Hallo, ich grübel gerade über ein Poblem. Ich erhöhe die Belastung auf einen RLC-Parallelschwingkreis. Die Tendenz meiner Formel lautet: Belastung steigt -> Resoanzfrequnez wird größer (bis ca. 3%) Wenn ich den Spass vermesse, geschieht genau das Gegenteil.: Belastung steigt -> Resoanzfrequenz fällt Wie ist im allgemeinen das Verhalten der Resoanzfrequenz, wenn die Belastung (also Güte fällt) erhöht wird? Was ist flasch? Meine Theorie, oder meine Messweise? mfg
> Die Tendenz meiner Formel lautet:
So so, Deine Formel also...
Ist die so geheim, daß Du sie hier nicht posten willst !?
Einfach mal so gesagt: Ich glaub, der Kondensator C42 ist für diese
Spannung nicht ausgelegt.
Ja, ich stelle sie nachher rein. Bin auf Arbeit. Mich interessiert erstmal eine generelle Aussage. Wie verändert sich die Resoanzfrequenz eines realen belasteten RLC Parallelschwingkreis, bei steigender Belastung? mfg
Ok, liegt vor mir. habe aber nur Band2. Auf welche Aussage bezieht sich deine Meldung Matthias? mfg
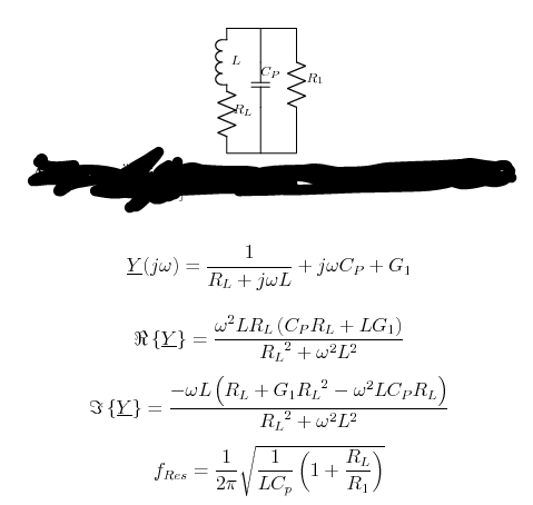
Angehangen die Formel. -ohmscher Verlustiwderstand vom Kondensator habe ich unterschlagen Im=0 gesetzt und Resoanzfrequenz habe ich erhalten. Bei mir steigt die REsoanzfrequenz bei steigender Belastung. Ich denke meine Theorie ist richtig. mfg
Wenn sich die Güte bei Belastung ändert, heißt das doch nur, dass sich ein Wert von R, L, oder C mit steigender Spannung oder steigendem Strom verändert. Oder auch irgend etwas beim Generator: Uo, Ri oder spektrale Reinheit, wenn er mehr Leistung an einen undefinierten Abschluss liefern muss. Kannst du 5 von diesen 6 Parametern ausschließen? Dann könnte sich noch das Messgerät als nicht übersteuerungsfest erweisen. Also 6 von 7?
@schwinger: Wenn Du schreibst, dass die ohmsche Belastung steigt, ist doch die Belastung am gesamten Parallelkreis gemeint, oder? In Deiner Rechung also R1. Steigt R1, so sinkt die die Frequenz reziprok mit der Wurzel von R1 - und so soll es sein: Ein ohmscher Widerstand vermindert das Schwingungsvermögen des Kreis und führt so zu einer Minderung der Frequenz. Krasser gesagt - Belastung = Güteverlust führt dazu, dass der Schwingkreis von seinem ursprünglichen Wissen um seine Frequenz ablassen muss und daher - Entropiemäßig gesehen - seine Frequenz erniedrigen muss. Oder verstehe ich Dich falsch und Du siehst RL als Last an?
Danke euch beiden. Ja R1 ist meine Belastung. Okok, ich muss das nochmal präzisieren. Mein Ausgangspunkt ist eine Last von R1=1,8KOhm. Wenn ich, von diesen Widerstandswert aus, die Belastung erhöhe, dann steigt die Resonanzfrequenz. s.Anhang @Nils: Deine Aussage, mein Widerstandwert R1 steigt?: "Steigt R1, so sinkt die die Frequenz reziprok mit der Wurzel von R1 - und so soll es sein: Ein ohmscher Widerstand vermindert das Schwingungsvermögen des Kreis und führt so zu einer Minderung der Frequenz." bezieht sich aber darauf, dass ich die Belastung erhöhe. Ich denke, Shreklicher hat da mit der Praxis recht. "Oder auch irgend etwas beim Generator: Uo, Ri oder spektrale Reinheit, wenn er mehr Leistung an einen undefinierten Abschluss liefern muss." Das sehe ich auch so, mein Generator bricht einfach zusammen. Vielen Dank, das war mein letztes kleines Problem in meiner DA. mfg
Bitte melde dich an um einen Beitrag zu schreiben. Anmeldung ist kostenlos und dauert nur eine Minute.
Bestehender Account
Schon ein Account bei Google/GoogleMail? Keine Anmeldung erforderlich!
Mit Google-Account einloggen
Mit Google-Account einloggen
Noch kein Account? Hier anmelden.

