Servus Zusammen,
ich möchte gerne die n-te Stelle von PI berechnen. Erzählt mir bitte
jetzt nicht, dass das niemand braucht (das tut eigentlich auch niemand)
- ich möchte es trotzdem tun. Da man ja für PI die vorgehenden
Dezimalstellen (inzwischen nur noch teilweise benötigt) bin ich auf
folgende Formel gestoßen. Ich wollte daher wissen, ob diese
a) so stimmt
und
b) meine Umformung folgender Maßen richtig ist.
gefundene Gleichung:
Summe k=0 bis Unendlich (1/16^k * (4/(8k+1) - 2/(8k+4) - 1/(8k+5) -
1/(8k+6))
Umgeformt siehe Anhang.
LaTeX Code nachdem das Forumsinterne nicht funktioniert (hier hab ich
math und /math schon weggelassen - []nicht vergessen:
\sum_{k=0}^{\infty}
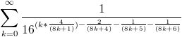
\frac{1}{16^{(k*\frac{4}{(8k+1)})-\frac{2}{(8k+4)}-\frac{1}{(8k+5)}-\fra
c{1}{(8k+6)}}}
bei http://www.codecogs.com/latex/eqneditor.php
Die Formel im Bild ist falsch. Da kommt irgendwas bei 11 heraus ...
1 | $ echo "`for ((i=0;i<20;i++)) ; do echo -n \"\`echo \\\"1/(16^$i)*(4/($i*8+1)-2/($i*8+4)-1/($i*8+5)-1/($i*8+6))\\\" | bc -l\`+\" ; done`0" | bc -l |
2 | 3.14159265358979323841 |
... Was rechne ich da eigentlich ... ? 1/(16^k)*(4/(k*8+1)-2/(k*8+4)-1/(k*8+5)-1/(k*8+6)) Ist die Formel, die Du hast ... 1/16^k * (4/(8k+1) - 2/(8k+4) - 1/(8k+5) - 1/(8k+6) Viel Spaß damit ! :-) Gruß Jobst
Jobst M. schrieb: > 1/(16^k)*(4/(k*8+1)-2/(k*8+4)-1/(k*8+5)-1/(k*8+6)) dann nehme ich wohl diese Gleichung. Umgeformt sieht Sie dann also so aus: siehe Anhang \sum_{k=0}^{\infty} \frac{1}{16^{k}*\left ( \frac{4}{(8k+1)}-\frac{2}{(8k+4)}-\frac{1}{(8k+5)}-\frac{1}{(8k+6)} \right )}
Dieser Ausdruck: Jobst M. schrieb: > 1/16^k * (4/(8k+1) - 2/(8k+4) - 1/(8k+5) - 1/(8k+6)) würde aber diese Reihe ergeben:
welche tatsächlich gegen PI zu konvergieren scheint.
Juhuuu perfekt - vielen Dank irgendwie mag ich's nicht wenn so wenige Klammern da sind =) Danke nochmal
jug schrieb: > welche tatsächlich gegen PI zu konvergieren scheint. Naja, mit
1 | $ echo "`for ((i=0;i<20;i++)) ; do echo -n \"\`echo \\\"1/(16^$i)*(4/($i*8+1)-2/($i*8+4)-1/($i*8+5)-1/($i*8+6))\\\" | bc -l\`+\" ; done`0" | bc -l |
Welches
entspricht, habe ich mit dem Ergebnis von 3.14159265358979323841 schon bewiesen, daß es gegen Pi konvergiert Lehrmann Michael schrieb: > Juhuuu perfekt - vielen Dank irgendwie mag ich's nicht wenn so wenige > Klammern da sind =) Soll ich noch ein paar einbauen? :-D Gruß Jobst
Jobst M. schrieb: > > entspricht, habe ich mit dem Ergebnis von > > 3.14159265358979323841 > > schon bewiesen, daß es gegen Pi konvergiert > Beweis durch ausprobieren? Die Technik kannte ich noch nicht ;)
Jobst M. schrieb: > habe ich mit dem Ergebnis von > 3.14159265358979323841 > schon bewiesen, daß es gegen Pi konvergiert Du liegst zwar richtig, ein Beweis ist das aber nicht ;-) Die Formel ist die BBP-Formel für Pi (http://de.wikipedia.org/wiki/Bailey-Borwein-Plouffe-Formel). In dem Wikipedia-Artikel ist auch (grob) beschrieben, wie man damit einzelne Stellen von Pi ausrechnen kann. Die Formel von Michael am Anfang des Threads ist wohl eher dadurch entstanden, dass irgendwo bei der Übertragung zwischen Literatur, ASCII und TeX eine Klammer verrutscht ist. Eine Formel für Pi ist das (auch die zweite Fassung, wo nicht mehr der ganze Kladderadatsch im Exponenten von 16 steht) jedenfalls nicht ;-) Andreas
Stimmt, ein Beweis im mathematischen Sinne ist das sicherlich nicht. Meinte ich auch nicht. Für einen mathematischen Beweis bin ich aber auch tatsächlich überfragt, wie man den für Pi erbringen könnte. Zumindest nähert sich die Zahl bei zunehmenden Iterationen der Zahl, die ich als Pi kenne. :-) Gruß Jobst
Bitte melde dich an um einen Beitrag zu schreiben. Anmeldung ist kostenlos und dauert nur eine Minute.
Bestehender Account
Schon ein Account bei Google/GoogleMail? Keine Anmeldung erforderlich!
Mit Google-Account einloggen
Mit Google-Account einloggen
Noch kein Account? Hier anmelden.

