Habe mal einen Plan für einen Audio-Limiter gefunden. Frage 1: Taught die Schaltung was ? Frage 2 : Muss man diese "komische" Widerstandswerte nehmen ? 1K07,976 Ohm ??? Anmerkung Mod: Habe den Artikel wegen Copyright-Verletzung gelöscht. Es geht um diese Schaltung hier: http://www.elektor.de/jahrgang/2002/juli/audio-limiter.59148.lynkx
Thomas der Bastler schrieb: > Habe mal einen Plan für einen Audio-Limiter gefunden. > > Frage 1: Taught die Schaltung was ? Sieht interessant aus... > Frage 2 : Muss man diese "komische" Widerstandswerte nehmen ? > 1K07,976 Ohm ??? Eigentlich ist es absurd, Widerstände im Ohmbereich anzugeben, wenn schon der Bahnwiderstand des Umschalters deutlich grösser ist...
Bin gerade am überlegen ob ich die Schaltung zu meinem Amp nachbauen sollte.. Sowas könnte ich gut gebrauchen, wenn die Schaltung das macht was verspricht... PS: Mein Amp ist fast fertig, noch haufen Sachen sauber verkabeln, geht echt gut...smile...
Kann man standardwerte nehmen oder ist das Projekt zum sterben verurteil, wegen der Widerstände ?
Thomas der Bastler schrieb: > Kann man standardwerte nehmen oder ist das Projekt zum sterben > verurteil, wegen der Widerstände ? Wenn du dich bei der E24-Serie bedienst, dürfte es m.M.n. kein Problem darstellen. Im schlimmsten Fall ist halt der Schritt von einem Lautstärkepunkt zum nächsten nicht ganz linear. Doch das hört keiner raus...
muss mal schauen ob "angelika" diese Werte hat... Bin gerade dabei eine PCB malen, kann ich mal posten...
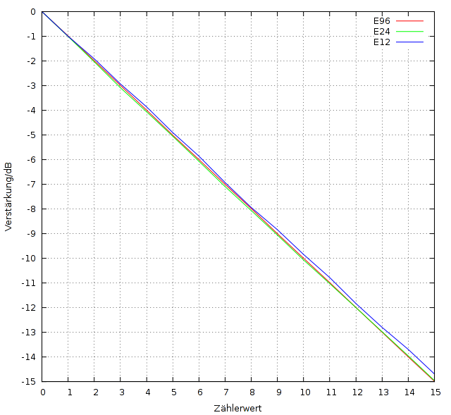
Thomas der Bastler schrieb: > Frage 1: Taught die Schaltung was ? Ich könnte mir vorstellen, dass man das Umschalten zwischen den diskreten Verstärkungsstufen bei genauem Hinhören als Störgeräusche wahrnehmen kann. Beim schnellen Herunterregeln würde sich dies als kurzer, leiser Pfeifton (1kHz, max. 15ms), beim anschließenden langsamen Hochregeln als leises Ticken (ca. 2Hz, max. 7,5s) bemerkbar machen. Vermutlich hört man diese Geräusche aber — wenn überhaupt — nur dann, wenn man sie wirklich hören will :) > Frage 2 : Muss man diese "komische" Widerstandswerte nehmen ? Nein, E96 ist übertrieben, E24 ist vollkommen ausreichend. Sogar mit E12 wirst du keinen Unterschied hören. Ich habe die Verstärkung mal für folgende drei Dimensionierungen geplottet:
1 | R2 R3 R4 R5 R6 R7 R8 R9 R10 R11 R12 R13 R14 R15 R16 R17 |
2 | R21 R22 R23 R24 R25 R26 R27 R28 R29 R30 R31 R32 R33 R34 R35 R36 |
3 | ———————————————————————————————————————————————————————————————————————————————————— |
4 | E96 1070 976 866 768 698 604 549 475 442 383 340 309 274 243 215 1780 |
5 | E24 1100 1000 910 750 680 620 560 470 430 390 330 300 270 240 220 1800 |
6 | E12 3300 2700 2700 2200 2200 1800 1800 1500 1200 1200 1000 1000 820 680 680 5600 |
Zwischen E96 und E24 sieht man fast keinen Unterschied, aber auch E12 ist noch in Ordnung. Die Widerstände müssen auch nicht eng toleriert sein. ±5% sieht man im Ergebnis kaum und hört sie erst recht nicht. Die einzelnen Schritte müssen ja nicht exakt 1dB sein. Sie müssen nicht einmal gleichgroß sein. Grob ungefähr ist in Ordnung. Such dir eine der drei Alternativen aus :) Lothar Miller schrieb: > Eigentlich ist es absurd, Widerstände im Ohmbereich anzugeben, wenn > schon der Bahnwiderstand des Umschalters deutlich grösser ist... Der spielt hier keine Rolle, weil der Ausgang des Multiplexers zum hochohmigen Opamp-Eingang führt.
> Taught die Schaltung was ? Ich befürchte, sie taugt nicht, man wird das takten hören. Üblich wäre +--> links out | li --10k--+--100k--+ | | LDR +--470k--+ | | | GND ------+--------(--|+\ | | | | >--+--(X)-- GND LDR +--|-/ | | re --10k--+--100k--+ | +--> rechts out Die Glühlampe bescheint beide LDR gleichmässig, der OpAmp ist stark genug die Glühlampe zu treiben, z.B: ein L272. Durch die Auswahl der Glüclampe bestimmt man die attac time, durch die Auswahl des LDR die decay time, üblich war LDR07 und eine 6V Kugelglühlampe. Zumindest ist die Schaltung einfacher und limitiert ohne Stufen, wenn die Quelle leuter wird, wird es auch am Ausgang noch leuter, aber nur minimal. Die Umsetzung des Musiksignals in RMS ist perfekt.
Und hier ist ein Klassiker, indem die Glühlampe-LDR Kombination durch Gleichrichter und FET ersetzt wurden: http://www.repeater-builder.com/projects/limiter.html Hat ne Clip Anzeige,die man aber weglassen könnte. Thomas der Bastler schrieb: > Frage 1: Taught die Schaltung was ? Ehrlich gesagt, sieht mir das wieder typisch nach Elektor Manie aus.
Ich hatte vor kurzem mal die Fast Limiter Schaltung vom Sound Westhost aufgebaut. Die Schaltung entspricht nicht was ich suche. Ich bräuchte mal "etwas" wo die sehr starke Dynamik, besonders bei Actionfilmen, Explosionen usw. auf ein normales Niveau senkt. Die oben genannte Schaltung hat bei geringe Lautstärken stark verzerrt.Also weg damit.
Dannn solltest du vllt. nochmal genauer definieren, was du suchst. Einen Dynamikkompressor oder einen Limiter? Beide Schaltungen (MaWins und die aus meinem Link) sind primär erstmal Limiter. Sie sprechen an, sobald die Glühlampe anfängt zu leuchten (der Gleichrichter anfängt, Ausgangsspannung zu produzieren) und regeln ab da den Verstärkungsgrad zurück. Die Elektorschaltung arbeitet eben bloss in Stufen, während die anderen beiden Schaltungen ab dann kontinuierlich abschwächen. Wenn du einen Aktivgleichrichter (ohne Schwellspannung) dazu benutzt, um einen VCA zu steuern, entsteht ein Dynamikkompressor, der über den gesamten Lautstärkebereich probiert, das Signal innerhalb eines bestimmten Dynamikbereiches zu halten. Bei beiden oberen Schaltungen ist es eine Frage der Dimensionierung, wie und mit welchem Effekt sie regeln (und welchen Frequnezgang sie haben. Die Schaltung aus meinem Link ist ursprünglich für Funk und da muss man eben ein bisschen rumbasteln dran). Dazu musst du vermutlich ein paar Experimente machen. Der Haken bei MaWins Schaltung ist leider die Beschaffung der LDRs. Die sind nicht mehr wie früher üblich in jedem Laden um die Ecke zu bekommen. Ansonsten ist das eine robuste, schön weich einsetzende Schaltung. In manchen Läden gibts nicht mal mehr passende Glühlämpchen (die man aber evtl. in einer TV Werkstatt als Videorekorder Ersatzteil bekommen kann oder aus Lichterketten ausbaut) Es gibt im Netz genügend Beispiele für Limiter und Kompressoren. Blätter da mal ein bisschen und definiere genauer, was du willst. Meiner Meinung nach ist eben die Elektorschaltung Quatsch, denn digitale ICs, vor allem wenn noch Flipflops mit dabei sind, schalten nun mal hart um. Das wird immer eine hörbare 'stufige' Dynamik ergeben.
Hallo Matthias, vielen Dank für die Erklärungen. Was ich suche, habe versucht zu deifinieren. Ich bräuchte mal "etwas" wo die sehr starke Dynamik, besonders bei Actionfilmen, Explosionen usw. auf ein normales Niveau senkt.
Also im normalen Bereich soll alles möglichst unverfälscht sein? Dann isses ein Limiter, was du suchst. Du musst allerdings einige Parameter beachten, bzw. anpassen - wie in jeder Schaltung. Dazu gehört der Eingangspegel deines Signals, Ansprechschwelle (Threshold), Reaktionszeit (Attack), Kompressionsfaktor und Abfallzeit (Decay). Ein guter Limiter ermöglicht dir Zugriff auf alle diese Parameter. Je niedriger du z.B. den Threshold einstellst, um so mehr wird aus dem Limiter ein Kompressor. In meinem Bassrack habe ich auch sowas, allerdings war es für mich einfacher und preigünstiger, einen fertigen Effektprozessor zu nehmen, bei mir den Digitech S-100. Den gibt es in der Bucht für wenig Mäuse und doch in Studioqualität. Viele moderne DSPs haben übrigens auch Limiter/Compression Module in der Bibliothek. Evtl. was für die Signalverarbeitung in deinem Wohnzimmer Amp?
Thomas der Bastler schrieb: > Ich bräuchte mal "etwas" wo die sehr starke Dynamik, besonders bei > Actionfilmen, Explosionen usw. auf ein normales Niveau senkt. Das nennst Du eine Spezifikation? Warum schreibe ich da bloß so viel in der Firma?
Matthias Sch. schrieb: > was für die Signalverarbeitung in deinem Wohnzimmer > Amp? Ja... xy ungelöst schrieb: > Das nennst Du eine Spezifikation? Kann ich leider nicht besser beschreiben. Was mich , besonders abends nervt, wenn wir z.B einen Actionfilm sehen, daß die Lautstärke so eingestellt ist, bei Dialogen, daß okay ist, dann kommt eine Explosion und die Boxen fligen durchs Fenster. Oder wenn im TV Werbung kommt, dann muss ich die Lautstärke wieder runter regelen...nervig...
Thomas der Bastler schrieb: > Oder wenn im TV Werbung kommt, dann muss ich die Lautstärke wieder > runter regelen...nervig... Du brauchst so etwas: http://www.amazon.de/Hama-00042542-Lautst%C3%A4rkebegrenzer-f%C3%BCr-TV/dp/B000CST66Y
Thomas der Bastler schrieb: > Oder wenn im TV Werbung kommt, dann muss ich die Lautstärke wieder > runter regelen...nervig... Wie wärs mit weniger Privatfernsehen? Mit dieser Art von Lautstärkenmanipulation haben sie mich gründlich vertrieben. Seit ich DVB-S habe, gibts soviel Alternativen, das mir unsere Burdas und Kirchs mal im Mondschein begegnen können. Von MTV mal ganz zu schweigen. Thomas der Bastler schrieb: >> was für die Signalverarbeitung in deinem Wohnzimmer >> Amp? > > Ja... Ich meinte, es wäre eine Überlegung wert, die Klangregelung und Dynamikverarbeitung in einen DSP zu verlegen. MC Steuerung hast du doch eh schon drin, warum nicht gleich die Equalizer und Limiter auch digital....
Matthias Sch. schrieb: > Mit dieser Art von > Lautstärkenmanipulation haben sie mich gründlich vertrieben genau deswegen hat Loewe vor 10 Jahren schon eine Automatik in die guten Kisten (19:9 /100Hz) verbaut. Ich will sie nicht mehr missen.
Das Angebot vom Amazon ist nicht schlecht aber...veraltet..wer hat schon Scart Anschluss ???? Scart IN- Audio out ??? Das Audiosignal kann ich vom Kabelreciever entweder über Chinch oder über Toslink in meinem AMP führen.
Matthias Sch. schrieb: > Ich meinte, es wäre eine Überlegung wert, die Klangregelung und > Dynamikverarbeitung in einen DSP zu verlegen. MC Steuerung hast du doch > eh schon drin, warum nicht gleich die Equalizer und Limiter auch > digital.... Weil die "Kiste" ist schon zu 95% fertig ist. Was ich noch gebrauchen könnte wäre eine "automatische Lautstärkeregelung". Am besten Audio In und Out über chinch.
Thomas der Bastler schrieb: > Das Angebot vom Amazon ist nicht schlecht aber...veraltet..wer hat schon > Scart Anschluss ???? Du hast genau so viel Ahnung von Elektronik wie ich vom Kühe melken. Veraltet? Die Platine ist genau das was Du brauchst. Du kaufst halb China auf um ein Amp hier vorzustellen und meinst der Level Limiter ist veraltet. Das einzige was veraltet sind, sind die Zellen im Hirn.
Thomas der Bastler schrieb: > Das Angebot vom Amazon ist nicht schlecht aber...veraltet..wer hat schon > Scart Anschluss ???? Ein Adapter von SCART auf RCA wirst du doch wohl hinkriegen :-P Allerdings schreit Toslink geradezu nach digitaler Signalverarbeitung, da muss dann auch nicht mehr so viel hin- und zurückgewandelt werden. Denk nochmal drüber nach, hehehe. Schau dir mal ADAU, Blackfin und Konsorten an. Leider gibts die TAS DSPs von TI nicht mehr bzw. sind abgekündigt, die waren dafür ideal.
Matthias Sch. schrieb: > Wie wärs mit weniger Privatfernsehen? Mit dieser Art von > Lautstärkenmanipulation haben sie mich gründlich vertrieben. Beim ZDF ist es mir aber auch schon extrem aufgefallen.
Die Elektor-Schaltung hat gegenüber rein analogen Limitern den Vorteil, dass sie das Signal innerhalb einer Vertärkungsstufe kaum verzerrt, da sie im Wesentlichen ein Spannungsteiler aus ohmschen Widerständen ist. Nachteilig sind die Störgeräusche beim Umschalten zwischen den Stufen. Man könnte aber statt der Multiplexer mit den diskreten Widerständen ein Digitalpoti oder einen multiplizierenden D/A-Umsetzer nehmen. Dann sind die Vertärkungsstufen zwar nicht mehr logarithmisch, sondern linear. Trotzdem sind die Stufen schon mit 8 Bit Auflösung wesentlich feiner als in der Elektor-Schaltung. Zudem ermöglicht dies einen deutlich größeren Dynamikbereich als 15dB, wobei dann allerdings im stark dämpfenden Bereich die Störungen wieder größer werden. Immerhin kann man ohne nennenswerte Schaltungsänderungen den günstigstens Kompromiss zwischen Dynamik und Störpegel finden.
Hallo! Es freut mich, daß Elektor jetzt seine Artikel zur Veröffentlichung freigibt. Endlich ein Lichtblick! Oder hast Du die Erlaubnis nicht? Dann wenigstens einen guten Anwalt oder viel Geld?
Route 66 schrieb: > Es freut mich, daß Elektor jetzt seine Artikel zur Veröffentlichung > freigibt. Endlich ein Lichtblick! Danke für den Hinweis. Der Artikel ist von Elektor nur gegen Bezahlung herunterladbar, deswegen habe ich ihn hier gelöscht.
Thomas der Bastler schrieb: > Habe ich auch im Netz gefunden..zu schnell gepostet ..(( Neee, nicht gelesen... Wenn Du was wirklich gutes machen willst, dann schau hier: http://www.thatcorp.com/Design_Notes.shtml Einziger Nachteil, Du musst lesen, da ich Dir nicht die richtige Seite posten werde mit welchem IC Du Deine Schaltung realisieren kannst. Schreibe bitte nicht, das es veraltet ist, ohne vorher zu verstehen was da gemacht wird.
Bitte melde dich an um einen Beitrag zu schreiben. Anmeldung ist kostenlos und dauert nur eine Minute.
Bestehender Account
Schon ein Account bei Google/GoogleMail? Keine Anmeldung erforderlich!
Mit Google-Account einloggen
Mit Google-Account einloggen
Noch kein Account? Hier anmelden.
