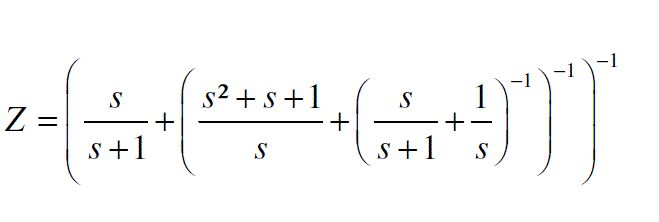
Hallo, kann mir einer von euch sagen wie man diese Funktion in Matlab reinbekommt? Also als Transfer Function in Simulink? Gibt es da einen Trick? Will mir nur das Zeitverhalten anschaun. Danke für die Hilfe. Ert
Oh seid neusten geht das Hochladen der Bilder beim ersten Mal :D. Die beiden Funktionen sind gleich.
Dafür verwendet man z.B. den Befehl freqs(B,A). Dabei sind B und A Arrays mit den Zähler- bzw. Nennerkoeffizienten, absteigend sortiert. z.B. für 1/(1+2s) sähe das so aus: freqs ([1], [2 1]) Da hast du also noch etwas Umformung zu betreiben, wobei www.wolframalpha.com evtl. helfen kann. Die Transfer-Function in Simulink nimmt übrigens die gleichen Argumente wie freqs.
Danke für die schnelle Antwort. Mal sehen ob ich auf der hp Inspiration finde. Das Problem ist es nicht z.b ein PT1 als Transfer function dazustellen, sondern diese Zusammenschaltung. Meinst ich muss das komplett auflösen das ich nur eine Nenner und eine Zählerkoeffizientenmatix habe? Dachte das muss einfacher gehen. Grüße Ert
Matlab kann halt nicht symbolisch rechnen (bzw. nur mit extra Toolbox) und daher auch keine Ausdrücke vereinfachen. Wolframalpha allerdings schon, siehe z.B.: http://www.wolframalpha.com/input/?i=+y%3D%28s%2B1%29%2B%281%2F%28s-1%29%29^-1 Natürlich kannst du das Ergebnis per Handrechnung verifizieren ;)
Danke. Habe die Fkt dort eingetragen und nach ein bisl tricksen auch die Zähler und Nennerkoeffizienten ablesen können. Ab nach Matlab und jetzt sehe ich mein Zeitverhalten. Danke und Gruß Ert für den den es interessiert: Z= (3s^5+7s^4+9s^3+7s^2+3s+1)/(3s^5+6s^4+8s^3+4s^2+2s)
Ert schrieb:
> Ab nach Matlab und jetzt sehe ich mein Zeitverhalten.
Ups, hatte ich bisher übersehen. Das gibt dir natürlich NICHT das
Zeitverhalten, sondern den Frequenzgang nach Betrag und Phase. Willst
die zeitliche Antwort auf z.B. eine Sprungfunktion, so sollte dir
step(B,A) weiterhelfen. Analog dazu impulse(B,A) für die Stossantwort.
Beliebige Zeitsignale zunächst als Array über der Zeit darstellen und
dann mit filter() arbeiten.
Bitte melde dich an um einen Beitrag zu schreiben. Anmeldung ist kostenlos und dauert nur eine Minute.
Bestehender Account
Schon ein Account bei Google/GoogleMail? Keine Anmeldung erforderlich!
Mit Google-Account einloggen
Mit Google-Account einloggen
Noch kein Account? Hier anmelden.

