Google/GoogleMail? Keine Anmeldung erforderlich!
Mit Google-Account einloggen
Mit Google-Account einloggen
Noch kein Account? Hier anmelden.






