Hi zusammen, habe eine Sinus Schwingung mit 3V positive Scheitespannung und 5V negativer SS. Um den Effektivwert auszurechnen hab ich ein Mittelwert der SS. gebildet (3+5)/2. Dann das Ergebniss durch wurzel(2) geteilt! Ist das Richtig, oder mach ich da grade einen Denkfehler Danke für die Hilfe Gruß P.S.
Das ist so nicht ganz korrekt, da es sich hier um eine Wechselspannung mit Gleichanteil handelt. Zu dem von dir bestimmten Wert, der den Effektivwert des gleichen Signals ohne Gleichanteil darstellt, muss man also noch ein Volt hinzuzählen; dann stimmts. Siehe auch Wikipedia ... ;) Gruß Konrad Heisig
Hi, @ Daniel Nöthen, Wie würdest du es rechnen ? Wie K. Heisig oder wie ich? Nach meiner Metohde kommt raus U=2,828V Nach der Methode von Heisig U=3,121V Wenn ich das richtig versanden habe wurde die negative Well um 2V verringert, dann hat man ne wunderbare gleichförmige Sinusschwinung mit peak 3V, da den U-eff Wert bestimmt. Dazu dann die restlichen 2V/2, also 1V drauf addiert. Richtig ?! klingt recht plausibel ;) Gruß P.S.
3V ist die Antwort. Veff=sqrt((1/2pi)*Integral_von_0_bis_2pi((4*sin(x)-1)^2)) =sqrt((1/2pi)*[9*x+8*cos(x)-4*sin(2x)] von_0_bis_2pi) =sqrt((1/2pi)*[(9*2*pi+8)-(8)])=sqrt(9)=3 Math rules! Vielleicht hab ich mich auch verrechnet. Cheers Detlef
die funktion deiner spannung ist: f(t) = -1 + 4*sin(t) der effektivwert berechnet sich zu (vereinfacht): eff = sqrt( (1/T) * integ( (-1V + 4V*sin(t))² , t, 0, T) ) = 3V bei einer gemittelten wäre es: eff = sqrt( (1/T) * integ( (4V*sin(t))² , t, 0, T) ) = 2,83V pumpkin
Hab mich doch nich verrechnet. War Halloween nich gestern? Cheers Detlef
bitte was? dein ergebniss ist selbstverständlich richtig (wenn meins auch richtig ist...) ; ) pumpkin
3V ist richtig! Mit was hast Du das Integral gerechnet, doch wohl nicht mit der Hand?! Ich mit Mathematica. 'Halloween' bezog sich auf Deinen Namen. Gute Nacht Detlef
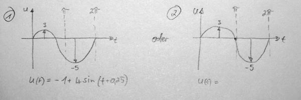
Hi, hab grade die Funktion mal ausprobiert. Sicht aber nicht so aus wie meine Schwingung -> Sinus.jpg Nummer 2 ist meine Schwingung. Gibst es noch andere Vorschläge ? :) Gruß P.S.
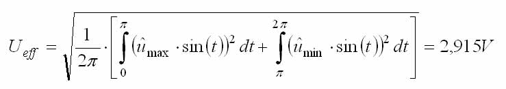
methode des scharfen ansehens: der effektivwert bedeutet vereinfacht betrachtet ja nix anderes, als die fläche unter der quadrierten funktion berechnen, dann auf die zeit normieren (quasi ein rechteck bilden) und aus diesem bumms die wurzel ziehen. ich hab das raus: fläche wave 1 = integ( (3V*sin(t))² , t, 0, PI) = 14,14V² fläche wave 2 = integ( (5V*sin(t))² , t, 0, PI) = 39,27V² wave 1 + wave 2 = 53,4V² normiert --> 8,5V² eff = sqrt(8,5V²) = 2,92V recht wenig, aber ich denke dass ich richtig liege - ich lasse mich aber gerne vom gegenteil überzeugen ^^ pumpkin
aso, und deine linke zeichnung ist nicht ganz korrekt . nur der form halber ; ) pumpkin p.s. wo bekommst du eigentlich diese seltsame funktion her?
Hi, konnte das Ergebnis von "pumkin" bestätigen. Siehe Anhang... Gruß P.S.
Bitte melde dich an um einen Beitrag zu schreiben. Anmeldung ist kostenlos und dauert nur eine Minute.
Bestehender Account
Schon ein Account bei Google/GoogleMail? Keine Anmeldung erforderlich!
Mit Google-Account einloggen
Mit Google-Account einloggen
Noch kein Account? Hier anmelden.


