Hallo, folgendes Problem: ich will eine FFT mit 4096 Werten in einem LPC1769 machen. Der hat 2*32K RAM für die FFT braucht man aber bereits 4096*2*sizeof(float) = 32k Speicher. Da in dem Projekt auch noch etwas sonstiger Speicher gebraucht wird, reicht das RAM erwartungsgemäß nicht aus. Für die FFT muß man ja 4096 komplexe Zahlen im Speicher vorsehen, also 2 float zu je 4 Bit. Da bei mir aber die Einganswerte alle reelwertig sind und damit alle imaginären Anteile Null sind, gibt es Tricks, das Ganze mit einer FFT mit 2048 Werten durchzuführen. Es gibt z.B. ein Script hier: www.zhaw.ch/~rumc/dsv1/unterlagen/dsv1kap3dftfft.pdf Auf den letzten beiden Seiten wird es beschrieben. Die reelen 4096 Eingangswerte werden abwechselnd auf die Real- und Imaginärteile der 2048-FFT verteilt, dann die FFT durchgeführt und anschließend daraus die 4096 komplexen Ergebnisse berechnet. Das geht, weil im Ergebnis Werte mit den Indizes i und 4096-i konjugiert komplex zueinander sind. Leider ist die Beschreibung ausgerechnet in dem Punkt in der Doku fehlerhaft, die Indizes gehen dort durcheinander. Die Eingangswerte gehen von 0 bis M-1, die FFT-werte von 0 bis M/2-1, soweit ist das korrekt. Aber später im Ergebnis werden Indizes von 0 bis M-1 für die Ergebniswerte (das ist richtig, es gibt ja 4096 Stück) auch in die Ausgangswerte der FFT eingesetzt und das geht nicht, denn die FFT liefert ja nur 2048 Werte, also Indizes von 0 bis M/2-1. Die einzige andere Doku, die diese Thema anschneidet, fand ich über Google bei der FH München und TH Wien (die Dokumente sind identisch), aber genau bei dem Punkt geraten da wieder die Indizes durcheinander, man muß dann wieder FFT-Ergebnisse mit Indizes bis 4095 adressieren... Ich brauche leider die 4096-FFT, reserviere ich Speicher für eine 2048-FFT, reicht es aus, jetzt brauche ich "nur" noch eine fehlerfreie Doku, die das Verfahren der Schachtelung korrekt beschreibt. Noch besser wäre natürlich ein Codebeispiel ;-) Eine Doku würde mir aber reichen. Die Rechengeschwindigkeit ist nicht sooo kritisch, ich brauche nur eine Lösung, die mit halb soviel Speicher auskommt als die Standardlösung mit der normalen FFT. Das ganze soll für einen digitalen Audioverstärker verwendet werden, dort kommen FIR-Filter mit 4095 Koeffizienten (symmetrisch, daher lineare Phase) zum Einsatz. Die Filter selber laufen in FPGAs, die Koeffizienten dafür werden aber vom LPC1769 berechnet und einmal in die FPGAs geladen. Ich berechne einen Sollfrequenzgang und mithilfe einer IFFT daraus die Filterkoeffizienten (die müssen noch mit einer Fensterfunktion versehen werden). Die IFFT ist ja identisch zur FFT, sie unterscheidet sich nur in einem konstanten Faktor für alle Ergebniswerte. Bei mir ist sogar der reele Sollfrequenzgang symmetrisch bzgl. i und 4096-i, so daß die IFFT nicht nur konjugiert komplexe Werte liefert, sondern sogar rein reele, sonst würde das FIR-Filer auch nicht funktionieren. Eine Simulation ergibt auch schon gute Ergebnisse. Da die FIR-Filter bis in den Baßbereich wirksam sein sollen, müssen die schon 4095 Koeffzienten haben, sonst kann man den unteren Baßbereich nicht mehr individuell beeinflussen. Gruß Andy_W
Hi, guck dir das mal an (v.A. ab Seite 47): http://www.dss.tf.uni-kiel.de/teaching/lecture_digital_signal_processing/lecture_slides/dig_sig_03_spektren.pdf Scheint sehr detailliert beschrieben zu sein. lg, MK
Schau dir doch mal den CMSIS DSP code an. Ich nutze ihn in Form der STM32F4xx_DSP_StdPeriph_Lib. Der DSP-Teil kommt von ARM, sollte in der NXP-Variante also identisch sein. Dort sind die FFT-Routinen übrigens in 3 Varianten enthalten, für float, 16 Bit integer und 32 Bit integer. float würde ich für den lpc1769 ohne FPU nicht empfehlen - und dann noch 4096 Punkte... Mein STM32F4 braucht bei 168MHz etwa 3ms für eine 1024 Punkte - FFT, bei maximaler Optimierung und mit FPU.
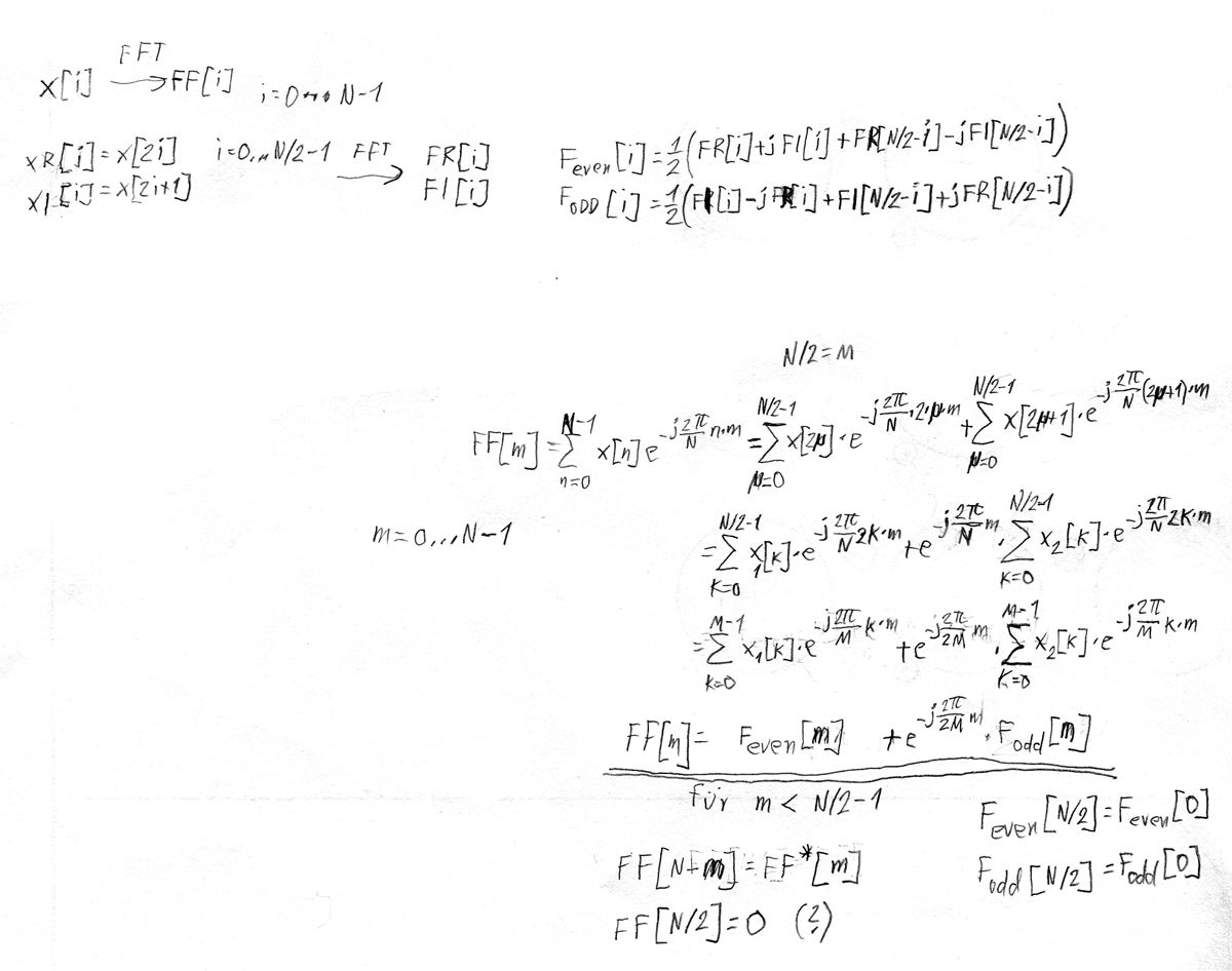
Hallo, das andere Dokument hatte ich auch schon gefunden, bei der z.B. hat mich Google zur FH München geführt. Das ist das zweite, das ich auch schon erwähnt hatte. Auch da geraten die Indizes etwas durcheinander, vor allem wird dazu kein einziges Wort gesagt, wie das zu interpretieren ist. Aber ich hatte mir genau diese Vorlage vorgenommen und danach die Sacher selber hergeleitet, vielleicht zur Info ein Scan vom Schmierblatt mit meinen Notizen... Daraus habe ich dann auch entsprechenden Code gemacht - und er funktioniert.
1 | //******************************************************************************
|
2 | //
|
3 | // real FFT/IFFT
|
4 | //
|
5 | // nur reele, symmetrische Eingabewerte
|
6 | //******************************************************************************
|
7 | void fft_r(sint32 dir, sint32 m, float *xr, float *xi) |
8 | {
|
9 | sint32 n, i; |
10 | float f1r, f1i, f2r, f2i; |
11 | |
12 | n = 1 << m; |
13 | for (i = 0; i < n/2; i++) |
14 | {
|
15 | xr[i] = xr[i+i]; |
16 | xi[i] = xr[i+i+1]; |
17 | }
|
18 | fft(dir, m-1, xr, xi); |
19 | xr[n/2] = xr[0]; |
20 | xi[n/2] = xi[0]; |
21 | for (i = 0; i < n/2; i++) |
22 | {
|
23 | f1r = 0.5*(xr[i] + xr[n/2-i]); |
24 | f1i = 0.5*(xi[i] - xi[n/2-i]); |
25 | f2r = 0.5*(xi[i] + xi[n/2-i]); |
26 | f2i = 0.5*(xr[n/2-i] - xr[i]); |
27 | xr[n/2+i] = f1r + f2r*cos(2*PI/n*i) - f2i*sin(2*PI/n*i); |
28 | }
|
29 | for (i = 0; i < n/2; i++) |
30 | {
|
31 | xr[i] = xr[n/2+i]; |
32 | }
|
33 | }
|
Der Code ist noch vorläufig, Hauptsache, der funktioniert erst einmal vom Prinzip. xr[] und xi[] sind die Arrays für die Real- und Imaginärteile der FFT. Beim Aufruf stehen die 4096 reellen Werte in xr[]. Da es sich um gespiegelte Werte handelt, also xr[i] = xr[4096-i], kann man später auch nur die Hälfte als Eingangswerte nehmen und den Rest entsprechend umkopieren. Diese 4096 Werte werden auf die ersten 2048 Zellen von xr[] und xi[] verteilt. 2^m ist die Größe der FFT, m ist bei mir also 12 und n daher 4096. dir ist 1 für eine FFT und -1 für eine IFFT, der Unterschied ist lediglich ein konstanter Faktor nach der FFT. Die Parameter für die aufgerufene fft() sind die gleichen wie für diese fft_r(), es wird aber fft mit m-1 aufgerufen, also eine 2048-FFT. Danach müssen die Ergebnisdaten aufbereitet werden. Zuerst trennt man das Ergebnis in zwei Teilergebnisse f1 und f2 (jeweils mit Real- und Imaginärteil, also f1r, f1i, f2r und f2i) auf, genau so, wie ein paar Seiten zuvor beschrieben für eine FFT mit zwei getrennten Datensätzen gemeinsam (das Verfahren war verständlich, da es immer gleich viel indizes blieben). Diese beiden Teilergebnisse werden dann zu einem großen zusammengefaßt (die Zeile nach Berechnung von r1r, r1i, r2r und r2i mit cos und sin). Da mein Ergebnis auch nur reelle Komponenten enthält, berechne ich auch nur den Realteil, eine weitere Zeile wäre für den Imaginärteil nötig, der entsteht, wenn die reellen Einganswerte nicht gespiegelt sind. Meine Herleitung hat ergeben, daß beim Berechnen des Ergebnisses nur die untere Hälfte mit Index 0-2047 herauskommt, die obere Hälfte ist konjugiert komplexe gespiegelt, also ff[4096-i] = konjugiert(ff[i]). Davon steht in den Dokumenten z.B. kein Wort, das wird wohl nur mündlich in den Vorlesungen gesagt... xr[2048] und xi[2048] fehlt bei den Eingangsdaten, da 4096-2048 = 2048 ist, da sich die Eingangsdaten der 2048-FFT wie sonst auch aber unendlich wiederholen (es wird ja angenommen, daß die periodisch sind), sind die identisch mit xr[0] und xi[0]. Das Ergebnis von ff[2048] fehlt aus dem gleichen Grund. Ich brauche das Element bei meiner Anwendung nicht, es ist für ein FIR-Filter mit Koeffizienten -2047...+2047 (gefenstert). Ich nehme mal an, daß es auch identisch mit ff[0] sein könnte, evtl. aber auch komplett Null. Auf jeden Fall ist der Imaginärteil Null, denn ff[2048] muß ja konjugiert komplex zu sich selbst sein. Der Code ist schon ausprobiert und er funktioniert, noch auf dem PC unter Visual Studio. Nun kann ich den Code noch anpassen. Wahrscheinlich werde ich bei float bleiben (so bin ich sicher vor Overflow), die Rechenzeit ist nicht so kritisch, die Filterkoeffizienten werden ja sozusagen "offline" berechnet und dann in FPGAs geladen, die schuften sich dann mit dem FIR-Filter ab... Die FIR-Filter arbeiten dann mit Festkomma, intern mit 27 Bit (Spartan 3 Memoryblöcke mit je 2048*9 Bit). Ich lege sehr viel Wert auf linaerphasige Filter bei Audio, besonders bei einem Equalizer, um Raumresonanzen abzuschwächen. Meine Aktivboxen mit noch analogen Besselfiltern, die auf möglichst gutmütige Phase optimiert sind, haben schon so manchen Besucher vom Sessel gerissen, selbst professionelle Abhörmonitore tun sich da schwer. Die Abhörmonitore V8 von KRK sind bei mir jedenfall nur gerade eben noch für die hinteren Surroundkanäle gut genug... Gruß Andy_W
Andreas W. schrieb: > Die einzige andere Doku, die diese Thema anschneidet, suche mal nach "real valued in place fft" z.b. nach rfft und rsfft von Sorensen. Ursprünglich in Fortran. z.B. hier: http://my.fit.edu/~vkepuska/ece5526/SPHINX/SphinxTrain/src/programs/cdcn_norm/rsfft.c Gruß Anja
Hallo, da ich inzwischen eine funktionierende Lösung habe (ich brauche auch für die Berechnungen vor und nach der FFT nur noch den halben Speicher, das Programm ist entsprechend umgeschrieben)m habe ich mir die letzte Lösung nur noch mal angesehen. Die ist vom Code her deutlich umfangreicher als z.B. meine FFT plus die Umrechnung. Welche Lösung schneller ist, habe ich aber nicht untersucht. Meine ist jedenfalls noch schnell genug (einige wenige 1/10s), solange kann ich noch warten, bis eine neue Klangeinstellung in die FPGAs geladen ist. Zuerst hat es auf meinem LPC1769 fast 8s gedauert, bis ich ein Ergebnis sah, das Programm hat einen Wunschfrequenzgang berechnet, daraus die Filterkoeffizienten und daraus wiederum den Frequenzgang des FIR-Filters und auf dem Minigraphikdisplay des Evaluationboards dargestellt. Das war mir dann doch zu lange, bis ich den Übeltäter ausgemacht habe: die Berechnung des Frequenzgangs des FIR-Filters für 96 Frequenzen. Jedesmal muß dafür für alle 2048 Koeffizienten (FIR-Filter mit 4095 Stützstellen, aber symmetrische Koeffizienten) einen Cosinus berechnen, also insgesamt rund 200000-mal... Diese Berechnung fällt später in der Anwendung aber weg, die Filterkoeffizientenberechnung mit IFFT geht deutlich schneller. Wie man den Frequenzgang eines FFT-Filters berechnet, habe ich hier gezeigt: Beitrag "FIR Filter Betragsfunktion" letzte Formel Da fällt mir aber kein schnellerer Algorithmus ein, auch die Berechnung des Cosinus aus vorhergehenden bringt leider nichts. Die Formel für Cosinus eines Vielfachen eines Winkels läuft auf eine binomische Formel hinaus, für größere Vielfache noch aufwendiger als der Cosinus selber und mit Additionsformel ist Sinus und Cosinus und zusätzlich sqrt nötig, bringt auch kaum Vorteile, dafür evtl. aufsummierende Rundungsehler. Aber die Funktion brauche ich bestenfalls zur Illustration, wenn der User den aktuellen Frequenzgang mal sehen will (der Verstärker bekommt ein LCD Graphikdisplay 800*480 mit Touchscreen), das kann auch im Hintergrund berechnet werden. Gruß Andy_W
>>>>
Da fällt mir aber kein schnellerer Algorithmus ein, auch die Berechnung
des Cosinus aus vorhergehenden bringt leider nichts.
<<<<<<
Cosinus iterieren geht super:
Du willst z.B. Schrittweite von 0.123rad:
Die komplexe Zahl
z=e^j*0.123=0.9924+j*0.1227
dreht bei der Multiplikation eine andere komplexe Zahl um genau den
Winkel.
(1+j*0)*z=0.9924+j*0.1227 -> cos(1*0.123)=0.9924
(0.9924+j*0.1227)*z=0.9699+j*0.2435 -> cos(2*0.123)=0.9699
Kostet 4 Multiplikationen und zwei Additionen.
Die Nummer läuft unter 'Cordic', geht super.
math rulez!
Cheers
Detlef
Hallo, stimmt, inzwischen wurde ich auch fündig: cos(n*a) = Tn(cos(a)) mit Tn(x) Tschebyscheff Polynom n-ter Ordnung (steht in Wikipedia). Hört sich erst einmal richtig fies an, aber es geht auch einfach, es gilt: T(n+1)(x) = 2*x*Tn(x)-T(n-1)(x) setzt man x = cos(a) kann man ebenfalls der Reihe nach iterieren: x(1) = cos(a) muß einmal berechnet werden. x(0) = 1. x(n+1) = 2*x(n)*cos(a)-x(n-1) das kann man mit einer Multiplikation und 2 Additionen hinkriegen. x(m) ist dann cos(m*a), so daß man die Koeffizienten der Reihe nach aus den jeweils 2 vorhergehenden berechnen kann. Das Tschebyscheff Polynom selber muß man nie ermitteln und den Cosinus da durch jagen (auch mit Hornerschema dauert das für 2047-te Ordnung sehr lange...), man kann die Cosinuswerte selber iterieren. Heute abend werde ich das mal im LPC1769 ausprobieren, sollte dann doch eine ganze Ecke schneller werden. Gruß Andy_W
Hallo, inzwischen habe ich meinen Algorithmus mit den Tschebyscheffpolynomen implementiert. Er funktioniert, ich bekommen die gleichen Ergebnisse wie vorher. Und er läuft mehr als 8-mal so schnell für große FIR-Filter, bei mir eben mit 2047 Koeffizienten. In der Schleife eine Addition, eine Multiplikation, eine Subtraktion und zwei Moves (2 Variable umkopieren), mehr ist nicht nötig. Den Cosinus muß man nur einmal vor dem Schleifenstart berechnen. Ja, Mathe rulez! Einige Mathelehrer in der Schule haben mich gefürchtet, sonst ist es doch eher umgekehrt ;-) Gruß Andy_W
Yo, so geht das optimal. Deine Gleichung: x(n+1) = 2*x(n)*cos(a)-x(n-1) ist die Differenzengleichung für ein rekursives, ungedämpftes System, das auf der Frequenz a schwingt. Diese Gleichung kann man auch heranziehen, um Frequenzen in Signalen zu bestimmen, siehe: Beitrag "Frequenzlinie ausfiltern und deren Amplitude auswerten" Dass man diese Gleichung aus Tschebyscheffpolynomen herleiten kann war mir neu, wieder was dabeigelernt, thx. math rulez Cheers Detlef
Link ist nun folgender: http://www.dss.tf.uni-kiel.de/en/teaching/lectures/resolveuid/0b90bd78-af2c-48a5-91bb-6e04088ee697
Nettes Doc! Sowas Ähnliches kann ich vielleicht demnächst auch gebrauchen!
Bitte melde dich an um einen Beitrag zu schreiben. Anmeldung ist kostenlos und dauert nur eine Minute.
Bestehender Account
Schon ein Account bei Google/GoogleMail? Keine Anmeldung erforderlich!
Mit Google-Account einloggen
Mit Google-Account einloggen
Noch kein Account? Hier anmelden.
