Hallo, ich bin mir nicht sicher ob ich das hier in das Forum schreiben darf. Ich habe ein Problem eine Gleichung zu lösen. Jedoch habe ich den rechenweg komme aber einfach nicht drauf wie derjenige das gemacht hat. Villt kann mir jemand von euch helfen. Ich verstehe nicht wie man auf die 0,99 kommt. Für Omega wird w = 2pi* 400Mhz eingesetzt und Z = 50 ohm, r = 0,1 Als Lösung kommt dann 0,799pF raus. Vielen Dank für eure Hilfe.
Zum Auflösen nach C folgende Operationen in der Reihenfolge auf beiden Seiten: Kehrbruch (und sofort Bruch vereinfachen!), -1, Kehrbruch, Wurzel, /wZ Wie man darauf kommt: Versuchen, die Anzahl vorkommender C zu verringern.
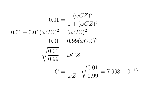
Die gesamte Gleichung wird mit dem Nenner multipliziert, (wCZ)^2 auf die rechte Seite gebracht und die resultierende Gleichung nach C aufgelöst.
Das ist keine besondere Magie drin. Einfach Schritt für Schritt umformen:
Edit: Mist, zu spät. Das kommt davon, wenn man die LaTeX-Formelsprache nicht auswendig kennt ;-)
Oh je und ich hab mir so den Kopf zerbrochen dabei. Vielen Dank jetzt ist es sehr logisch für mich :)
Bitte melde dich an um einen Beitrag zu schreiben. Anmeldung ist kostenlos und dauert nur eine Minute.
Bestehender Account
Schon ein Account bei Google/GoogleMail? Keine Anmeldung erforderlich!
Mit Google-Account einloggen
Mit Google-Account einloggen
Noch kein Account? Hier anmelden.


