Moin! Habe mir ein schönes neues Buch gekauft: "EMV" von Joachim Franz. Da gibt es auf Seite 11 die im Bild gezeichnete Stromquelle. Als Übung habe ich mal die Ü-Funktion ausgerechnet = -(2R2+R1+R3) /(R1 + R2) (für die Verstärkung des OP= unendlich angenommen)! Hoffentlich kommt das Ergebnis hin!? Für die Werte R1=0,5k; R2=10k; und R3=0,7k habe ich mit LTSpice simuliert - siehe Anhang. Und? - Meine berechnete Übertragungsfunktion liefert-1,9 für Ua/Ue. Die Simulation ergibt ca. -1,1. Kann man da schon sagen, dass liegt daran, dass die OP-Verstärkung nicht ganz unendlich ist? Weiterhin sieht es so aus, dass wenn ich an I2 eine Last hänge und dise variere, nicht der Strom, sondern die Spannung über der Last konstant gehalten wird. Somit habe ich keine Stromquelle, sondern eine Konstantspannungsquelle. Komisch -> Verwirrung ist perfekt!1 :-(( Das Buch gibt für den Innenwiderstand an: Ri=R1R3(R1+2R2)/((R1+R2)(R3-R2)) für die offene Spannungsverstärkung Vo-> unendlich (??). Meine Fragen sind, wenn jemand helfen kann, will: 1) Lieg ich mit meiner Berechnung und/oder Simulation falsch? 2) Um was für eine Quelle handelt es sich denn nun? 3) Wie geht man da heran, wenn man den Innenwiderstand berechnen will? zu 3) Ich habe versucht, vom Knotenpunkt bei "I2" die Pfade zur Masse abzulaufen. U1 wird kurzgeschlossen. Somit enstehen zwei Pfade, die parallel sind. Die Berechnung des Gesamtwidestandes führt aber nie zu der vom Buch angegebenen - also, wie geht man da korrekt vor in diesem Falle? Danke für Hilfe.
Die Dimensionierung der Schaltung ist schon falsch. Der Widerstand links oben sollte nicht R1+R2, sondern (R1+R2)·R3/R2 sein. Dann ist I2=U1·R2/(R1·R3) Die Ausgangsspannung kannst du nur berechnen, wenn du den Lastwiderstand RL kennst. Sie ist UA=I2·RL.
Noch ein Nachtag: meine Berechnung ist falsch, hab nochmal nachgerechnet! Und der Simulierte Wert ist acuh falsch., habe nicht lange genug laufen gelassen. man muss bis in den us-Bereich warten. Alles andere bestätigt sich aber..
@yalu Aber im Buch sind die Widerstände so vorgegeben?! hab ich mir nicht ausgedacht! wie kommst du zu deiner aussage? laut simulation ist Ua unabhängig vom lastwiderstand!
Hier mal ein sweep mit dem Lastwiderstand. Damit kann man I(R) plotten. Rechter Mausklick auf den Opamp. Im Dialog kann man dann die Leerlaufverstärkung verändern.
@ danke Helmut! Woher hast du das alles? Woher die Formeln? Warum müssen die Widerstände genau so dimensioniert werden und nicht anders? Wie kommst du so schnell an die Formel für I2? Ist die Angabe in meinem Buch mit R1+R2 definitv dann falsch? Welche Bücher empfiehlst du mir?
M.o. G. schrieb: > @ danke Helmut! > Woher hast du das alles? Woher die Formeln? Warum müssen die > Widerstände genau so definiert werden und nicht anders? Ich hab die Formeln teilweise bei Yalu geschnorrt. Hatte allerdings auch schon mal was mit dieser Schaltung gemacht. Die erfordert allerding sehr genaue Widerstände damit es wirklich gut wird. Am besten 0,1%er. Google mal nach "Howland". > Soll ich mein Buch verbrennen? Um Himmels Willen nein. Das Buch behandelt sehr interessante Fragen der Störsignalunterdrückung. > Welche Bücher empfiehlst du mir? Für Schaltungstechnik Tietze Schenk Den kannst du an jeder Uni-Bibliothek ausleihen.
M.o. G. schrieb:
> das ganze geht aber auch nur bis RLast_max=2.4k
Klar, irgendwann läuft der Opamp an den Anschlag. Mit einem kleineren
Wert für den Widerstand R5 kommt man dann noch ein bisschen weiter.
Allerdings steigen die Anforderungen an die Genauigkeit der Widerstände,
wenn man R5 kleiner wählt. Wenn man Strom nur in eienr Richtung braucht,
dann nimmt man besser andere Schaltungen die weniger empfindlich auf
Widerstandstoleranzen sind.
ok, letzte frage: wie berechne ich den Innenwiderstand algemein und speziell für die Stromquelle?
M.o. G. schrieb: > ok, letzte frage: wie berechne ich den Innenwiderstand algemein und > speziell für die Stromquelle? Indem du entweder die Näherungsformel aus dem EMV-Buch nimmst, mit Google suchst (Stichwort: Howland current source oder stromquelle) oder selber die Formel herleitest. Du kannst auch mit LTspice eine Toleranzanalyse machen.
Eigentlich will ich grundlegend wissen, wie man so etwas berechnet! Vorgehensweise oder Kochrezept. Wie man vorgeht..., der Weg dorthin! Ich wette, da hilft Tietze/Schenk auch nicht weiter, oder? Ich habe "Analoge Schaltungen" von Seifart! Kennst Du das? Ich will ja gerade die Herleitung für die im Buch angegebene Formel machen. Einfach hinnehmen ist ja oben schon schief gegangen! Wie komm ich per Toleranzanalyse an den Innenwiderstand der Stromquelle?
M.o. G. schrieb: > Aber im Buch sind die Widerstände so vorgegeben?! hab ich mir nicht > ausgedacht! wie kommst du zu deiner aussage? Ich habe gerade die von dir zitierte Seite des Buchs bei Google ange- schaut: Der Autor beginnt absichtlich mit der angegebenen Dimensionie- rung, die i.Allg. nicht zu einem konstanten Strom führt. Daraus berechnet er den Innenwiderstand, der trotz angenommener unendlicher Verstärkung des OpAmps endlich ist. > laut simulation ist Ua unabhängig vom lastwiderstand! Nur für R3=R2 wird der Innenwiderstand unendlich, dann erst ist der Aus- gangsstrom unabhängig vom Lastwiderstand. Das schreibt der Autor auch so. Setzt du R3=R2 in die von mir oben gepostete Formel für den Wider- stand links oben ein, kommt tatsächlich R1+R2 heraus. Die beiden mit R2 bezeichneten Widerstände müssen übrigens nicht unbe- dingt gleich sein. Nennen wir den Widerstand links oben R4 und den rechts oben R5, dann muss R4=(R1+R5)·R3/R2 sein, damit das Ganze eine Konstantstromquelle ergibt. Interessanterweise hängt der Ausgangsstrom I2=U1·R2/(R1·R3) nicht von R5 ab. Meistens wählt man aber wie auch im Buch R3=R2, so dass R4=R1+R5 ist. R4 wird dann auch tatsächlich aus zwei Einzelwiderständen zusammengesetzt. Dann braucht man für den optimalen Abgleich insgesamt drei Pärchen von jeweils genau gleichen Widerständen, während das Verhältnis zwischen den Pärchen nicht so kritisch ist. Die Gleichheit von Widerständen ist nämlich leichter zu prüfen und zu garantieren als ein vorgebenenes Verhältnis. > ok, letzte frage: wie berechne ich den Innenwiderstand algemein und > speziell für die Stromquelle? Heute nicht mehr ;-)
ok, recht herzlichen dank. so verstehe ich den sachverhalt. leider stelle ich fest, dass diverse missverständnisse im buch auftauchen und der sachverhalt leider oft sehr schwer zu durchdringen ist, wegen der art weise und wegen des aufbaus der darstellungen. einige kapitel musste ich 10x lesen. so habt ihr mir geholfen ,wieder mehr spass am lernen zu haben - nochmals danke! trotzdem würde ich gerne eine vorgehensweise (kochrezept) haben, wie man den innenwiderstand berechnet, evtl am beispiel dieser stromquelle.. oder zumindest einen link oder literaturhinweis!. Danke ubd gute nacht :-)
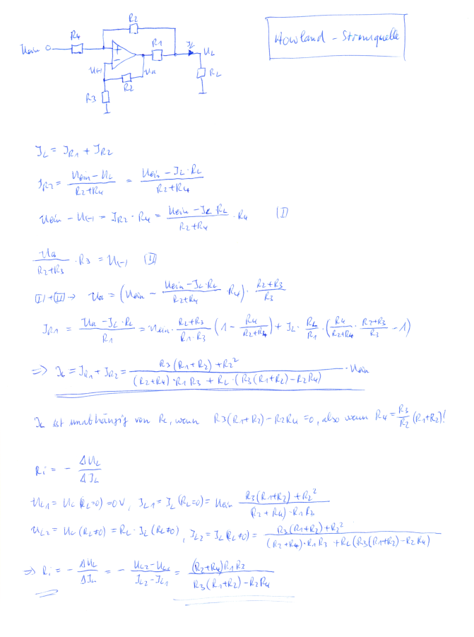
So, jetzt kommt endlich der Innenwiderstand: Damit man vom Ergebnis auch einen Nutzen hat, gehen wir von der allge- meinen Schaltung mit 5 unterschiedlichen Widerständen aus (s. Bild), rechnen aber zunächst mit unendlicher Differenzverstärkung des OpAmps. Der Innenwiderstand Ri einer Strom- oder Spannungsquelle gibt an, wie stark die Spannung vom Strom abhängt:
U0 ist dabei die Leerlaufspannung. Deswegen berechnen wir zuerst die Ausgangsspannung UA der Schaltung in Abhängigkeit vom Ausgangsstrom I2. Der Faktor, der in der Lösung vor dem I2 steht, ist der gesuchte Innenwiderstand. Um UA zu berechnen, kann man bspw. mit dem Kirchhoffschen Knotenpunkt- satz ein Gleichungssystem aufstellen und dieses lösen. In unserem Fall lauten die Gleichungen
U2 ist dabei die Spannung an den beiden Eingängen des OpAmps und U3 des- sen Ausgangsspannung. Aufgelöst nach UA und sortiert nach Termen ohne und mit I2 ergibt sich
Man erkennt darin sofort, wie groß U0 und Ri sind. Setzt man wie im Buch R5=R2 und R4=R1+R2, erhält man den dort angebenen Ausdruck für Ri. Ri wird unendlich, wenn der Nenner des Bruchs 0 wird. Das ist der Fall für
Für diese Dimensionierung erhält man eine ideale Stromquelle, deren Ausgangsstrom unabhängig von der Last ist. In der Realität hat der OpAmp aber nur eine endliche Differenzverstär- kung AD. Die Berechnung des Innenwiderstands verläuft wie gerade eben mit den folgenden Unterschieden: - Die Spannungen an den Eingängen des OpAmps sind nicht mehr gleich, also wird in den Gleichungen U2 durch UP (nichtinvertierender Eingang) bzw. UN (invertierender Eingang) ersetzt. - Eine vierte Gleichung beschreibt die offene Verstärkung des OpAmps. Das neue Gleichungssystem lautet also
Damit das Ergebnis nicht zu kompliziert wird, ersetzen wir R4 durch den oben berechneten optimalen Wert. Die Leerlaufspannung ist dann
und der Innenwiderstand
In diesen beiden Beispielen hängt U linear von I ab, so dass der Innen- widerstand unabhängig von U und I ist. Verwendet man in einer Schaltung nichtlineare Bauteile, so besteht diese Unabhängigkeit nicht mehr, und der Innenwiderstand variiert über U und I. Für einen gegebenen Arbeits- punkt ist der Innenwiderstand dann das Verhältnis einer kleinen Span- nungsänderung zur entsprechenden Stromänderung:
Das Minuszeichen muss da stehen, weil bei positivem Innenwiderstand eine positive Spannungsänderung eine negative Stromänderung nach sich zieht und umgekehrt. Um den Innenwiderstand zu berechnen, muss man also nur die gefundene U(I)-Funktion nur nach I ableiten.
Upps, ich habe das Bild zum vorigen Post vergessen. Hier ist es.
Hallo Yalu, Respekt! Ich weiß, wie lange du dafür gebraucht hast... Ich habe mir nicht ganz so viel Mühe gegeben wie du und habe R5 nicht von R2 unterschieden. Ich denke, der Threadersteller kann so einfacher sehen, wie man auf Ri kommt: Jetzt muß er nur noch R4 = R1 + R2 setzen und hat dann genau die Formel aus dem Buch. Kai Klaas
Oops, Uein vergessen bei IL... Jetzt sollte es stimmen. Kai Klaas
Hallo Kai, > Respekt! Ich weiß, wie lange du dafür gebraucht hast... Huch, werde ich etwa beobachtet? ;-) Aber es war halb so wild. Beim Lösen des Gleichungssystems hat mich Frl. Maxima unterstützt, ich selbst habe die Lösungen am Schluss nur noch etwas schöner hingebogen. Mit Abstand am meisten Zeit hat es gekostet, sie für das Forum im LaTeX-Format einzutippen und darin nach den unver- meidlichen Syntaxfehlern zu suchen, die von der Forensoftware in der Vorschau leider nicht ausgegeben werden :) Ich finde as aber immer wieder bewundernswert, wie du es schaffst, die Gleichungen von vorneherein so aufzustellen, dass sie mit minimalem Aufwand auch mit Papier und Bleistift lösbar sind. Apropos Papier: Auf was schreibst du eigentlich immer deine Rechnereien? Auf Papier (das du dann eingescannst) oder auf Tablett? Wenn auf Papier, hast du vermutlich das zweite (korrigierte) Bild aus zwei Einzelscans auf dem PC übereinandergeklebt :) > Ich habe mir nicht ganz so viel Mühe gegeben wie du und habe R5 nicht > von R2 unterschieden. Ob du mit R5=R2 rechnest oder nicht, macht vom Aufwand her eigentlich keinen Unterschied. Komplizierter wird es erst, wenn man noch die end- liche Verstärkung des OpAmps mit hinzunimmt.
Hallo Yalu, >Ich finde as aber immer wieder bewundernswert, wie du es schaffst, die >Gleichungen von vorneherein so aufzustellen, dass sie mit minimalem >Aufwand auch mit Papier und Bleistift lösbar sind. Na ja, was du da siehst, ist oft nicht der erste Entwurf. Ich brauche teilweise etwas Zeit, bis es möglicht einfach aussieht. Aber ich sehe das als Übung und mache es deshalb sehr gerne. >Apropos Papier: Auf was schreibst du eigentlich immer deine Rechnereien? >Auf Papier (das du dann eingescannst) oder auf Tablett? Wenn auf Papier, >hast du vermutlich das zweite (korrigierte) Bild aus zwei Einzelscans >auf dem PC übereinandergeklebt :) Die ganze Rechnung habe ich im Entwurf auf locker geschriebene sechs Seiten gekritztelt. Das sind aber mehrere unterschiedliche Rechenwege. Den einfachsten Lösungsweg habe ich dann auf das aller nötigste zusammengefaßt ganz normal auf ein DIN4-Blatt ins Reine geschrieben. Nach dem Scannen als BMP-File rufe ich das dann mit der "Windows Bild- und Faxanzeige" auf, vergrößere oder verkleinere das so, bis man einen gut sichtbaren Ausschnitt erhält. Dann schiebe ich den aktuellen Bildschirminhalt mit der "Druck"-Taste (die Taste rechts neben F12) in die Zwischenablage. Dann rufe ich "Paint" auf und importiere das Bild mit "Einfügen" aus der Zwischenablage. Jetzt korrigere ich in der Regel noch kleinere Schreibfehler und exportiere das Bild dann mit "Kopieren nach" in eine neue Datei. Dann öffne ich das Bild nochmals mit der "Windows Bild- und Faxanzeige" und speichere es als PNG-File ab. Das fehlende "Uein" habe ich einfach in "Paint" mit "Copy" und "Paste" hinkopiert und das Ganze dann noch ein wenig hin- und hergeschoben. >Ob du mit R5=R2 rechnest oder nicht, macht vom Aufwand her eigentlich >keinen Unterschied. Komplizierter wird es erst, wenn man noch die end- >liche Verstärkung des OpAmps mit hinzunimmt. Ja genau! Aus Application Notes zu diesen Howland Stromquellen weiß ich, daß die endliche Verstärkung sogar einen deutlichen Einfluß auf die Symmetrie und Stabilität der ganzen Schaltung hat!! Kai Klaas
@yalu: Hallo yalu, die Formel für Ri mit optimalen R4 macht aber wenig Sinn, da gerade die immer vorhandenen Widerstandstoleranzen den Innenwiderstand viel mehr verschlechtern als die endliche Leerlaufverstärkung A.
Vielen, vielen Dank und großen Respekt an alle, die geholfen haben! Ich hoffe, dieses Beispiel hilft nicht nur mir, sondern auch anderen weiter, denn zumindest dies Vorgehensweise zur Berechnung eines Innenwiderstandes einer Quelle kann man verallgemeinern, denk ich. Also Hut ab und Gruß! PS: Eigentlich wollte ich ja nur einen Link oder eine Starthilfe für meine eigenen Berechnungen! Bekommen habe ich hier die "Mercedes-Lösungen". Beantwortet Ihr ehrenamtlich neben Eurem Beruf alle Fragen hier bei yC oder was ist Eure Motivation?
>Beantwortet Ihr ehrenamtlich neben Eurem Beruf alle Fragen hier bei yC >oder was ist Eure Motivation? Ich kann nur für mich sprechen. Ich bin nur ein Gast hier. Es macht einfach Spaß, solche Probleme zu lösen... Kai Klaas
Bitte melde dich an um einen Beitrag zu schreiben. Anmeldung ist kostenlos und dauert nur eine Minute.
Bestehender Account
Schon ein Account bei Google/GoogleMail? Keine Anmeldung erforderlich!
Mit Google-Account einloggen
Mit Google-Account einloggen
Noch kein Account? Hier anmelden.




