Hallo, hier eine Knotengleichung aus dem Tietze/Schenk S. 137 Kollektorschaltung Mittels dieser sollte man imstande sein verschiedene Kenngrößen(ua/ue,re,ra) zu berechnen. Leider ist die Herleitung nicht angegeben und tue mich schwer diese Knotengleichung zu lösen Kann mir da jemand auf die Sprünge helfen? P.s.In diesem Buch sind mehrere Kleinsignalersatzschaltbilder mit Knotengleichungen und deren Lösung(ohne Herleitung)angegeben Nur selten bin ich imstande auf die richtige Lösung zu kommen Vielleicht gibt es ja Tricks diese einfach zu lösen?
Ich hab den Tietze/Schenk grad nicht zur Hand aber im Grunde ist die einzige Kunst jene, aus einer (Grund-)Schaltung das passende KSE-Bild "herauszuzeichnen" und prinzipiell den Zweck der KSE-Bilder zu verstehen. Dabei spielt es noch eine Rolle, welche Parameter verwendet werden (hier h-Param.) und welche Grundschaltungsart man gerade hat. Daraus lässt sich frei Hand mit Knoten/Masche recht simpel was machen. An deiner Stelle würd ich dieses Verständnis erst noch vertiefen, anstelle direkt die Formel da aus Ersatzschaltbildern herauszuerkennen. Liefere ein konkretes Beispiel, dann kann man weitersehen.
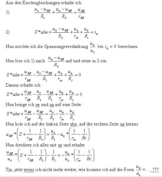
hm, die Knoten/Maschengleichungen aufzustellen ist nicht das Problem, sondern aus diesen die verschiedenen Größen wie Verstärkung, Eingangswiderstand, usw. zu berechnen. Im Anhang ein Beispiel...
Du fragst hier nicht ernsthaft nach einfacher Schulmathematik, oder? Wievieltes Semester? FH Dortmund?
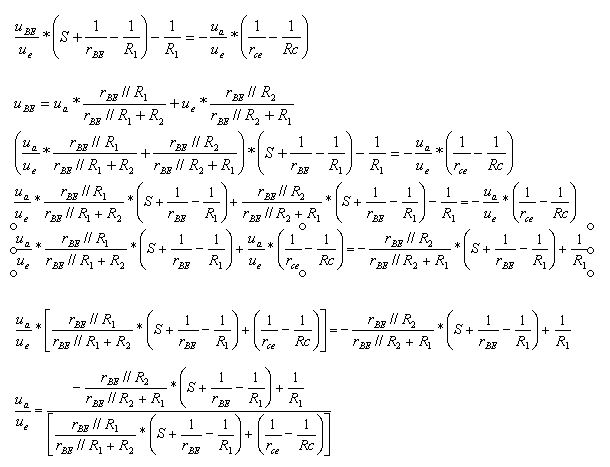
@Mehrwert Deine Kritik war unberechtigt. Du hast seine letzte Gleichung nicht angeschaut. Da fällt jetzt komplett Ue weg und damit ist dann erstmal Sense mit Ua/Ue. Der Fragesteller hat keine Probleme wegen fehlender Mathekenntnisse. Lösung: Als nächstes muss Ube mit etwas ersetzt werden was Ue enthält.
Tja hast recht, machbar aber mit viel Aufwand! Werde dies nachts probieren mit Spannungsteilerregel...danke
Tja, mit dieser Gleichung sollte es funktionieren, werde das morgen prüfen! Hm, bei diesen langen Gleichungen brauche ich manchmal einen Denkanstoss, verliere leicht den Überblick! +keine fh, htl...
Bitte melde dich an um einen Beitrag zu schreiben. Anmeldung ist kostenlos und dauert nur eine Minute.
Bestehender Account
Schon ein Account bei Google/GoogleMail? Keine Anmeldung erforderlich!
Mit Google-Account einloggen
Mit Google-Account einloggen
Noch kein Account? Hier anmelden.




