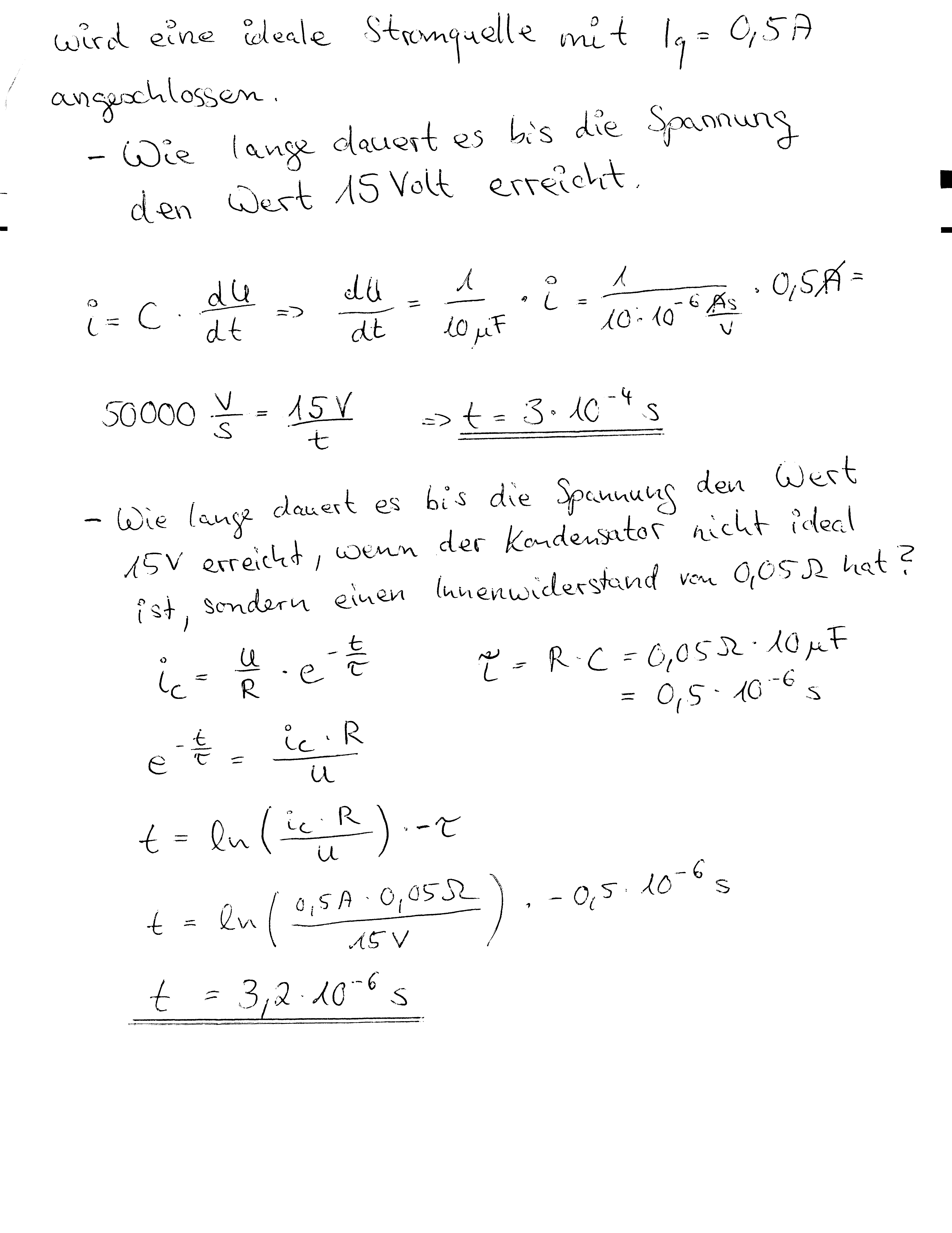
Hallo, ich schließe einen Kondensator von 10*10^-6 Farad an eine STROMQUELLE von 0,5 Ampere an. Einmal handelt es sich um einen Kondensator der ideal angenommen wird und einmal einen der einen Vorwiderstand von 0.05 Ohm hat. Ich habe die folgendes in einer Rechnung herausgebracht wie lange es dauert bis sich der Kondensator auf 15 Volt aufgeladen hat. Idealer Kondensator = 3 * 10^-4 Sekunden Kondensator mit Vorwiderstand = 3,2 * 10^-6 Sekunden Kann dieses Ergebnis stimmen, da ich dachte ein Kondensator mit Vorwiderstand braucht zum Aufladen immer länger als ein ideal angenommener?? oder ist es ein Irrtum im Zusammenhang mit der Stromquelle?
Wenn ein Kondensator ideal ist, dann nimmt man an, dass das Dielektikum einen unendlich hohen Widerstand hat. Real ist das eben nicht der Fall, darum entlädt er sich auch mit der Zeit. Das hat aber nichts mit dem Vorwiderstand zu tun. Lieben Gruß, Nico
Deine Rechnung ist falsch. Mit einer Idealen Stromquelle sind die Zeiten gleich. Der Widerstand erscheint in der Berechnung nicht. Gruss JensM.
Bitte präzisieren! Für IDEAL & REAL: Poste deine Berechnungen. Poste beide "Schaltpläne".
Gerd U. schrieb: > Idealer Kondensator = 3 * 10^-4 Sekunden > Kondensator mit Vorwiderstand = 3,2 * 10^-6 Sekunden Ein Kondensator mit Vorwiderstand wird niemals schneller voll als einer ohne Widerstand... :-o > Einmal handelt es sich um einen Kondensator der ideal angenommen wird C*U=I*t --> t = C*U/I = 10uF*15V/0,5A = 300us. > und einmal einen der einen Vorwiderstand von 0.05 Ohm hat. braucht genau gleich lang, denn es ist ja ein konstanter Strom!!! ABER: Wenn jetzt aber der Widerstand im Kondensator ist, dann wird beim Laden die Spannung an den Kondensatorklemmen zu dem Zeitpunkt 300us bereits um 0,05Ohm*0,5A höher sein, damit also 15,025V betragen. In diesem Fall müsstest du fragen: wie lange dauert es, diesen inneren Kondensator auf 14,975V aufzuladen? Dann wäre die Klemmenspannung tatsächlich 15V. Und diese Zeit ist um den Faktor 15/14,975 kleiner, also 299,5us.
Wie hast Du das gerechnet? Wenn Die Stromquelle nur 0,5A liefert hat der Widerstand von nur 0,05Ohm gar keinen Einfluss.
An einen idealen Kondensator C= 10 microFarad ... dannach Berechnung...
> Und diese Zeit ist um den Faktor 15/14,975 kleiner
Ja das kommt ja fast hin...
Nehmen wir mal den idealen Kondensator:
1 | __________ |
2 | | | |
3 | | o | o = Kondensatoranschlussdraht |
4 | | | | |
5 | | | | |
6 | ^ | | |
7 | I=0,5A === | Uc = 15V |
8 | | | | |
9 | | o V |
10 | |__________| |
Soweit alles klar? Gut, jetzt den realen mit seinen 2 Anschlussdrähten. Der Innenwiderstand ist, um seinem Namen gerecht zu werden, im Kondensator eingebaut:
1 | __________ |
2 | | | |
3 | | o | o = Kondensatoranschlussdraht |
4 | | | | |
5 | | - | |
6 | | Ri | | Uri= | |
7 | | | | 25mV | |
8 | | - | |
9 | ^ | | |
10 | I=0,5A Ci === Uci= | Uc = 15V |
11 | | | 14,975V | |
12 | | o V |
13 | |__________| |
Gerd U. schrieb: > Ja das kommt ja fast hin... Nur ist bei dir der Rechenweg im 2. Fall komplett falsch. Und 3,2us sind mitnichten 299,5us... :-o
Ein realer Kondensator hat einen "Parallel Widerstand" oder hab ich die Fragestellung falsch verstanden?
Nicolas M. schrieb: > Ein realer Kondensator hat einen "Parallel Widerstand" oder hab ich die > Fragestellung falsch verstanden? Mag sein, aber wieso ist der hier interessant? In den Datenblättern ist immer der ESR (Serienwiderstand) angegeben... BTW: Und wenn es so wäre, dass ein Parallelwiderstand gemeint wäre, dann würde die Antwort lauten: Er erreicht nie die 15V. Denn 0,5A*0,05Ohm ergeben 25mV. Und das wäre dann auch die maximale Spannung am Kondensator.
Ja okey alles verstanden, also ist eine Verwendung der e-Funktion wie sie bei Schaltvorgängen verwendet wird nicht erforderlich...
Gerd U. schrieb: > also ist eine Verwendung der e-Funktion wie sie bei Schaltvorgängen > verwendet wird nicht erforderlich... Nein, die ist nur bei konstanter Spannung und einem Widerstand anwendbar.
Bitte melde dich an um einen Beitrag zu schreiben. Anmeldung ist kostenlos und dauert nur eine Minute.
Bestehender Account
Schon ein Account bei Google/GoogleMail? Keine Anmeldung erforderlich!
Mit Google-Account einloggen
Mit Google-Account einloggen
Noch kein Account? Hier anmelden.
