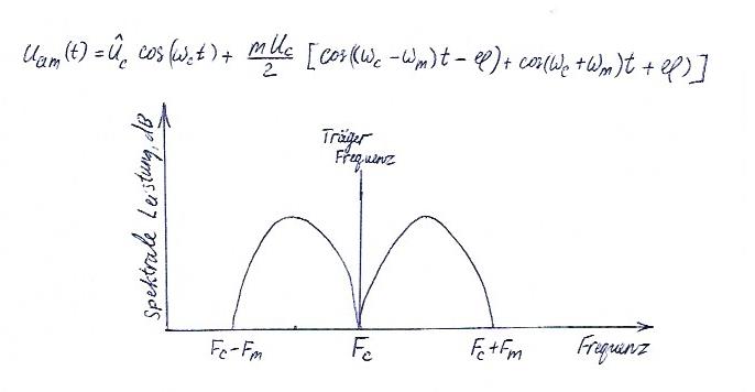
Hallo, ich habe ein Paar Fragen zur Modulations- und Spektrum - Theorie. 1. ein hochfrequentes Signal 100 MHz wird mit einem 4 KHz-niederfrequenten Signal moduliert. Modulationsgrad 60%. Ich wollte jetzt das theorethisch erwartende Spektrum berechnen und zeichnen. Ich habe im Internet die Formel gefunden (s.Anhang 001g.jpg), durch die moduliertes Spannung beschrieben ist. Die Formel ist sicher. Theretisch erwartende Spektrum : von Fc - Fm bis Fc + Fm von 99996000 bis 100004000 Hz Wie kann man das Spektrum auf dem Diagramm darstellen? Es ist keine Leistung oder Spannung in dB vorgegeben (um in die Formel-Gleichung reinzusetzen). Aber aus irgendeinem Grung ist Modulationsgrad 60% vorgegeben. Ich vermute, der Modulationsgrad sollte Signalform beeinflüssen. Aber wie? Ich habe die Anlage "Signal01.jpg" eingefügt und bitte um Hilfe. Uam - Signal nach der Modulation Um - Modulierendes Nutzsignal Uc - Träger
Ich gehe mal davon aus, daß bei einem Modulationsgrad von 60 % es sich um AM handelt - stimmt das? Ein 4 kHz-Signal hat nur einen Sinus mit 4 kHz - oder handelt es sich um ein Zufallssignal mit einer limitierten Bandbreite von 4 kHz? Was ist der Hintergrund für die Fragen - hier ist keine Hausaufgabenhilfe für Bachelor-Studis, die sich zu fein für einen kurzen Blick ins Lehrbuch sind... no harm intended...
Hel B. schrieb: > 1. ein hochfrequentes Signal 100 MHz wird mit einem 4 > KHz-niederfrequenten Signal moduliert. Modulationsgrad 60%. Da musst Du wohl noch etwas dazulernen. Bei FM (Frequenzmodulation) sind die wesentlichen Parameter Signalfrequenz fi und Hub (delta-f) (hier mal df geschrieben. Es entstehen bei Frequenzmodulation mit fi theoretisch unendlich viele Spektrallininen im Abstand fi (also hier ein 4kHz-Raster) Deren Amplitude ist durch die Besselfunktionen bestimmt. Die meisten Spektrallininen liegen aber im Bereich zwischen (ft+df) und (ft-df) Schau da mal bei Wikipedia nach. Der Moduationsgrad m ist ein Begriff aus der Amplitudenmodulation. Da entstehen Träger, oberes Seitensignal und unteres Seitensignal also außer 100MHz also noch 100,004MHz und 99,996 Mhz. Die Seitensignale haben die Amplitude 1/2 m mal ût, wobei û die Trägeramplitude ist und m der Modulationsgrad.
> Da entstehen Träger, oberes Seitensignal und unteres Seitensignal > also außer 100MHz also noch 100,004MHz und 99,996 Mhz. > Die Seitensignale haben die Amplitude 1/2 m mal ût, wobei û die > Trägeramplitude ist und m der Modulationsgrad. Danke. Also, beeinflüsst m nur die Amplitude der Seitensignale, aber lenkt keine Punkte (z.B.) die Trägerfrequenz auf der Abszisse nicht?
Jochen F. schrieb: > Ein 4 kHz-Signal hat nur einen Sinus mit 4 kHz - oder handelt es sich um > ein Zufallssignal mit einer limitierten Bandbreite von 4 kHz? nur Sinus-Signal 4KHz
Folglich hat man einen Träger, der bei 100% Modulation die Hälfte der Gesamtleistung hätte, und je 1 Seitenband in + und - 4 kHz vom Träger mit je 25% Leistung. Bei einem Modulationsgrad von 60% ist aber nur 15% der Leistung je Seitenband, also 70% der Leistung im Träger. Das Spektrogramm hat 3 Linien, die mittlere ist die höchste. Was bringt das nun?
Hel B. schrieb: > leider habe ich keine Info darüber Mann,Mann kannst Du keine Gleichungen lesen obwohl Du sie hinschreibst? Hel B. schrieb: > Ich habe im Internet die Formel gefunden (s.Anhang 001g.jpg), durch die Da sind drei Frequenzen aufgeführt (halt mit 2 pi multipliziert, als omega) fc carrier-frequency fc+fm obereres Seitensignal fc+fm unteres Seitensignal Da liest man auch das für AM typische m, den Modulationsgrad Uam (t) ist dann der aus den drei Sinussignalen durch Addition entstehende Signalverlauf. Das Spektrum besteht aus drei Strichen: mit ût = 1V haben dann die beiden Seitensignale die Amplitude 0,3 V solche Bögen entstehen nur wenn anstatt der 4kHz sinus ein reales Signal z.B. Musik mit vielen Anteilen um 4kHz herum aufmoduliert wird.
Jochen F. schrieb: > Folglich hat man einen Träger, der bei 100% Modulation die Hälfte der > Gesamtleistung hätte, und je 1 Seitenband in + und - 4 kHz vom Träger > mit je 25% Leistung. Bei einem Modulationsgrad von 60% ist aber nur 15% > der Leistung je Seitenband, also 70% der Leistung im Träger. Das > Spektrogramm hat 3 Linien, die mittlere ist die höchste. > Was bringt das nun? Vielleicht die Erkenntnis, dass AM eine recht unrationelle Art ist, Signale zu übertragen. Man hat sie auch nur als Erstes genommen, weil man damals nur Gleichrichter als Demodulator kannte. In Wirklichkeit ist es noch verschwnderischer, denn bei der Übertragung gehts um Leistung und nicht um Spannung, als ist die Verschwendung noch ums Quadrat schlimmer.
Mir kommt das Ganze immer noch wie eine unglücklich gestellte Lehrbuchaufgabe vor....
Nein, es ist wohl der Versuch, gleich klarzumachen, weshalb man nacheinander die viel aufwändigeren Verfahren eingeführt hat.
Jochen F. schrieb: > Mir kommt das Ganze immer noch wie eine unglücklich gestellte > Lehrbuchaufgabe vor.... sogar wenn... das wäre trotzdem nicht so schlimm wie eine aufdringliche und "Proktologie" mit einer zu großen Tolleranz.
Da fragt wer, wie AM funktioniert, (ohne zu begriffen zu haben, dass es um AM geht) was durch schlaue Mitleser geklärt werden konnte. Und dann kommen Klugs..., die unbedingt rauslassen müssen, wie doof AM ist. Da kommt so ein richtiges Zu-Hause-Gefühl im µC-Net auf! Tante Trude und Opa Fritz müssen ja auch immer ihren unpassenden Senf beisteuern. ;-) ;-)
Hel B. schrieb: > H.Joachim S. schrieb: >> Es geht doch um AM, oder? > > leider habe ich keine Info darüber Ah, nicht jeder Muttersprachler erkennt sofort AM- Amplitudenmodulation wenn noch viel im Kopf ist. Ja es geht um Amplituden-Modulation. Gilt das auch für AM?: Die Seitensignale haben die Amplitude 1/2 m mal ût Und... damit es an dem Spektrumanalysator richtig dargestellt wäre: welche Filterbandbreite benötigt der Analysator?: größer als (fc+fm) - (fc-fm) ?
Hel B. schrieb: > Und... damit es an dem Spektrumanalysator richtig dargestellt wäre: > welche Filterbandbreite benötigt der Analysator?: Um einiges kleiner als der Abstand zwischen Träger und Seitenband. Sonst kann der SA sie logischerweise nicht mehr auseinander halten. Ich würde mal mindestens ein Drittel besser ein Zehntel des Trägerabstandes wählen. Also bei 1KHz Modulationsfrequenz ein RBW von 300Hz oder besser 100Hz. Hel B. schrieb: > Gilt das auch für AM?: Die Seitensignale haben die Amplitude 1/2 m mal > ût AM ist die Abkürzung für Amplitudenmodulation. So wie FM die Abkürzung für Frequenzmodulation ist. Die von dir genannten Amplituden der Seitenbänder gilt für einen Modulationsgrad von 100% Ralph Berres
Peter R. schrieb: > Jochen F. schrieb: >> Folglich hat man einen Träger, der bei 100% Modulation die Hälfte der >> Gesamtleistung hätte, und je 1 Seitenband in + und - 4 kHz vom Träger >> mit je 25% Leistung. Bei einem Modulationsgrad von 60% ist aber nur 15% >> der Leistung je Seitenband, also 70% der Leistung im Träger. Das >> Spektrogramm hat 3 Linien, die mittlere ist die höchste. >> Was bringt das nun? Peter R. schrieb: > In Wirklichkeit ist es noch verschwenderischer, denn bei der Übertragung > gehts um Leistung und nicht um Spannung, als ist die Verschwendung noch > ums Quadrat schlimmer. ?????????????????????? Jochen hat es doch schon erklärt und hergeleitet. Bei 100% Modulationsgrad hat die Information eines Seitenbandes 1/2 der Trägerspannung somit 1/4 der Trägerleistung. Wieso davon nochmal die Wurzel ziehen? Übrigens die effektive Leistung ( über eine gesamte NF Periode betrachtet ) ist 1,5 mal so hoch wie die Trägerleistung. ( Die Leistung der beiden Seitenbänder stecken nämlich auch noch mit drin). Die Spitzenleistung ist sogar 4 mal so hoch wie die Trägerleistung. Die muss ein Linearverstärker hinter dem Modulator nämlich aufbringen. ( Doppelte Spannung gegenüber den unmodulierten Träger ). In sofern hast du sogar recht. Hat aber nichts damit zu tun aus der Leistung nochmal die Wurzel zu ziehen. Ralph Berres
Ralph B. schrieb: > Hel B. schrieb: >> Gilt das auch für AM?: Die Seitensignale haben die Amplitude 1/2 m mal >> ût > > AM ist die Abkürzung für Amplitudenmodulation. So wie FM die Abkürzung > für Frequenzmodulation ist. > > Die von dir genannten Amplituden der Seitenbänder gilt für einen > Modulationsgrad von 100% > > Ralph Berres Vielen Dank. Die Abkürzungen sind schon klar. Gilt die Formel : Seitensignale haben die Amplitude 1/2 m mal> ût sowohl für FM als auch für AM ?
Peter R. schrieb: > Bei FM (Frequenzmodulation) sind die wesentlichen Parameter > Signalfrequenz fi und Hub (delta-f) (hier mal df geschrieben. > > Es entstehen bei Frequenzmodulation mit fi theoretisch unendlich viele > Spektrallininen im Abstand fi (also hier ein 4kHz-Raster) > Deren Amplitude ist durch die Besselfunktionen bestimmt. Peter R. hat das vor Tagen weiter oben schon beantwortet.
Hel B. schrieb: > Gilt die Formel : > Seitensignale haben die Amplitude 1/2 m mal> ût > > sowohl für FM als auch für AM ? Gilt nur bei AM und das auch nur bei einen Modulationsgrad von 100% Bei kleineren Modulationsgraden sind die Amplituden der Seitenbänder auch entsprechend kleiner. Bei FM sieht die Sache anders aus. Da gibt es statt nur 2 Seitenbänder wie bei AM mehr Seitenbänder. Alle im Abstand der Frequenz des Modulationssignales. Die Amplituden der einzelnen Seitenbänder ergeben sich aus einer Besselfunktion. Die Phasenlage einzelner Seitenbänder kann sich sogar um 180° drehen, ( was man in einen Spektrumanalyzer nicht sieht, da er nur den Betrag darstellt). Aber das ist jetzt zu weit vorgegriffen. Erst mal AM verstehen. Ralph Berres
Bitte melde dich an um einen Beitrag zu schreiben. Anmeldung ist kostenlos und dauert nur eine Minute.
Bestehender Account
Schon ein Account bei Google/GoogleMail? Keine Anmeldung erforderlich!
Mit Google-Account einloggen
Mit Google-Account einloggen
Noch kein Account? Hier anmelden.

