Verkaufe 2 Stück Ringkerntrafos mit den folgenden Daten: Input: 230V 50Hz Output: 2x21V, 3,8A Durchmesser: 9cm Inkl. Befestigungsaufnahme in der Mitte. Ideal für Audio-Anwendungen oder Labornetzteil. Preis: je Stück 20€ inkl. Versand, oder 40€ für beide inkl. Versand. Bei Interesse bitte PM.
Pete K. schrieb: > oder Labornetzteil. In dem Fall ist evtl. der Hinweis auf die reduzierte Einschaltdauer (50% ED) wichtig. Siehe Photo Nr.2
Hallo, der Trafo ist heute gut verpackt bei mir angekommen. Danke Gero
Ein Trafo ist noch zu haben. Keine Audio-Bastler hier anwesend? Das Wetter ist doch passend genug ;-)
Andrew T. schrieb: > In dem Fall ist evtl. der Hinweis auf die reduzierte Einschaltdauer (50% > ED) wichtig. Siehe Photo Nr.2 Ein 3.8A Trafo mit 50%ED darf bei 100%ED immerhin mit 3.2A belastet werden, taugt also für 2A Gleichstrom nach Gleichrichtung. Es ist also nicht ganz so schlimm wie 3.8/2.
Michael B. schrieb: > Ein 3.8A Trafo mit 50%ED darf bei 100%ED immerhin mit 3.2A belastet > werden, Wie berechnet sich denn das?
Rudi L. schrieb: > Michael B. schrieb: >> Ein 3.8A Trafo mit 50%ED darf bei 100%ED immerhin mit 3.2A belastet >> werden, > > Wie berechnet sich denn das? Das würde mich auch interessieren. (Kein Gemeckere, sondern pure Wissenslust)
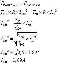
Also ich hab mich damit jetzt noch nie befasst, aber ich würde einfach sagen dass beide Verlustleistungen identisch sein müssen. Also Pv100%ED = Pv50%ED T_100*R*I_100^2 = T_50*R*I_50^2 I_100^2 = (T_50)/(T_100) * I_50 ^2 I_100^2 = SQRT[(T_50)/(T_100) * I_50 ^2] = SQRT (0.5*3.8^2) = 2,69 A
Michael B. schrieb: > Andrew T. schrieb: >> In dem Fall ist evtl. der Hinweis auf die reduzierte Einschaltdauer (50% >> ED) wichtig. Siehe Photo Nr.2 > > Ein 3.8A Trafo mit 50%ED darf bei 100%ED immerhin mit 3.2A belastet > werden, taugt also für 2A Gleichstrom nach Gleichrichtung. > Es ist also nicht ganz so schlimm wie 3.8/2. Das wären dann also ca. 83 % von 3,8A. Nun, wenn man diese Quelle zu Rate zieht kommt man auf deutlich weniger als 3,2A: http://www.bre-trafo.de/de/produkte/technische-informationen/allgemeine-informationen/kurzzeitbelastung-und-einschaltdauer.php Einfach mal vorausgesetzt, das ein Trafofabrikant wohl eher das korrekte Berechnen angibt.
Priklo P. schrieb: > Pv100%ED = Pv50%ED > T_100*R*I_100^2 = T_50*R*I_50^2 > I_100^2 = (T_50)/(T_100) * I_50 ^2 > I_100^2 = SQRT[(T_50)/(T_100) * I_50 ^2] > = SQRT (0.5*3.8^2) > = 2,69 A Ich habs der besseren Übersicht mal in Formelschreibweise abgetippt. Aber wie kommt die Zeit da rein? Leistung ist P = R · I², Energie ist E = P · T,oder denk ich da falsch? Auf die 3,2A von "laberkopp" kommt man damit aber auch nicht. Hat jemand ne Idee?
Rudi L. schrieb: > Hat jemand ne Idee? http://www.bre-trafo.de/de/produkte/technische-informationen/allgemeine-informationen/kurzzeitbelastung-und-einschaltdauer.php wie oben schon geschrieben.
Pete K. schrieb: > Ein Trafo ist noch zu haben. Keine Audio-Bastler hier anwesend? Das > Wetter ist doch passend genug ;-) Ich habe den Trafo heute mal angeschlossen. Glücklicherweise habe ich einen Regeltrafo verwendet. Bei ca. 140V stieg der Eingangsstrom plötzlich auf mehrere Ampere an. Ich vermutete zunächst einen Kurzschluss, dass bestätigte sich aber nicht. Bei 115V messe ich etwa 23V auf der Sekundärseite ohne Last. Es handelt sich also wahrscheinlich um einen 115V Trafo. Wenn man sich das Bild IMG_2199 anguckt, kann man am Bildrand auch 115V lesen. In der nächsten Zeile steht dann Prim. 230V. Alles sehr merkwürdig. Uch werde Morgen eine Messung mit einer Last machen.
Rudi L. schrieb: > Ich habs der besseren Übersicht mal in Formelschreibweise abgetippt. > Aber wie kommt die Zeit da rein? Leistung ist P = R · I², Energie ist E > = P · T,oder denk ich da falsch? Das nehme ich zurzeit an, gewiss ist das aber noch nicht. Das T ist das Tastverhältnis und nicht die Zeit in Sekunden oder so... Es gibt an wie viel Zeit von z.B. 10min der Trafo Strom zieht. Ich habe das auch nochmal sauber aufgeschrieben, am Ergebnis ändert das aber nix. In den Formeln ist T die Periodendauer des on-off Zykluses des Trafos NICHT der der Sinusschwingung!!! Die schwingt munter mit 50Hz weiter. x/y ist die On-Zeit.
Gero B. schrieb: > Pete K. schrieb: >> Ein Trafo ist noch zu haben. Keine Audio-Bastler hier anwesend? Das >> Wetter ist doch passend genug ;-) > > Ich habe den Trafo heute mal angeschlossen. Glücklicherweise habe ich > einen Regeltrafo verwendet. Bei ca. 140V stieg der Eingangsstrom > plötzlich auf mehrere Ampere an. Ich vermutete zunächst einen > Kurzschluss, dass bestätigte sich aber nicht. Bei 115V messe ich etwa > 23V auf der Sekundärseite ohne Last. Es handelt sich also wahrscheinlich > um einen 115V Trafo. Wenn man sich das Bild IMG_2199 anguckt, kann man > am Bildrand auch 115V lesen. Wesentlicher ist: Was an dieser Stelle steht auf DEINEM Trafo? Solltest Du dort 115 VA (also eine Leistungsangabe sehen), wäre das aus 2 x 21V x 3,8A = 160 VA, korrigeirt nach http://www.bre-trafo.de/de/produkte/technische-informationen/allgemeine-informationen/kurzzeitbelastung-und-einschaltdauer.php um eine Faktor 0,72 (der ergibt sich aus den Trafoangaben und der Formel der webseite) zu ziemlich exakt 115 VA. > In der nächsten Zeile steht dann Prim. > 230V. 230V wäre an sw-sw anzuschließen. Wenn das bei 140V derartige Ergebnisse zeigt: Darf nicht sein. > Alles sehr merkwürdig. Uch werde Morgen eine Messung mit einer > Last machen. Das wird aber nichts Spektakuläres am jetzigen Verhalten der Primärseite ändern .-)
Priklo P. schrieb: > Ich habe das auch nochmal sauber aufgeschrieben, am Ergebnis ändert das > aber nix. Fehler: Dein Wert für T geht linear ein. Das ist aber eine für diese physikalische Anordnung nicht korrekte Annahme. Deshalb bleibt Dein Ergebnis immer gleich, ist aber bedauerlicherweise nur mathematisch richtig.
So, habe meine Messung von Gestern noch mal wiederholt, aber diesmal mit einer Last von etwa 2A. Wie Erwartet, ändert sich nichts am Ergebnis. Die Ausgangsspannung beträgt etwa 23V bei ca. 115V Prim. Spannung. Ich habe allerdings nur eine Wicklungshälfte belastet. Es handelt sich bei den angebotenen Trafos also um eine 115V Ausführung. Zumindest gilt es für das Exemplar, dass ich gekauft habe. @Pete K. Ich würde Dir die Versandkosten für den Zweiten Trafo erstatten, wenn Du ihn mir zusendest. Dann könnte ich beide Trafos Prim. in Serie Schalten und doch irgendwie verwenden. Gruß Gero
Gero B. schrieb: > Dann könnte ich beide Trafos Prim. > in Serie Schalten und doch irgendwie verwenden. Das wäre aber nur dann sinnvoll wenn Du die Sekundärwicklungen parallel oder in Reihe schaltest.
Hallo Gero, das können wir gerne machen. Es war mir nicht bewusst, dass der Aufdruck auf den Trafos falsch bzw. irreführend ist. Ich hatte sie mangels Projekt nie in Gebrauch. Sorry. VG Pete
Es ist mir ein Bedürfnis klarzustellen, dass ich in keiner Weise Pete unterstelle absichtlich irreführende Angaben gemacht zu haben. Wir wären wahrscheinlich alle auf das Typenschild hereingefallen. @Magnus M. ja logisch. @Pete.K Gerne, alles weitere Morgen per PN. Gruß Gero
Hallo Pete, der zweite Trafo ist gestern angekommen. Beide Trafos verhalten sich gleich. Also, primär in Reihe u. sekundär parallel funktioniert, Trafos vor dem Elektronikschrott gerettet ?. Gruß Gero
Bitte melde dich an um einen Beitrag zu schreiben. Anmeldung ist kostenlos und dauert nur eine Minute.
Bestehender Account
Schon ein Account bei Google/GoogleMail? Keine Anmeldung erforderlich!
Mit Google-Account einloggen
Mit Google-Account einloggen
Noch kein Account? Hier anmelden.






