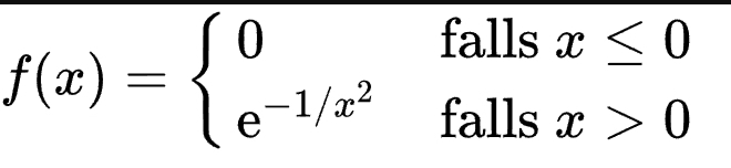
Ich habe eine Funktion, wie kann ich sie graphisch darstellen?
Null falls x <= 0. Aha. Da haste schon mal eine >hübsche< Grafik, als nächstest bemühst du dich um die >richtige< Grafik. Dann: Fertig!
Arthur Dent schrieb: > Ymmd Schöne Graphik ... aber nicht die gesuchte. Bis Null (x<=0) ist f(x) = 0, also eine Linie auf der x-Achse. Ich würde die Funktion in Excel eingeben und dann plotten. Oder ganz altmodisch: auf mm-Papier zeichnen. Während ich ein paar Punkte eintrage habe ich Zeit nachzudenken und weiß was mathematisch dahinter steckt.
Außerdem erkennt man auf den ersten Blick, daß die Funktion stetig ist und sich bei steigendem x asymptotisch an 1 annähert.
Yalu X. schrieb: > f(x)=1−cosxx > f(x)=\frac{1-\cos x}x Was hat das mit der Frage des TO zu tun. Arthur Dent schrieb: > save.png Lass dich hier nicht verarschen. Die wahre Lösung deiner Hausaufgaben wird dir hier kaum jemand liefern.
Fauler Schöler schrieb: > Yalu X. schrieb: >> f(x)=1−cosxx >> f(x)=\frac{1-\cos x}x > > Was hat das mit der Frage des TO zu tun. Nicht mit seiner Frage (die wurde bereits beantwortet), sondern mit seinem zweiten Beitrag, auf den ich ja auch verwiesen hatte.
Mohandes H. schrieb: > Oder ganz altmodisch: auf mm-Papier zeichnen. Während ich ein paar > Punkte eintrage habe ich Zeit nachzudenken und weiß was mathematisch > dahinter steckt. Richtig - Papier, Bleistift, Lineal und Kurvenlineal sind völlig ausreichend.
> Papier, Bleistift...
Wer kann heutzutage noch voraussehen, ob du morgen früh die Hausaufgaben
persönlich abgeben darfst? Oder ob du sie wieder per Email schicken
musst?
> Papier, Bleistift...
Mache ich gerne. Wie gesagt: während ich zeichne entfalten sich die
Gedanken.
Ich gebe Nachhilfe in Mathe und Physik. Manchmal verzeifele ich fast.
Viele verlassen sich komplett auf ihren Rechner, ohne nachzudenken.
'Steht doch da'. Völlig irre Ergebnisse werden einfach so hingenommen.
Einer meiner Schüler hat ein Problem, wenn er zu viele Zahlen und
Formeln sieht. Er macht dann komplett dicht (hat auch mit ADHS zu tun).
Dann nehmen wir ein weißes Blatt Papier und fangen ganz von vorne an.
Klappt überraschend gut.
Und natürlich nutze ich auch gerne meinen grafikfähigen Taschenrechner.
Noch ein Kommentar schrieb: > Oder ob du sie wieder per Email schicken > musst? Den Fotoapparat des Smartphones wird er ja wohl bedienen können. Wenn er das auch nicht kann ist eh Hopfen und Malz verloren. Mohandes H. schrieb: > Dann nehmen wir ein weißes Blatt Papier und fangen ganz von vorne an. > Klappt überraschend gut. Na klar klappt das gut, weil man so die Basics erst mal üben/lernen muß und man sich mit der Problematik viel intensiver auseinandersetzt. Mohandes H. schrieb: > Und natürlich nutze ich auch gerne meinen grafikfähigen Taschenrechner. Das ist ja auch in Ordnung, dazu sind ja solche Hilfsmittel auch da. Ich möchte auch nicht mehr wie mein Vater bei seiner B-Promotion Statistikberechnungen mit der Logarithmentabelle lösen müssen. Problem heute ist, das der Bildschirmanzeige blind vertraut wird und Ergebnisse auch nicht mehr hinterfragt werden, weil es viele nicht mehr können - der TO ist das beste Beispiel. Mohandes H. schrieb: > Außerdem erkennt man auf den ersten Blick, daß die Funktion stetig ist > und sich bei steigendem x asymptotisch an 1 annähert. So etwas zu erkennen ist heutzutage viel zu viel verlangt, obwohl es eigentlich recht einfach zu erkennen ist, aber wie so oft fehlen da bei vielen einfach die Grundlagen. Man könnte die Fallunterscheidung ja auch so machen, das man die Funktion nur für x=0 auf 0 setzt, da sie nur für diesen Fall nicht definiert ist. Aber das würde einen Großteil der Schöler wahrscheinlich hoffnungslos überfordern.
Zeno schrieb: > Logarithmentabelle An Logarithmentabellen habe ich auch unschöne Erinnerungen aus der Schulzeit. Trotzdem gut, das mal gemacht zu haben. So wie auch einen Rechenschieber benutzen zu können. Rechnen mit Zehnerpotenzen, usw. > Grundlagen In der Schule/Studium quält man sich. Später weiß man das zu schätzen, als Fundament. Wie auch Simulationen a la Spice. Tolle Sache mit unglaublichen Möglichkeiten. Aber die Funktion der grundlegenden Schaltungen sollte man trotzdem kennen.
Zeno schrieb: > Man könnte die Fallunterscheidung ja auch so machen, das man die > Funktion nur für x=0 auf 0 setzt, da sie nur für diesen Fall nicht > definiert ist. Wieso bitte soll die Funktion für x=0 nicht definiert sein? Da scheinen ein paar Grundlagen zur e-Funktion zu fehlen.
Wolfgang schrieb: > Wieso bitte soll die Funktion für x=0 nicht definiert sein? -1/x² soll für x=0 definiert sein? Die Funktion bei x<=0 auf 0 zu setzen macht sie stetig.
Wolfgang schrieb: > Wieso bitte soll die Funktion für x=0 nicht definiert sein? > Da scheinen ein paar Grundlagen zur e-Funktion zu fehlen. Dir fehlen ganz offensichtlich jegliche mathematische Grundlagen, denn dann wäre sofort klar das in diesem Fall nicht die e-Funktion das entscheidende (begrenzende) Element ist sondern die im Exponenten verbaute Funktion
ist. Da für selbige x=0 nicht definiert ist, ist folglich auch
für x=0 nicht definiert. Die mathematischen Grundlagen fehlen wohl eher Dir. Also nimm Dir mal ein gutes Mathematiknachschlagewerk zur Hand. Empfehlen könnte ich da die "Kleine Enzyklopädie Mathematik" (https://i.ebayimg.com/00/s/MTYwMFgxMTk3/z/a3AAAOSwnRFh~~ft/$_57.JPG). Im Kapitel Funktionen (bei meiner Ausgabe S.146) ist dort die Funktion ganz genau beschrieben - man hat sich sogar die Mühe gemacht einen Funktionsplott beizufügen. Also lerne erst mal selbst die Grundlagen, bevor Du hier tönst.
Niklas G. schrieb: > Die Funktion bei x<=0 auf 0 zu setzen > macht sie stetig. Nicht wirklich, die Funktion konvergiert nur gegen 0, wird selbst aber nie Null.
Zeno schrieb: > Niklas G. schrieb: > >> Die Funktion bei x<=0 auf 0 zu setzen >> macht sie stetig. > > Nicht wirklich, die Funktion konvergiert nur gegen 0, wird selbst aber > nie Null. Ja eben, und indem man sie bei x=0 mittels Fallunterscheidung "hart" auf 0 setzt konvergiert sie eben doch. Das ist eine stetige Fortsetzung. Im Plot sieht man ja schon dass keine Lücken da sind.
Niklas G. schrieb: > -1/x² soll für x=0 definiert sein? Die geht im Grenzwert sauber gegen unendlich und damit kommt die e-Funktion hier gut klar.
Die Reihenfolge ist in etwa die: 1. Papier/Milimeterpapier, Bleistift, Lineal/Geodreieck/Zirkel 2. Programmierbarer Taschenrechner - oft reicht ja schon eine Wertetabelle 3. Octave und Gnuplot 4. Spielereien fürs Handy gibt es auch: https://webuser.hs-furtwangen.de/~dersch/jasymca2/Jasymca2en.pdf http://midp-calc.sourceforge.net/Calc.html
Wolfgang schrieb: > Niklas G. schrieb: > >> -1/x² soll für x=0 definiert sein? > > Die geht im Grenzwert sauber gegen unendlich und damit kommt die > e-Funktion hier gut klar. Was wäre denn "unsauber" gegen unendlich gehen? Bei x=0 ist sie aber trotzdem nicht definiert. Was sollte denn der Wert von -1/x² bei x=0 sein? Der Definitionsbereich der Exponentialfunktion sind ja die komplexen Zahlen (C), welche komplexe Zahl ist das also mit der die Exponentialfunktion klar kommen soll?
Wolfgang schrieb: > Niklas G. schrieb: >> -1/x² soll für x=0 definiert sein? > > Die geht im Grenzwert sauber gegen unendlich und damit kommt die > e-Funktion hier gut klar. Es gibt bei mathematischen Funktionen die Unterscheidung zwischen "definiert" und "stetig fortsetzbar". Letzteres impliziert nicht ersteres.
Niklas G. schrieb: > Das ist eine stetige Fortsetzung. Im > Plot sieht man ja schon dass keine Lücken da sind. Nein es ist keine stetige Fortsetzung. Eine Voraussetzung für die Stetigkeit einer Funktion ist, daß sie im Punkt x definiert ist. Für die Funkt 1/x^2 trifft genau das im Punkt x=0 nicht zu, womit sich jegliche Diskussion über die Stetigkeit erübrigt. Daran ändere ich auch nichts, wenn ich die Funktion für x=0 auf 0 setze. Nachzulesen ist das z.B. hier https://www.mathebibel.de/stetigkeit-von-funktionen#definition. Vereinfacht kann man auch sagen:"Eine Funktion ist stetig, wenn der Graph der Funktion im Definitionsbereich nahtlos gezeichnet werden kann.". Auch das triff nicht auf diese Funktion zu Das man da keine Lücke sieht ist schlichtweg eine Frage der Auflösung. Die Lücke ist trotzdem da, auch wenn Du sie nicht siehst. Wolfgang schrieb: > Die geht im Grenzwert sauber gegen unendlich und damit kommt die > e-Funktion hier gut klar. Nö Du hast es schlichtweg nicht gerafft. Das eine hat mit dem anderen nix zu tun. Natürlich kommt die e-Funktion mit diesem Grenzwert klar, selbige ist ja im Bereich von minus Unendlich bis plus Unendlich definiert und sogar stetig. Die Funktion 1/x^2 hingegen ist nur für -∞ <= x < 0 und für 0 < x <= +∞ definiert. Für x=0 ist sie hingegen nicht definiert und an dieser Stelle unstetig. Somit ist auch eine Funktion die diese Funktion inkludiert für x=0 nicht definiert und bei der Funktion
ist das genau so. Was ist daran so schwer zu verstehen.
Zeno schrieb: > Für die Funkt 1/x^2 trifft genau das im Punkt x=0 nicht zu, womit sich > jegliche Diskussion über die Stetigkeit erübrigt. Wir reden aber über die Funktion f(x) aus dem Ausgangspost. Und die ist mittels Fallunterscheidung für x=0 definiert auf den Wert 0. Dass im Fall x=0 das 1/x² nicht definiert ist ist völlig unerheblich, weil man die Funktion dort einfach auf 0 setzt. Daher gibt es dort auch keine Lücke. Es ist halt eine stückweise definierte Funktion. Zeno schrieb: > Daran ändere ich auch nichts, wenn ich die Funktion für x=0 auf 0 setze. Doch. Dadurch wird die Lücke geschlossen. Die Funktion f(x) aus dem Ausgangspost ist auf ganz R definiert und mit dem Epsilon-Delta-Kriterium lässt sich die Stetigkeit im Punkt 0 leicht beweisen: Für ein gegebenens 1 > Ɛ > 0 sei
Dann gilt für alle 0<x<δ:
Die andere Seite ist trivial, weil die Funktion da konstant 0 ist.
So ich habe mich mal mit einem Mathematiker unterhalten. Epsilon-Delta ist an dieser Stelle wohl eher nicht so geeignet. Damit läßt sich zwar recht elegant der Nachweis der Stetigkeit für die Exponentialfunktion führen, aber für die Gesamtfunktion des TO führt wohl eher die Grenzwertbetrachtung zum Ziel. Die Exponentialfunktion ist ja in ihrem Definitionsbereich (x≠0)komplett stetig und konvertiert gegen 0. Die Funktion f(x<0)=0 ist auch stetig und konvertiert ebenfalls gegen 0. Mit f(0)=0 kann ich die Stetigkeit an der Stelle 0 ergänzen. Damit wäre dann die Funktion des TO stetig. Untermauern könnte man dies noch nach l'Hospital und prüfen ob auch die n'te Ableitung der Funktion ein entsprechendes Konvergenzverhalten aufweist.
Zeno schrieb: > Epsilon-Delta ist an dieser Stelle wohl eher nicht so geeignet. Ansichtssache. Hat jedenfalls funktioniert. Zeno schrieb: > So ich habe mich mal mit einem Mathematiker unterhalten. Hättest du dir sparen können, ich habe auch Mathematik studiert... Zeno schrieb: > Mit f(0)=0 kann ich die Stetigkeit an der Stelle 0 ergänzen. Sag ich doch. Zeno schrieb: > Untermauern könnte man dies noch nach l'Hospital Die Funktion ist doch gar kein Quotient...
Niklas G. schrieb: > Zeno schrieb: >> Untermauern könnte man dies noch nach l'Hospital > > Die Funktion ist doch gar kein Quotient... Richtig, aber da führt dann wohl "elementare Umformung" zum Ziel. Sagen zumindest schlaue Bücher. Niklas G. schrieb: > Hättest du dir sparen können, Nö ich hinterfrage auch gern mal ne Sache und wenn mich da das Studium diverser Quellen nicht weiter bringt, dann frage ich jemanden von dem ich ganz sicher weis, daß er/sie es weiß. >ich habe auch Mathematik studiert... Steht Dir ja nicht auf der "Stirn" geschrieben. Allerdings hätte man bei dem Beweisansatz darauf kommen können - so schräg denken nur Mathematiker.
Zeno schrieb: > Richtig, aber da führt dann wohl "elementare Umformung" zum Ziel. Sagen > zumindest schlaue Bücher. Das kenne ich nur aus dem Kontext von Matrizen/LGS... Zeno schrieb: > Allerdings hätte man bei > dem Beweisansatz darauf kommen können - so schräg denken nur > Mathematiker. Haha, es ist das Standard-Verfahren, hier IMO einfacher als mit Grenzwerten zu argumentieren. Schließlich muss man bloß ein paar Umformungen der Ungleichungen machen :) Bei Grenzwerten kann man sich schnell verzetteln.
Niklas G. schrieb: > Haha, es ist das Standard-Verfahren, hier IMO einfacher als mit > Grenzwerten zu argumentieren. Nö finde ich nicht, denn vor dem Umformen muß man erst einmal den richtigen Ansatz finden und das gelingt in aller Regel nur mit etwas Übung. Der mit dem ich gesprochen habe ist Mthematikprofessor und wenn der sagt diese Funktion ist stetig, dann nehme ich ihm das erst einmal ab, auch wenn man nur mit mathematischen Kniffen (egal jetzt ob durch Grenzewertbetrachtung oder die von Dir genannte Methode) zu diesem Ergebnis kommt. Jeder hat einmal gelernt, auch wenn das aus Mathematikersicht wahrscheinlich primitiv ist, das eine Funktion dann stetig ist, wenn ich sie im Definitionsbereich in einem Zug zeichnen kann. Das ist bei dieser Funktion nicht der Fall, denn dann müßte es ein x geben für das gilt: f(x) = e^(-1/x^2) = 0 = f(x<=0). Das gibt es aber nicht. Aber sei es drum, wenn mathematish die Grenzwertbetrachtung oder von mir aus auch Epsilon-Delta ausreichend sind, dann ist das halt so.
Zeno schrieb: > Nicht wirklich, die Funktion konvergiert nur gegen 0, wird selbst aber > nie Null. Aha, Du weißt also nicht, wie Stetigkeit definiert ist. ;)
Zeno schrieb: > Nö finde ich nicht, denn vor dem Umformen muß man erst einmal den > richtigen Ansatz finden Naja, wenn man das Epsilon-Delta-Kriterium kennt weiß man dass man die Funktion lediglich invertieren muss. Dann das ganze rückwärts aufschreiben, mit der Umkehrung der Ungleichheitszeichen aufpassen und ein "Für alle Ɛ" drüber schreiben... Zeno schrieb: > Das ist bei dieser > Funktion nicht der Fall, denn dann müßte es ein x geben für das gilt: > f(x) = e^(-1/x^2) = 0 = f(x<=0). Nein, denn das ist nicht die Funktion! Die Funktion hat eine Fallunterscheidung, die hast du hier einfach ausgelassen! Die Funktion ist
Und für x=0 gilt eben genau f(x)=0. Daher lässt sich die Funktion auch wunderbar durchzeichnen, wie auch im Plot zu sehen ist. Die Funktion geht "ganz normal" durch den Ursprung, da ist keine Lücke. Du kannst die Stetigkeit auch mit
beweisen, aber weil ich es schon (anders) bewiesen habe, gilt das schon. Für Nicht-Mathematiker ist es immer ein bisschen überraschend, aber Funktionen müssen nicht nur aus "normalen" Rechenarten bestehen, es können auch Fallunterscheidungen, Rekursionen (z.B. Fibonacci-Zahlen), Iterationen (z.B. Fakultät) und noch andere Verrücktheiten vorkommen. Und auch dann kann man die Stetigkeit prüfen.
Ich bin manchmal ein wenig neidisch auf die nur ein paar Jahre älteren Generationen, die kannten sich nämlich noch sehr gut mit Logarithmenthemen aus. Zumindest in der Grundschule hatte ich noch aufgeschnappt, dass man, wenn man Brüche teilt, diese mit dem Kehrwert multipliziert werden. In späteren Schuljahren haben wir gelernt, neben ein paar Aufgaben mit Logarithmen, dass negative Potenzen nach Teilmengen - oder eben nach Grenzwertgedöns riechen.. d.h. eigentlich, wenn man dass ganze nicht selber aufschreibt (oder damit herumprobiert), dann kann man schon mal ganz schön durcheinanderkommen. https://www.youtube.com/watch?v=Z_voa7rnihA https://www.youtube.com/watch?v=IyzWfwgGhe8 Die Funktion wenn x kleiner als 0 dann -> 0 ist eigentlich klar. Die sagt erstmal gar nix aus, außer dass es wohl schrittweise in Richtung 0 geht? Wie gesagt, man kann durcheinander kommen - aber eigentlich nicht bei der If-Bedingung falls 0. Der wolframalphalink oben hatte mich positiv überrascht. Hätte ich bewerten können, dann hätte ich ein +1 gemacht. +1 mit Ausrufezeichen gehen natürlich nicht. Allerdings geht manchmal auch das Internet nicht.
rbx schrieb: > Ich bin manchmal ein wenig neidisch auf die nur ein paar Jahre älteren > Generationen, die kannten sich nämlich noch sehr gut mit > Logarithmenthemen aus. Im Studium lernt man das alles, und zwar auch richtig und nicht so "passt schon" wie in der Schule. rbx schrieb: > Die > sagt erstmal gar nix aus, außer dass es wohl schrittweise in Richtung 0 > geht? Was meinst du damit? Das ist alles kontinuierlich, keine Schritte. rbx schrieb: > Der wolframalphalink oben hatte mich positiv überrascht. WolframAlpha ist super hilfreich, das kann alles.
Niklas G. schrieb: > Was meinst du damit? Das ist alles kontinuierlich, keine Schritte. Die Logarithmentafeln bzw. Tabellen damals wurden aber schrittweise ausgearbeitet,und nicht kontinuierlich, höchstens auf längere Zeit betrachtet. Aber gut, wir sind hier ja auch in der Analogabteilung, und nicht in der Digitalen ;)
rbx schrieb: > Die Logarithmentafeln bzw. Tabellen damals wurden aber schrittweise > ausgearbeitet, Aha, aber das hat nichts mit dem Thread und der Funktion zu tun.
M.A. S. schrieb: > Aha, Du weißt also nicht, wie Stetigkeit definiert ist. ;) Aha, Du hast offensichtlich nicht alles gelesen oder bist des Lesens nicht mächtig, denn hier Beitrag "Re: Funktion graphisch darstellen" hatte ich auf das erste Stetigkeitskriterium benannt und auf den Rest per Link verwiesen. Niklas G. schrieb: > Zeno schrieb: >> Das ist bei dieser >> Funktion nicht der Fall, denn dann müßte es ein x geben für das gilt: >> f(x) = e^(-1/x^2) = 0 = f(x<=0). > > Nein, denn das ist nicht die Funktion! Die Funktion hat eine > Fallunterscheidung, die hast du hier einfach ausgelassen! Die Funktion > ist Nö die habe ich doch ganz rechts angedeutet. Ich bin auch überzeugt das Du ganz genau verstehst was ich geschrieben habe bzw. damit ausdrücken will, auch wenn ich es vielleicht mathematisch 100% korrekt hingeschrieben habe - Du willst es bloß nich verstehen. Niklas G. schrieb: > Und für x=0 gilt eben genau f(x)=0. Daher lässt sich die Funktion auch > wunderbar durchzeichnen, wie auch im Plot zu sehen ist. Dieser Teil der Gesamtfunktion (auch der Graph) endet im Ursprung, denn für x > 0 ist sie gar nicht definiert. Der zweite Teil der Gesamtfunktion (die Exponentialfunktion) ist zum einen für x=0 nicht definiert, sie konvergiert nur gegen 0. Es gibt kein x für das diese Funktion 0 wird. Aber lassen wir das, ich habe ja bereits eingesehen das diese Funktion für den Vollblutmathematiker offenbar stetig ist, auch wenn ich selbst davon noch nicht zu 100% überzeugt bin. Wir brauchen es aber auch nicht weiter auszudiskutieren. Niklas G. schrieb: > Für Nicht-Mathematiker ist es immer ein bisschen überraschend, aber > Funktionen müssen nicht nur aus "normalen" Rechenarten bestehen, es > können auch Fallunterscheidungen, Habe ich das an irgendeiner Stelle angezweifelt oder was Gegenteiliges behauptet? rbx schrieb: > Die Logarithmentafeln bzw. Tabellen damals wurden aber schrittweise > ausgearbeitet Was meinst Du damit?
Zeno schrieb: > Du willst es bloß nich verstehen. Ich verstehe nicht warum f(x) für dich nicht stetig sein soll und warum man sie nicht durchzeichnen können soll. Zeno schrieb: > Es gibt kein > x für das diese Funktion 0 wird. Ja, aber das spielt keine Rolle. Zeno schrieb: > Habe ich das an irgendeiner Stelle angezweifelt oder was Gegenteiliges > behauptet? Ich habe die Vermutung dass da dein Verständnisproblem liegt... Was hältst du denn von der Funktion
Die 2. Teilfunktion geht auch nicht bis zum Ursprung, da ist der
Übergang zum 1. Fall. Sie ist aber trotzdem stetig.
Oder was hältst du von h(x)=1/x, auf dem offenen Intervall (0,1). Diese
Funktion ist auf ihrem Definitionsbereich stetig. Die Funktion wird zwar
für x->0 immer größer, aber lässt sich dort trotzdem immer
durchzeichnen. Und x=0 ist natürlich nicht Teil des Definitionsbereichs.
Weitet man den Definitionsbereich z.B. auf (-1,1)\{0} auf, hat sie aber
natürlich eine Definitionslücke und ist nicht mehr stetig.
Hast du zwar schon geschrieben, aber hier könnte das Problem versteckt sein: Stetigkeit ist eine Frage des Defitionsbereiches. Eine Funktion ist stetig, wenn sie innerhalb des Defitionsbereiches stetig ist. Alles außerhalb ist egal.
rbx schrieb: > Der wolframalphalink oben hatte mich positiv überrascht. Besorg dir einen Raspberry Pi. Günstigste Möglichkeit Mathematica zunutzen.
PS, wiki sagt auch, dass die einseitigen Grenzwerte existieren und diese übereinstimmen müssen. Denke das ist hier der Fall. https://en.m.wikipedia.org/wiki/Piecewise Oder auch hier: https://bos-sozial.musin.de/Service/Intranet/Intranet_Mathematik/Klasse_12/Arbeitsblaetter/Abschn_def_fkt/stetigkeit.html
Zeno schrieb: > M.A. S. schrieb: >> Aha, Du weißt also nicht, wie Stetigkeit definiert ist. ;) > Aha, Du hast offensichtlich nicht alles gelesen oder bist des Lesens > nicht mächtig, denn hier > Beitrag "Re: Funktion graphisch darstellen" hatte > ich auf das erste Stetigkeitskriterium benannt und auf den Rest per Link > verwiesen. Du hast recht: 1) Ich habe nicht alles gelesen. 2) Ich mag auch des Lesens nicht besonders gut kundig sein. 3) Ja, Du hast hier einen Link auf die Stetigkeitsdefinition (so, wie auch ich sie kenne) gesetzt. Zeno schrieb: > Nachzulesen ist das z.B. hier > https://www.mathebibel.de/stetigkeit-von-funktionen#definition. Leider wendest Du sie falsch auf die gegebene Funktion an, behauptest, diese sei nicht stetig. Ist sie aber. Auch bei x=0. Warum? Weil: f(0) definiert ist: Es ist f(0)=0. Der Grenzwert existiert (sowohl rechtsseitig als auch linksseitig, beide sind gleich, nämlich 0). Der Grenzwert ist gleich dem Funktionswert. => Funktion ist an dieser Stelle stetig (an allen anderen Stellen sowieso, damit ist die Funktion stetig). Hier ist Dein Irrtum: Zeno schrieb: > Niklas G. schrieb: >> Das ist eine stetige Fortsetzung. Im >> Plot sieht man ja schon dass keine Lücken da sind. > Nein es ist keine stetige Fortsetzung. Eine Voraussetzung für die > Stetigkeit einer Funktion ist, daß sie im Punkt x definiert ist. Für die > Funkt 1/x^2 trifft genau das im Punkt x=0 nicht zu, womit sich jegliche > Diskussion über die Stetigkeit erübrigt. Der Term, der 1/x² enthält, ist an der Stelle x=0 überhaupt nicht gefragt, da die Funktion an dieser Stelle anders definiert ist.
Niklas G. schrieb: > Zeno schrieb: >> Du willst es bloß nich verstehen. > > Ich verstehe nicht warum f(x) für dich nicht stetig sein soll und warum > man sie nicht durchzeichnen können soll. Mach Dir keine Sorgen, f(x) IST stetig.
Jan K. schrieb: > Hast du zwar schon geschrieben, aber hier könnte das Problem versteckt > sein: Stetigkeit ist eine Frage des Defitionsbereiches. Eine Funktion > ist stetig, wenn sie innerhalb des Defitionsbereiches stetig ist. Alles > außerhalb ist egal. Genauer ausgedrückt: es gibt kein 'Verhalten der Funktion ausserhalb ihres Definitionsbereiches', da es die Funktion ausserhalb ihres Definitionsbereiches gar nicht gibt, sie existiert dort nicht.
Bitte melde dich an um einen Beitrag zu schreiben. Anmeldung ist kostenlos und dauert nur eine Minute.
Bestehender Account
Schon ein Account bei Google/GoogleMail? Keine Anmeldung erforderlich!
Mit Google-Account einloggen
Mit Google-Account einloggen
Noch kein Account? Hier anmelden.

