Hallo Gemeinde! Leider fand ich nichts zur Berechnung, wenn man das Filter analog realisieren möchte als aktive OpAmp-Schaltung. Kennt da jemand ein Tool oder wenigstens ne Berechnungsvorschrift? Notfalls auch ein Tabellenbuch, wo ein RRCF-Bandpaß vorkommt. Gefunden habe ich nur ein Design-Tool für die Lowpaß-Variante. Könnte man das irgendwie transponieren zu einem Bandpaß? Ist ja nur die Verschiebung der Bandmitte, oder? Vielen Dank für geistreichen Input!
Weil du so drängelst, Nuhertz. Allerdings ist in der kostenlosen Version nur ein raised cosine Tiefpass und nur bis 3. Grades. Das Programm kann sowohl F(s) als auch eine LC- oder eine aktive Schaltung berechnen. Schon die Tiefpassfunktion in LC sieht aufwendig aus. Tiefpass 3.Grades: PI-Filter -> Allpass1 -> Allpass2(mit Trafo) Filter Free 2011 http://www.nuhertz.com/download.html Vermutlich kann die Kaufversion auch Bandpass. Schätze das wird aber €€€€ kosten. Nachtrag: Ich sehe "raised cosine" im Programm-Menu, aber nicht "root raised cosine".
Ich drängel nicht. Ist nicht eilig, aber nach einem Tag kann man ja mal pushen. Danke Helmut, hatte ich schon durch mit denen. Der Support meinte: Analoge Version wollen sie nicht implementieren, auch nicht in der Kaufversion. Das Programm hat eine digitale Bandpaß-Version drin. Mir würde eine mathematische Beschreibung für LTspice erstmal reichen. Weiß aber gar nicht, ob es sowas gibt. Die Übertragungsfunktion ist bekannt, und dann?
> Die Übertragungsfunktion ist bekannt, und dann?
Meinst du jetzt nur die Formel mit cos() oder die Approximation F(s)?
Ansonsten mal in der usenet group comp.dsp nachfragen.
Gute Frage. Ich weiß ja gar nicht wo da der genaue Unterschied ist. Das eine funzt nur bei AC-, daß andere nur bei TRAN-Analyse? Kann man denn ein Kochrezept für http://www.filter-solutions.com/raised.html (Erscheint mir am 'übersichtlisten') angeben, wie man das als Funktion in LTspice implementiert?
OK, "übersichtlichsten" ;-) Was für ein Wort. Oh, gerade hatte ich Word getippt.
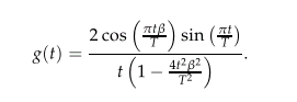
Mittlerweile habe ich die Transferfunktion für den Zeitbereich gefunden. Aber wie kann man die LTspice mitteilen? Anscheinend beschreibt sie nur die Filterkurve. Ich sehe aber nicht, wo in der Funktion der Datenstrom eingesetzt werden soll. beta ist eine Konstante. T soll die Bitzeit sein. t vermutlich schlicht die SPICE-time. Weiß das einer? Ich bräuchte ne BV-Quelle mit dieser Formel, die für einen Eingangsbitstrom diesen gefiltert ausgibt.
Bitte melde dich an um einen Beitrag zu schreiben. Anmeldung ist kostenlos und dauert nur eine Minute.
Bestehender Account
Schon ein Account bei Google/GoogleMail? Keine Anmeldung erforderlich!
Mit Google-Account einloggen
Mit Google-Account einloggen
Noch kein Account? Hier anmelden.
