Hallo liebe Community, ich arbeite zurzeit an meiner Abschlußarbeit. Ich Studiere Elektrotechnik und brauche dringend Hilfe beim berechnen einer Z-Matrix eines Vierpols. Ich muss die Z-Parameter eines Vierpols berechnen. Z11 und Z22 ist kein Problem, allerdings weiß ich nicht wie ich Z21/12 berechnen soll? Z21 = U2/I1 wenn I2=0 ist Z12 = U1/I2 wenn I1=0 ist Ich kann mir das leider nicht vorstellen nnd weiß nicht was ich berechnen soll.
> ...Abschlußarbeit....Elektrotechnik > allerdings weiß ich nicht wie ich Z21/12 berechnen soll? Wo soll das nur hinführen.
Danke für die konstruktive Hilfe, genau was ich mir erhofft habe, Hohn. Anscheinend weißt du wie zu helfen ist, willst es aber nicht. Schade, dass ich unter deinem Niveau bin.
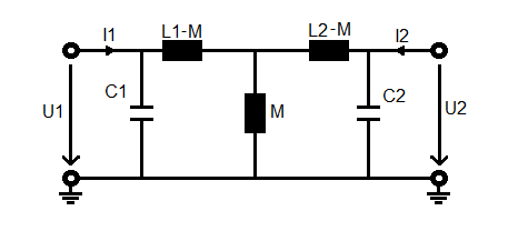
Philipp schrieb: > Z21 = U2/I1 wenn I2=0 ist > Z12 = U1/I2 wenn I1=0 ist Du nimmst den Strom I1 und berechnest die Spannung über C2, weil die rechte Seiten offen ist (I2=0). Für Z12 genau umgedreht. Ist das ein Trafo mit Resonanz-Caps?
Vielen Dank! Es geht in der Arbeit um magnetisch gekoppelte Systeme, die Energie im Nahfeld übertragen sollen. Das Ersatzschaltbild steht für die zwei Erregerspulen ohne Resonanzspule. Es soll untersucht werden, wie man die Übertragungsentfehrnung beeinflussen kann. Also in Bezug auf Qüte, Kopplungsfaktoren und Resonanzspulen.
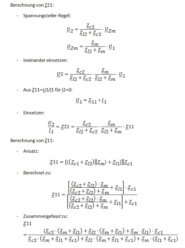
Ich habe mal Z21 und Z11 berechnet. Im Bild ist meine Vorgehensweise dargestellt. Kann man das so machen, oder habe ich Denkfehler drinnen?
Bitte melde dich an um einen Beitrag zu schreiben. Anmeldung ist kostenlos und dauert nur eine Minute.
Bestehender Account
Schon ein Account bei Google/GoogleMail? Keine Anmeldung erforderlich!
Mit Google-Account einloggen
Mit Google-Account einloggen
Noch kein Account? Hier anmelden.

