Hallo, ich würde gerne den Stromverbrauch meines Hauses kontrollieren und analysieren. Ich habe jetzt vor mir eine Eigenlösung zu bauen. Dazu will ich mir folgende HARDWARE zulegen: - 1 Raspberry PI Minicomputer - Analogkarten http://www.horter.de/i2c/i2c-analog-u/analog-u_1.html - Stromwandler http://www.csd-electronics.de/200/cgi-bin/shop.dll?SESSIONID=00631441446021199&AnbieterID=2 Den Anschluss der Stromwandler an die Analogkarte ist kein Problem. Der Anschluss der Analogkarte an den Raspberry PI über I2C-Bus ist auch kein Problem. Für die Konfiguration des I2C-Bus gibt es genügend Doku im Internet. Jetzt brauche ich noch ein Programm was mir über I2C-Bus die Werte der Analogkarte ausliest und in eine Datenbank (MYSQL) abspeichert. Weiß jemand wo ich ein passendes Programm finde oder hat einer einen Lösungsvorschlag? Gruß Manfred
Nur sicherheitshalber, wie hast Du vor, die Stromwandler an die Karte anzubinden? Du weißt, dass da Wechelstrom rauskommt, und dass da ein Ballastwiderstand dran muss? Und eine Schutzbeschaltung, und vermutlich auch eine Gleichrichtung mit OP, es sei denn Du wolltest die Wechselspannung abtasten? Wie soll das aussehen?
Manfred Bönsch schrieb: > Ich habe jetzt vor mir eine Eigenlösung zu bauen. Sparen, koste es was es wolle. Du wirst das sicherlich nicht billiger hinbekommen als ein fertiger Stromzähler.
> Du weißt, dass da Wechelstrom rauskommt, und dass da ein > Ballastwiderstand dran muss? Und eine Schutzbeschaltung, und vermutlich > auch eine Gleichrichtung mit OP, es sei denn Du wolltest die > Wechselspannung abtasten? Du hast vergessen, dass da je nach Wandlerverhältnis auch ein relativ hoher Strom über die Bürde fliesst. Ich bin ehrlich gesagt auch gespannt, was der Thread-Owner sich da ausgedacht hat, wie das mit der Analogkarte gehen soll!!
Michael schrieb: > Du hast vergessen, dass da je nach Wandlerverhältnis auch ein relativ > hoher Strom über die Bürde fliesst. Das muß ja ein mächtiger Strom sein, der an einem 100 Ohm Bürdewiderstand ein ganzes Volt abfallen läßt (Datenblatt AC1020 • 20 Amp Current Transformer). MfG Klaus
der 2te Link fuehrt zu einer Fehlermeldung: Abgelaufene Session Sehr geehrte(r) Shopbesucher(in), Ihre Shopsession ist abgelaufen: Wenn Sie länger als 300 Minuten inaktiv sind, dann wird das Shopsystem zurückgesetzt und der Warenkorb geleert. Verwenden Sie in diesem Fall die "Aktualisieren"-Funktion Ihres Browsers, um den Onlineshop neu aufzurufen. Alternativ können Sie auch auf unten stehenden Link klicken
Es gibt Hutschienezähler mit s0 Schnittstelle zur Datenerfassung. Google mal Gruss Bernd
Viele Digitalzähler haben eine Infrarotschnittstelle, welche kontaktlos und ohne Bastelarbeiten am Zählerkasten ausgelesen werden können. Lass dir vom energieversorger so einen einbauen Gruß Roland
Morjen, ich muss noch einiges erläutern. Für den Gesamtverbrauch habe ich schon vor Jahren einen digitalen Stromzähler eingebaut. Ich möchte aber jetzt den tatsächlichen Verbrauch der einzelnen Stromkreise erfassen. Der Kostenaufwand für die Hardware hält sich in Grenzen: -Raspberry PI 35 ca. 40€ -15 Stromwandler ca. 36€ -Bausätze für die Analogkarten ca. 64€ Plus Kleinmaterial. Das ganze ist also billiger wie 1 vernünftiger Drehstromzähler. Nur der Aufwand ist natürlich höher. Aber das Stört mich nicht. Nur das Programm für den PI macht mir noch was Kopfschmerzen. Damit steht oder fällt das Projekt. Gruß Manfred
fonsana schrieb: > der 2te Link fuehrt zu einer Fehlermeldung: > > Abgelaufene Session > Sehr geehrte(r) Shopbesucher(in), > > Ihre Shopsession ist abgelaufen: Wenn Sie länger als 300 Minuten inaktiv > sind, dann wird das Shopsystem zurückgesetzt und der Warenkorb geleert. > > Verwenden Sie in diesem Fall die "Aktualisieren"-Funktion Ihres > Browsers, um den Onlineshop neu aufzurufen. Alternativ können Sie auch > auf unten stehenden Link klicken Hier nochmal der Link http://www.horter.de/i2c/i2c-analog-u/analog-u_1.html
Manfred Bönsch schrieb: > Jetzt brauche ich noch ein Programm was mir über I2C-Bus die Werte der > Analogkarte ausliest und in eine Datenbank (MYSQL) abspeichert. Das nennt man dann programmieren. I2C ist auch nicht schlimm, das ist in jedem Datenblatt gut dokumentiert. Eine Datenbank dürfte dagegen haarig werden. Wozu willst Du überhaupt die Scheinleistung messen, die interessiert doch niemanden?
Michael schrieb: >> Du weißt, dass da Wechelstrom rauskommt, und dass da ein >> Ballastwiderstand dran muss? Und eine Schutzbeschaltung, und vermutlich >> auch eine Gleichrichtung mit OP, es sei denn Du wolltest die >> Wechselspannung abtasten? > > Du hast vergessen, dass da je nach Wandlerverhältnis auch ein relativ > hoher Strom über die Bürde fliesst. > > Ich bin ehrlich gesagt auch gespannt, was der Thread-Owner sich da > ausgedacht hat, wie das mit der Analogkarte gehen soll!! Also laut Datenblatt fließt bei 20A Eingangsstrom ein Strom von 20mA. An der 100 Ohm Bürde fällt dann ein Strom von 2V ab. Hier der Link zum Datenblatt: http://www.csd-electronics.de/data/pdf/AC1020.pdf
Peter Dannegger schrieb: > Manfred Bönsch schrieb: >> Jetzt brauche ich noch ein Programm was mir über I2C-Bus die Werte der >> Analogkarte ausliest und in eine Datenbank (MYSQL) abspeichert. > > Das nennt man dann programmieren. > I2C ist auch nicht schlimm, das ist in jedem Datenblatt gut > dokumentiert. > Eine Datenbank dürfte dagegen haarig werden. > > Wozu willst Du überhaupt die Scheinleistung messen, die interessiert > doch niemanden? Netter Hinweiß es sich um Programmieren handelt. Hatte ich mir auch schon so gedacht. Ich will auch nicht die Scheinleistung ermitteln, mich interessiert schon die Wirkleistung. Und die kann man ja problemlos über den gemessenen Strom berechnen.
Manfred Bönsch schrieb: > Also laut Datenblatt fließt bei 20A Eingangsstrom ein Strom von 20mA. > An der 100 Ohm Bürde fällt dann ein Strom von 2V ab. Nein. Es faellt eine SPANNUNG von 2V ab. Das ist allerdings Wechselspannung mit derselben Kurvenform wie am Eingang also ca. -2.8V..+2.8V. Das Bauteil aus dem Datenblatt ist nichts weiter als ein Trafo. Manfred Bönsch schrieb: > Und die kann man ja problemlos über den gemessenen Strom berechnen. Nein. Da spielt die Phasenlage zwischen Spannung und Strom mit rein. Deswegen gibt es dafuer Spezial-ICs. fonsana
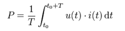
Manfred Bönsch schrieb: > Und die kann man ja problemlos über den gemessenen Strom berechnen. Nö. Der Strom alleine ergibt nur die Scheinleistung. Wirkleistung siehe Bild.
Peter Dannegger schrieb: > Manfred Bönsch schrieb: >> Und die kann man ja problemlos über den gemessenen Strom berechnen. > > Nö. > Der Strom alleine ergibt nur die Scheinleistung. > Wirkleistung siehe Bild. Formelzeichen Einheit Formel Formel Scheinleistung S VA S = U · I S = Wurzel(Q^2 + P^2) Wirkleistung P W P = U · I · cosφ = S · cosφ P = Wurzel(S^2 - Q^2) Blindleistung Q var Q = U · I · sinφ = S · sinφ Q = Wurzel(S^2 - P^2) Es geht also doch. Spannung nehme ich fest mit 230V an. Den Strom messe ich über den Wandler. Den cosφ von von induktiven Lasten steht eigentlich immer auf dem Typenblatt, aber davon habe ich nicht viele.
fonsana schrieb: > Manfred Bönsch schrieb: >> Also laut Datenblatt fließt bei 20A Eingangsstrom ein Strom von 20mA. >> An der 100 Ohm Bürde fällt dann ein Strom von 2V ab. > > Nein. Es faellt eine SPANNUNG von 2V ab. Das ist allerdings > Wechselspannung mit derselben Kurvenform wie am Eingang also ca. > -2.8V..+2.8V. Das Bauteil aus dem Datenblatt ist nichts weiter als ein > Trafo. > > Manfred Bönsch schrieb: >> Und die kann man ja problemlos über den gemessenen Strom berechnen. > > Nein. Da spielt die Phasenlage zwischen Spannung und Strom mit rein. > Deswegen gibt es dafuer Spezial-ICs. > > fonsana Danke für den Hinweis. Ich habe auch Spannung gemeint. Das es sich bei dem Bauteil nur um einen Trafo handelt ist mir egal, es genügt meinen Anforderungen.
Manfred Bönsch schrieb: > Scheinleistung S VA S = U · I S = Wurzel(Q^2 + P^2) > Wirkleistung P W P = U · I · cosφ = S · cosφ P = Wurzel(S^2 - > Q^2) > Blindleistung Q var Q = U · I · sinφ = S · sinφ Q = Wurzel(S^2 - > P^2) > > Es geht also doch. > Spannung nehme ich fest mit 230V an. > Den Strom messe ich über den Wandler. > Den cosφ von von induktiven Lasten steht eigentlich immer auf dem > Typenblatt, aber davon habe ich nicht viele. So wird das nichts. fonsana
Ich wollte mich eigentlich nicht über Schein- Blind- und Wirkleistung diskutiern. Meine Fragestellung war eine andere, die Diskussion geht ein weig am Thema vorbei. Für konkrete Hinweise bin ich sehr dankbar.
Manfred Bönsch schrieb im Beitrag #3071934: > Ich weiß nicht wie Du beurteilen willst ob ich die nötige Zulassung > > habe. > > Steht bereits oben: Du hast keine Zulassung als Elektriker in Deinem Bezirk. Hättest Du diese Qualifikation, dann wäre dies bereits von Dir geschrieben worden. Und in so einem Fall würdest du auch keine derarigen Murkslösungen einbauen wollen. Reicht dir dies als Nachweis für eine Beurteilung? Konntest Du dies kognitiv erfassen? > > Es wäre nett wenn Du dich wieder meldest wenn Du einen Lösungsvorschlag > > hast. Lösungsvorschlag: Lass es jemanden machen, der sowas einbauen darf und der Dir die dafür zugelassenen Komponenten einbaut. Und nicht so einen brandgefährlichen selbstbaumurks wie Du in vor hast einfrickelst. Namaste.
> Steht bereits oben: Du hast keine Zulassung als Elektriker in Deinem > Bezirk. > > Hättest Du diese Qualifikation, dann wäre dies bereits von Dir > geschrieben worden. > > Und in so einem Fall würdest du auch keine derarigen Murkslösungen > einbauen wollen. > > Reicht dir dies als Nachweis für eine Beurteilung? > Konntest Du dies kognitiv erfassen? Ich wusste nicht das man sich hier mit Gesellenbrief, Meisterbrief und Konzession bei VU anmelden muss. Tut mir echt leid. > > > >> >> Es wäre nett wenn Du dich wieder meldest wenn Du einen Lösungsvorschlag >> >> hast. > > > Und nicht so einen brandgefährlichen selbstbaumurks wie Du in vor hast > einfrickelst. > > > Namaste. Ist Unhöflichkkeit dein zweiter Nachname? Das einzig brandgefährliche sind deine Kommentare.
Manfred Bönsch schrieb: > Ich wusste nicht das man sich hier mit Gesellenbrief, Meisterbrief und > Konzession bei VU anmelden muss. Nein, muss man nicht. Wenn aber schon in dem fruehen Stadium Unkenntnis gepaart mit sich andeutender Beratungsresistenz sichtbar wird, kommen eben solche Kommentare. fonsana
fonsana schrieb: > Manfred Bönsch schrieb: >> Ich wusste nicht das man sich hier mit Gesellenbrief, Meisterbrief und >> Konzession bei VU anmelden muss. > > Nein, muss man nicht. Wenn aber schon in dem fruehen Stadium Unkenntnis > gepaart mit sich andeutender Beratungsresistenz sichtbar wird, kommen > eben solche Kommentare. > > fonsana Korrekt. Und eben diese bereits deutliche sichtbare Beratungsresitenz des TE macht klar, das hier nur von ihm rumgemurkst wird. Arbeiten in der Verteilung erfordern ein amtliche Qualifikation, und wer meint er kann das ignorieren muß halt damit rechnen das ihm das deutlich gesagt wird. Die Tatsache das eine Verteilung wegen seiens Murkses abgammeln kann und seine Hütte abflammt, ist ihm wohl gänzlich unbewußt. Mir tut es nur um die Feuerwehrleute leid, die für den b***hit solcher Leute ausrücken müssen. Die Versicherungen sind damit gänzlich entspannt, die regeln solche Fälle vom Schreibtisch nach Aktenlage. Klar, das sowas der TE nicht versteht. Namaste.
nimm so was und gut ist... http://www.ebay.de/itm/Stromzahler-PORTOFREI-Drehstromzahler-S0-LCD-20-80-A-fur-DIN-Hutschiene-/111019775829?pt=Mess_Pr%C3%BCftechnik&hash=item19d94b5755
Also die ganzen neunmalklugen Schlaumeier kotzen mich an. Nicht einer mit einer Antwort die annähernd was mit dem Thema zu tun hat. Anscheinend wird versucht einen Thread unsachgemäß zu zerreissen. Das ist mir zu blöd. Hackt euch weiter die Augen aus, aber ohne mich. Ich schließe hiermit den Thread und lösche meinen Account den ich erst gestern angelegt habe. Das ist euch doch recht oder? Gehabt euch wohl pev (aber Ihr wisst ja nicht was heißt) Könnt Ihr ja mal drüber diskutieren, aber nur wen Ihr die entsprechende Ausbildung habt.
Bitte melde dich an um einen Beitrag zu schreiben. Anmeldung ist kostenlos und dauert nur eine Minute.
Bestehender Account
Schon ein Account bei Google/GoogleMail? Keine Anmeldung erforderlich!
Mit Google-Account einloggen
Mit Google-Account einloggen
Noch kein Account? Hier anmelden.
