Hallo, Gegeben ist ein hinten geschlossener Zylinder, der mit der Winkelgeschwindigkeit w um die vordere Öffnung kreist. Wegen der Zentipedalkraft wird nun die Luft im inneren komprimiert. Die Themperatur beträgt immer 20°C, der Außendruck ist 1,0 bar. Gesucht ist der Druck in Abhängigkeit von r. Wie kann ich das lösen? Die Zentipedalbeschleunigung(r) ist ja kein Problem, aber das eine hängt irgendwie wieder mit dem anderen zusammen... Ich hab jetzt schon eine Weile rumgetüftelt aber komm nicht auf die Lösung! Hat wer eine Idee???
r ist der Radius Die Zentripetalbeschleunigung ist jetzt v² / r wobei v die Bahngeschwindigkeit ist. Mit der Winkelgeschwindigkeit rechnet man: w² * v (w=omega) Wenn man die Beschleunigung jetzt hat, kann man sich aus dem Gewicht der Luft im Rohr (spez. Gewicht * Volumen) die Kraft der Luft ausrechnen. Mit der äußeren Abschlußfläche des Rohres kann man mit F / A (Kraft / Fläche) den Druck ausrechnen. Ich hoffe, ich habe bei meinen Überlegungen keinen Fehler ;-)
Bernd S. schrieb: > Ich hoffe, ich habe bei meinen Überlegungen keinen Fehler ;-) Gegenüberlegung: Wenn das Rohr nicht zylindrisch ist, sondern ein Kegelstumpf mit der großen Kreisfläche nach außen, dann hängt der Druck, den du berechnest, nicht nur von der Winkelgeschwindigkeit ab, sondern auch von der Geometrie des Kegelstumpfes. Der Gedankengang ist also nicht richtig. Luft ist eben kein Festkörper ;-)
Uhu Uhuhu schrieb: > Gegenüberlegung: > Wenn das Rohr nicht zylindrisch ist, sondern ein Kegelstumpf mit der > großen Kreisfläche nach außen, dann hängt der Druck, den du berechnest, > nicht nur von der Winkelgeschwindigkeit ab, sondern auch von der > Geometrie des Kegelstumpfes. > > Der Gedankengang ist also nicht richtig. Luft ist eben kein Festkörper > ;-) Der Kegelstumpf hat doch auch ein Volumen, oder? Und mit dem Volumen hat man das Gewicht der Luft, stimmt's? Egal, was es für eine Form ist, das Volumen läßt sich immer ausrechnen. Bei komplizierten und unregelmäßigen Formen wird es nur schwieriger als bei Rohr oder Kegelstumpf. Und ich hatte ja auch nicht geschrieben, daß der Druck nur von der Winkelgeschwindigkeit abhängt. Mit dem Gewicht der Luft und der Zentripetalbeschleunigung kommt man auf die Kraft, und Kraft durch Fläche ist der Druck. Stimmt doch, oder? Abgesehen davon war in der Fragestellung tatsächlich von einem Rohr die Rede. Aber ich würde sagen, bei anderen Körpern funktioniert es genauso.
A Querschnitt, p Druck, d Dichte, w Winkelgeschwindigkeit Kräftebilanz: A*[p(r+dr)-p(r)] = A*dr*d(r)*r*w*w Bei idealem Gas und fester Temperatur ist d = K*p (Konstante K in Stoff-Tabelle nachschauen) => dp/dr = K*w*w*r*p => p = p0*exp(K*w*w*r*r/2) Schlagt mich nicht, wenn's nicht stimmt. Ist lange her, dass ich sowas zum letztenmal gerechnet habe.
Josef G. schrieb: > A Querschnitt, p Druck, d Dichte, w Winkelgeschwindigkeit > Sorry, jetzt muß ich nachfragen, damit ich es verstehe: > Kräftebilanz: A*[p(r+dr)-p(r)] = A*dr*d(r)*r*w*w Was ist r? Der Radius? Was ist dr? Was ist p(r) Was ist d(r) > > Bei idealem Gas und fester Temperatur ist d = K*p > (Konstante K in Stoff-Tabelle nachschauen) > > => dp/dr = K*w*w*r*p => p = p0*exp(K*w*w*r*r/2) Was ist dp und dr? Was ist p0? Was sagt die Konstante K aus? Welches ist die feste Temperatur? 20°C, oder 0°C? > > Schlagt mich nicht, wenn's nicht stimmt. Ist lange her, > dass ich sowas zum letztenmal gerechnet habe. Entschuldigung, aber um mit deinen Formeln etwas auszurechnen, sind mir da zu viele Fragezeichen :-) Könntest du das mal an einem Beispiel konkretisieren? Wenn man sieht, wie es in der Praxis angewendet wird, versteht man das besser... Und wenn du was von der Materie verstehst, wie sieht es mit meinem obigen Lösungsansatz aus? Stimmt das so? Würde mich mal interessieren.
Bernd S. schrieb: > Der Kegelstumpf hat doch auch ein Volumen, oder? > Und mit dem Volumen hat man das Gewicht der Luft, stimmt's? Gut, treiben wir die Bosheit noch etwas weiter: Der Kegelstumpf soll dasselbe Volumen und dieselbe Länge haben, wie das Rohr. Jetzt sollte es offensichtlich sein...
Bernd S. schrieb: > Was ist ... r = Radius = Koordinate dr = kleine Differenz zweier benachbarter Radien p(r) = Druck an der Stelle r d(r) = Dichte an der Stelle r dp = Druckdifferenz zwischen zwei benachbarten Radien p0 = Druck bei r=0, also an der Rohröffnung Temperatur: 20 Grad laut TO Zur Konstanten K siehe http://de.wikipedia.org/wiki/Boyle-Mariotte-Gesetz?title=Boyle-Mariotte-Gesetz&redirect=no
es ist ein gerader Zylinder mit der Querschnittsfläche A. Das Problem ist, auf dem Zylinder und somit der enthaltenen Luft wirkt die zentralbeschleunigung - Luft wird zusammengedrückt - neue Luft strömt nach - Masse im Rohr ist größer (und nichtmal gleich verteilt) - Druck wird höher. Da komm ich eben nicht weiter weil die Gleichung quasi sich selbst enthält. Ist das dann sowas wie eine DGL?
Uhu Uhuhu schrieb: > Bernd S. schrieb: >> Der Kegelstumpf hat doch auch ein Volumen, oder? >> Und mit dem Volumen hat man das Gewicht der Luft, stimmt's? > > Gut, treiben wir die Bosheit noch etwas weiter: > Der Kegelstumpf soll dasselbe Volumen und dieselbe Länge haben, wie das > Rohr. > > Jetzt sollte es offensichtlich sein... Du willst darauf hinaus, daß nicht das gesamte Volumen wirksam wird, sondern nur die Luftsäule, die über der Außenfläche steht (bis zum Rotationsmittelpunkt). Hm, das könnte so sein. Also müßte man die Außenfläche nach innen "projizieren", und wenn auf dem Weg bis zum Rotationsmittelpunkt sich der Körper verjüngt, muß an dieser Stelle integriert werden, damit das wirksame Volumen herauskommt. An der verjüngten Stelle wird ja nicht mehr der gesamte Querschnitt der Luftsäule wirksam. Aber bei dem Beispiel vom zylindrischen Rohr stimmst du mir zu, oder?
M. M. schrieb: > es ist ein gerader Zylinder mit der Querschnittsfläche A. > > Das Problem ist, auf dem Zylinder und somit der enthaltenen Luft wirkt > die zentralbeschleunigung - Luft wird zusammengedrückt - neue Luft > strömt nach - Masse im Rohr ist größer (und nichtmal gleich verteilt) - > Druck wird höher. > > Da komm ich eben nicht weiter weil die Gleichung quasi sich selbst > enthält. Ist das dann sowas wie eine DGL? Das stimmt. Um die Rekursion zu verstehen, ist es erstmal notwendig, die Rekursion zu verstehen :-) Um die Sache etwas zu vereinfachen, geh doch mal davon aus, daß der Zylinder, also das Rohr zu ist. Es kann also keine neue Luft nachströmen, das Volumen der Luft ist gegeben. Und jetzt bist du wieder dran :-)
M. M. schrieb: > neue Luft strömt nach So wie ich die Fragestellung verstanden habe, geht es um einen stationären Zustand. Da das Rohr am äusseren Ende geschlossen ist, strömt da nichts. > Ist das dann sowas wie eine DGL? Genau. dp/dr = Ableitung der Funktion p(r).
Zur Frage, welche Rolle die Form des "Zylinders" spielt http://de.wikipedia.org/wiki/Hydrostatisches_Paradoxon
Josef G. schrieb: > Zur Frage, welche Rolle die Form des "Zylinders" spielt > http://de.wikipedia.org/wiki/Hydrostatisches_Paradoxon Also ist nur die Beschleunigung, die Dichte und der Radius nötig. Das Volumen und/oder die Fläche können wir weglassen. Der Druck ist also:
Die Zentripetalbeschleunigung ergibt sich aus:
Also insgesamt:
Die beiden "r" kann man auch noch zusammenfassen, also:
Haben wir jetzt die Lösung?
Josef G. schrieb: > M. M. schrieb: >> neue Luft strömt nach > So wie ich die Fragestellung verstanden habe, geht > es um einen stationären Zustand. Da das Rohr am > äusseren Ende geschlossen ist, strömt da nichts. ich meinte natürlich nur das Luft solange nachströmt bis Kräftegleichgewicht hergestellt ist. zur gemeinheit könnte man ja noch ein 2,5mm großes Loch vorsehen ;-) Das mit der Kräftebilanz hab ich verstanden. Die Umstellung auch: p(r) = (1/K*w²*r)*(dp/dr), wobei (1/K*w²*r) Konstant ist ... nee schmarrn, r ja nicht und (dp/dr) ist ja die Ableitung von p(r). Aber wie kommt man da auf die Lösung?
Bernd S. schrieb: > Josef G. schrieb: >> Zur Frage, welche Rolle die Form des "Zylinders" spielt >> http://de.wikipedia.org/wiki/Hydrostatisches_Paradoxon > > Also ist nur die Beschleunigung, die Dichte und der Radius nötig. Das > Volumen und/oder die Fläche können wir weglassen. Es wäre so einfach wenn der Zylinder ein fester unkomprimierbarer Körper, bzw. Flüssigkeit wäre.
M. M. schrieb: > > Es wäre so einfach wenn der Zylinder ein fester unkomprimierbarer > Körper, bzw. Flüssigkeit wäre. Es geht doch nicht um den Zylinder, sondern um die Luft im Inneren. Kann man das nicht genauso berechnen? Eine (alte) Maßeinheit für den Luftdruck ist doch auch "Millimeter Wassersäule", hier wird doch auch die Höhe der Luftschicht und die Dichte (die wiederum von der Temperatur abhängt) genommen und man kommt auf den Luftdruck. Nur daß in unserem Beispiel nicht die Erdbeschleunigung mit 9,81m/s² maßgeblich ist, sondern die Zentripetalbeschleunigung. Die bewirkt ja, daß die Luft nicht in Richtung Erdboden, sondern im Rotationssystem nach außen beschleunigt wird. Sicherlich kann man da auch noch sagen, daß die Erdbeschleunigung ja auch noch wirkt und man könnte die Vektoren zwischen Erdbeschleunigung und Zentripetalbeschleunigung berechnen für jeden Punkt einer Umdrehung. Aber bei genügend hoher Drehzahl bekommt die Zentripetalbeschleunigung die Überhand gegenüber der Gravitation. P.S.: Oh mann, jetzt habe ich es erst geschnallt. Das Stichwort ist "unkomprimierbar", was du geschrieben hattest. Stimmt, dann ist die Luft bei Rotation außen dichter als innen. Du hast recht. Und mein Vergleich mit dem Luftdruck (mm Wassersäule) hinkt in dem Sinne, daß der Luftdruck sich immer auf eine bestimmt Höhenangabe bezieht. Und außerdem wird es ja noch komplizierter (grins), weil ja beim Luftdruck auch beides wirkt, die Gravitation und auch die Zentripetalbeschleunigung durch die Erddrehung. Das rechne ich aber heute abend nicht mehr aus :-)))
Nochmal zur Frage der Form des Rohres: Man betrachte statt des Rohres eine große Dose, welche in der Mitte ein Loch hat und um diese Mitte rotiert. Im Inneren seien Hindernisse ein- gebaut, die garantieren, dass sie Luft gleichmäßig mitrotiert. Dann strömt in der Dose nichts. Man kann also in der Dose beliebig geformte Trennwände einbauen, ohne dass sich etwas ändert, zB. also auch in der Form eines Rohres. Oder sehe ich da etwas falsch?
Das stimmt soweit, aber durch die Rotation verändert sich die Dichte der Luft. Außen wird sie dichter als innen. Der "Luftdruck" wirkt hier in Richtung des Radius und komprimiert die Luft dadurch. Und wenn die Luft außen dichter wird, stömt sie von innen her nach. In dem Sinne hat man dann schon eine Strömung. Es gibt ja ein Druck-Gefälle. Natürlich nur, so lange der Ausgleich stattfindet. Irgendwann stellt sich dann ein Gleichgewicht ein und es strömt nichts mehr.
M. M. schrieb: > Aber wie kommt man da auf die Lösung? Man bestätigt durch Einsetzen, dass die angegebene Lösung tatsächlich die DGL erfüllt. Aus mathematischen Sätzen folgt, dass es nur eine einzige Lösung gibt. Man hat also DIE Lösung. Wie man darauf kommt? Irgendjemand hat solange herumprobiert, bis er die Lösung gefunden hat. (Auch hier gilt: Oder sehe ich das falsch?)
Josef G. schrieb: > Wie man darauf kommt? Irgendjemand hat solange > herumprobiert, bis er die Lösung gefunden hat. Sag doch nicht "herumprobiert", das klingt so gewöhnlich. Die Lösung wurde durch Approximation gefunden! Das klingt doch viel besser, oder? :-)
Josef G. schrieb: > => dp/dr = K*w*w*r*p => p = p0*exp(K*w*w*r*r/2) Okay, also diese DGL kann man nicht irgendwie durch Umformen lösen?! Wo stehen diese "herausgefundenen" Lösungsformeln? In einer Formelsammlung die man dann für die Uni kauft? Und könntest du mir bitte erklären wie ich diese Lösung lese? Also ich will eig nur wissen was mit *exp() gemeint ist. Ist das der Exponent von p0? Aber bei Umgebungsluftdruck wäre das ja dann immer ein bar 1^x=1?
M. M. schrieb: > Und könntest du mir bitte erklären wie ich diese Lösung lese?
Ableitung bilden geht mit Kettenregel: Man differenziert die
Exponentialfunktion nach dem Exponenten (das reproduziert
die Exponentialfunktion) und multipliziert mit der Ableitung
des Exponenten nach r (das liefert den Faktor K*w*w*r).
Müsste also richtig sein.
> In einer Formelsammlung die man dann für die Uni kauft?
Vermutlich. Habe selber gerade keine parat und
kannte die Lösung aus meiner Erinnerung.
Viele Standard Loesungen wurden vor vielen Jahrzehnten gefunden, und bewiesen, durch fleissige und interessierte Leute. Die hatten damals keine Smartphones, die die Zeit bis zur letztn Sekunde absaugen
Okay, danke schonmal, jetzt verstehe ich schon viel mehr als vorher :-) Josef G. schrieb: > M. M. schrieb: >> Und könntest du mir bitte erklären wie ich diese Lösung lese? > Ableitung bilden geht mit Kettenregel: Man differenziert die > Exponentialfunktion nach dem Exponenten (das reproduziert > die Exponentialfunktion) und multipliziert mit der Ableitung > des Exponenten nach r (das liefert den Faktor K*w*w*r). > Müsste also richtig sein. Eins kapier ich trotzdem noch nicht: p0 ist ja der Umgebungsdruck? Bei r(0), oder? Wenn ich das dann ableite, so bleibt ja dieser Faktor erhalten? Also ich mein so: p = p0*exp(K*w*w*r*r/2) => p` = dp/dr = p0*exp(K*w²*r²/2) *K*w²*r Tut mir leid das ich nochmal frage, aber sowas hatten wir in der Schule nochnicht, aber ich will unbedingt den Druck wissen :-)
Okaaaay! Wie genial, wenn ich so ableite dann ist ja p0*exp(K*w²*r²/2) wieder p(r)!! Ich glaub ich habs endlich gerafft! Danke nochmals für die Hilfe!
Uhu Uhuhu schrieb: > Bernd S. schrieb: >> Ich hoffe, ich habe bei meinen Überlegungen keinen Fehler ;-) > > Gegenüberlegung: > Wenn das Rohr nicht zylindrisch ist, sondern ein Kegelstumpf mit der > großen Kreisfläche nach außen, dann hängt der Druck, den du berechnest, > nicht nur von der Winkelgeschwindigkeit ab, sondern auch von der > Geometrie des Kegelstumpfes. Uhublödsinn. Was für eine Einheit (SI) hat denn der Druck? Wie möchtest du darin die Geometrie des Behältnisses unterbringen? In der DDR hat man das im Unterricht gelernt, so etwa 7. Klasse. Der Druck unter einer Säule (Luft oder Flüssigkeit unter Krafteinfluss, also zum Beispiel Luft bei Gravitationskraft oder Luft bei Zentripetalkraft) ist uneingeschränkt unabhängig von der Form des Gefäßes. Gab auch schöne Bilder dazu in den Physik-Lehrbüchern. > Der Gedankengang ist also nicht richtig. Dein Gedankengang ist falsch.
Andi $nachname schrieb: > Uhublödsinn. Was für eine Einheit (SI) hat denn der Druck? Wie möchtest > du darin die Geometrie des Behältnisses unterbringen? Typisch für unsere Intelligenzbestie: Lesen kann er nicht, nur irgendwelche Fitzelchen aus dem Zusammenhang reißen und dann wieder um sich schlagen. Hauptsache, sein krankes Weltbild ist irgendwie gerettet... Tipp: Lies den Beitrag, auf den sich meiner bezieht - aber /mit Verstand/, so du denn über welche verfügst - und geh in dich, ehe du dich ein weiteres mal blamierst.
Uhu Uhuhu schrieb: > Andi $nachname schrieb: >> Uhublödsinn. Was für eine Einheit (SI) hat denn der Druck? Wie möchtest >> du darin die Geometrie des Behältnisses unterbringen? > > Typisch für unseren Psychopathen: Lesen kann er nicht, nur irgendwelche > Fitzelchen aus dem Zusammenhang reißen und dann wieder um sich schlagen. > Hauptsache, sein krankes Weltbild ist irgendwie gerettet... Warum? Er hat doch Recht! Ich war ja erst auch der Meinung, daß das Volumen eine Rolle spielt. Doch dann habe ich gesehen, daß das falsch ist. Der Druck ist nun mal definiert als "Kraft durch Fläche". Und da kommt es eben nicht auf das Volumen an, sondern auf welche Fläche die Kraft wirkt.
Bernd S. schrieb: > Uhu Uhuhu schrieb: >> Andi $nachname schrieb: >>> Uhublödsinn. Was für eine Einheit (SI) hat denn der Druck? Wie möchtest >>> du darin die Geometrie des Behältnisses unterbringen? >> >> Typisch für unseren Psychopathen: Lesen kann er nicht, nur irgendwelche >> Fitzelchen aus dem Zusammenhang reißen und dann wieder um sich schlagen. >> Hauptsache, sein krankes Weltbild ist irgendwie gerettet... > > Warum? Er hat doch Recht! Ich war ja erst auch der Meinung, daß das > Volumen eine Rolle spielt. Doch dann habe ich gesehen, daß das falsch > ist. Eben, es ist falsch. > Der Druck ist nun mal definiert als "Kraft durch Fläche". Und da > kommt es eben nicht auf das Volumen an, sondern auf welche Fläche die > Kraft wirkt. Genau, deshalb ist es vollkommen Schnuppe, welche Form das Behältnis (hier ein Rohr) hat. Das ist so, weil sich nach erreichen der Endwinkelgeschwindigkeit das Medium im Behältnis nicht mehr bewegt, also keine Strömungen vorhanden sind. Interessant wird es dann wieder, wenn im Inneren eine Strömung herrschen würde, da kommen wir dann mit Bernoulli, Venturi und richtig fetter Mathematik weiter. Aber der Aufgabensteller weiß schon, warum er das Rohr am anderen Ende verschlossen hat. Der Uhu wird jetzt gleich mit einem Haufen unsachlicher Ausreden kommen, um sein fundiertes Falschwissen zu kaschieren. Wetten!
Uhu Uhuhu schrieb: > Tipp: Lies den Beitrag, auf den sich meiner bezieht - aber /mit > Verstand/, so du denn über welche verfügst - und geh in dich, ehe du > dich ein weiteres mal blamierst. Es ist unnötig von deinem Unwissen abzulenken, deine Aussage war falsch, sie ist immer noch falsch und sie bleibt falsch. Aber so ist das eben, wenn man mal wieder keine Ahnung und davon auch noch zu viel hat. Du kannst ja mal http://de.wikipedia.org/wiki/Hydrostatischer_Druck anklicken. Musst nix lesen, es reicht das Bild mit den drei Gefäßen anzuschauen und nur den Bildtext zu lesen. Ja klar kannst du immer noch die Augen verschließen und das Gegenteil behaupten. Deine falsche Aussage wird aber auch nicht durch mehrfache Wiederholung wahrer!
Andi $nachname schrieb: > Uhu Uhuhu schrieb: >> Tipp: Lies den Beitrag, auf den sich meiner bezieht - aber /mit >> Verstand/, so du denn über welche verfügst - und geh in dich, ehe du >> dich ein weiteres mal blamierst. > > Es ist unnötig von deinem Unwissen abzulenken, deine Aussage war falsch, > sie ist immer noch falsch und sie bleibt falsch. Aber so ist das eben, > wenn man mal wieder keine Ahnung und davon auch noch zu viel hat. Ich lach mich schlapp...
Uhu Uhuhu schrieb: > > Ich lach mich schlapp... Dann bring doch einfach Argumente, die das Gegenteil beweisen. Wird dir doch nicht schwerfallen, oder? Die obige Zeile sagt doch nur, daß du keine Argumente hast. Ich hab's wenigstens eingesehen, daß ich am Anfang auf dem Holzweg war. Die Physik kann man eben nur ganz schlecht überlisten ;-) Ich will gerne diskutieren, aber nicht auf dem Niveau der obigen Zeile. Wenn du Beweise hast, daß wir uns irren, immer her damit. Aber bitte keine Beleidigungen. Aus dem Sandkastenalter sind wir doch raus, oder? ("du bist doof -- nein, du") Ist das eine Diskussion?
Bernd S. schrieb: > Dann bring doch einfach Argumente, die das Gegenteil beweisen. Wird dir > doch nicht schwerfallen, oder? Mit Leuten, deren erstes Wort in einem Beitrag Uhublödsinn ist, setze ich mich nicht weiter auseinander. Wenn der Herr nicht im Stande ist, zwei Beiträge im Kontext zu lesen und zu verstehen, dann ist er entweder böswillig oder heillos überfordert. Nach seiner Einleitung liegt nahe, daß beides zutrifft. > Die obige Zeile sagt doch nur, daß du keine Argumente hast. Du scheinst meine Argumente im Beitrag ganz oben verstanden zu haben - das war mein Ziel und das habe ich erreicht.
Uhu Uhuhu schrieb: > Du scheinst meine Argumente im Beitrag ganz oben verstanden zu haben - Da gibt es nichts zu verstehen, weil deine "Argumente" nur Wunschdenken und, das ist das Wichtigere, fundamental falsch sind. Du Ignorant müsstest ja nur mal das Bildchen mit den drei Behältern unter http://de.wikipedia.org/wiki/Hydrostatischer_Druck widerlegen. Kannst (das kommt von "können") du aber nicht!
Ihr beiden seid echt goldig. Keiner kann den Kürzeren ziehen von euch. Fast wie Kinder :-)
M. M. schrieb: > es ist ein gerader Zylinder mit der Querschnittsfläche A. Wie bereits mehrfach erwähnt ist das vollkommen egal, auch wenn es hier eine Person mir ganz viel keine Ahnung gibt, die das Gegenteil predigt. Du kannst auch eine Trompete oder einen Heizkörper rotieren lassen, solang die Länge (hier der Radius r) gleich ist. > Das Problem ist, auf dem Zylinder und somit der enthaltenen Luft wirkt > die zentralbeschleunigung - Luft wird zusammengedrückt - neue Luft > strömt nach - Masse im Rohr ist größer (und nichtmal gleich verteilt) - > Druck wird höher. Es erscheint mir offensichtlich, dass man das Problem der nicht-Gleichverteilung durch eine Integration über den Radius angehen können sollte. > Da komm ich eben nicht weiter weil die Gleichung quasi sich selbst > enthält. Ist das dann sowas wie eine DGL? Nur weil es kompliziert ist muss es keine DGL sein. Weshalb ich aber eigentlich schreibe: Ich würde die Aufgabe gern modifizieren. Das Rohr wird umgedreht, so dass sich das verschlossene Ende im Mittelpunkt befindet. Kann man im Mittelpunkt ein Vakuum erzeugen, wenn man das Rohr schnell genug dreht? Wenn nein warum nicht und wenn ja bei welcher Winkelgeschwindigkeit. Ich sage es geht nicht.
Andi $nachname schrieb: > Ende im Mittelpunkt befindet. Kann man im Mittelpunkt ein Vakuum > erzeugen, wenn man das Rohr schnell genug dreht? Wenn nein warum nicht > und wenn ja bei welcher Winkelgeschwindigkeit. Ich sage es geht nicht. Richtig. Kann auch nicht gehen, weil im Rotations-Mittelpunkt die Zentripetalbeschleunigung gleich Null ist...
Bernd S. schrieb: > Andi $nachname schrieb: >> Ende im Mittelpunkt befindet. Kann man im Mittelpunkt ein Vakuum >> erzeugen, wenn man das Rohr schnell genug dreht? Wenn nein warum nicht >> und wenn ja bei welcher Winkelgeschwindigkeit. Ich sage es geht nicht. > > Richtig. Kann auch nicht gehen, weil im Rotations-Mittelpunkt die > Zentripetalbeschleunigung gleich Null ist... Die Begründung hinkt aus meiner Sicht. Das wäre instabil und ich kann mir nun gerade irgendwie nicht vorstellen, dass es einen (infinitesimal kleinen) punktuellen Luftdruck gibt. Man müsste ja dann auch ausrechnen können, wie groß der Luftdruck in diesem Punkt ist. p0? Machen wir es einfacher: Wie sieht es denn dann am äußeren Ende des Rohrs aus? Oder wir modifizieren die Aufgabenstellung: Wir binden an das verschlossene Ende des Rohrs einen Bindfaden mit der Länge b und lassen das um das freie Ende des Bindfadens rotieren. Ich denke, dass das auch kein Vakuum ergibt (und damit auch nicht im rotierenden Zentrum). Die Antwort "Das Rohr reißt den Bindfaden ab." fällt nicht in die Lösungsmenge. Zur ursprünglichen Aufgabe: Ich habe den Eindruck, dass das noch viel komplizierter ist (es bleibt natürlich dabei, dass die Form des Behältnisses total egal ist). Der Druck im Inneren nimmt nach außen hin (nichtlinear) zu und die Dichte damit auch (nichtlinear). Wird das mit der o.g. Formel erfasst?
Andi $nachname schrieb: > (es bleibt natürlich dabei, dass die Form des Behältnisses total egal ist) Damit scheinst du echte Probleme zu haben...
>Der Druck im Inneren nimmt nach außen hin (nichtlinear) zu und die Dichte damit >auch (nichtlinear). Mal ein neuer Gedanke: Wenn man die barometrische Höhenformel anwendet, dann sollte man doch den Druck in Abhängigkeit des Abstandes vom Rohr errechnen können. Ob Erdbeschleunigung oder Zentrifugalbeschleunigung, beides bleibt Beschleunigung.
wolle g. schrieb: > Wenn man die barometrische Höhenformel anwendet, Die Erdbeschleunigung ist näherungsweise konstant. Die Zentrifugalbeschleunigung nimmt nach aussen zu.
Das ganze Ding ist eine Pfeife, die durch den Fahrtwind wie eine Panflöte angeregt wird. Zentrifugalkraft und Unterdruck durch den Fahrtwind (siehe Fixativspritze) addieren sich.
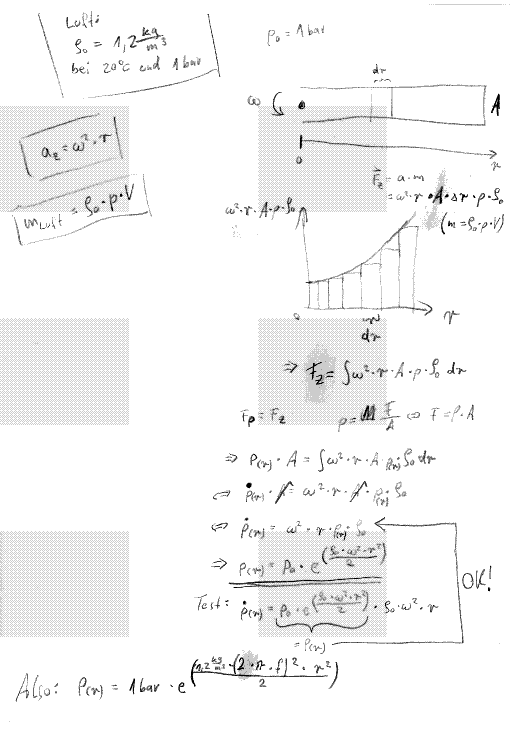
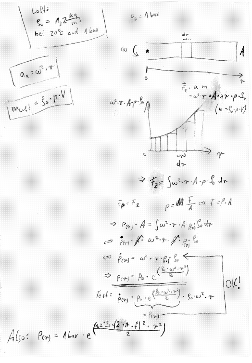
Andi $nachname schrieb: >> Da komm ich eben nicht weiter weil die Gleichung quasi sich selbst >> enthält. Ist das dann sowas wie eine DGL? > > Nur weil es kompliziert ist muss es keine DGL sein. soweit ich im allwissendem Internet (ok ich gebs zu, wiki) gelesen habe ist eine Differenzialgleichung eine Funktion, in derer eine Ableitung ihrer selbst vorkommt. Wie gesagt, wir haben das in der Schule nicht durchgenommen, aber ich lass mich ja gerne eines Besseren belehren. > Weshalb ich aber eigentlich schreibe: Ich würde die Aufgabe gern > modifizieren. Das Rohr wird umgedreht, so dass sich das verschlossene > Ende im Mittelpunkt befindet. Kann man im Mittelpunkt ein Vakuum > erzeugen, wenn man das Rohr schnell genug dreht? Wenn nein warum nicht > und wenn ja bei welcher Winkelgeschwindigkeit. Ich sage es geht nicht. Dazu will ich grad auch noch meinen Senf dazudrücken :-) Venturiprinzip oder so? Außerdem, definiere Vakuum. Ganz 0 kann der Druck wohl nicht werden, da Luft rausgedrückt wird, somit weniger Masse, somit stellt sich wieder ein neues Gleichgewicht ein. Vielleicht geht es wenn man bei fast 0 Druck einzelne Molekühle betrachtet, die dann natürlich schon noch rausgeschleudert werden, aber das ist ja nicht Sinn der Sache. Apropos Bindfaden! Um es mit Uhuuuuuuuuuuus Worten zu sagen: > Ich lach mich schlapp... Manchmal gibts echt geile Fragestellungen xD SCNR Ähm um nochmal zur Eingangsfragestellung zu kommen: Diese Gleichung ( p = p0*exp(K*w²*r²/2) ) würde ja sagen das ich z.B. bei einem 10cm langen Rohr und einer Umdrehungsfrequenz von 3 Hz bereits einen Druck von 8,4 bar hab. Das kanns doch irgendwie nicht sein?! Vorallem wenn man sich p(r) mal plottet und die exorbitante steilness xD des Funktionsgrafen ansieht. Ich hab dann alles nochmal nachgerechnet und überlegt (Siehe Anhang), fand aber keinen Fehler. Und das allerschärfste: Als ich heute meinen werten Physiklehrer fragte, sah er sich das kurz an und meinte wörtlich "das interessiert mich nicht und sollte sie in anbetracht der anstehenden Prüfungen auch nicht interessieren". Jaja soviel dazu, aber lassen wir das. Wenn also jemand einen Fehler findet wäre es nett mir zu sagen wie mans richtig macht.
Andi $nachname schrieb: > Ich würde die Aufgabe gern modifizieren. Das Rohr wird umgedreht, > so dass sich das verschlossene Ende im Mittelpunkt befindet. Die Formel
bleibt dieselbe, sofern man durch die Formgebung der Öffnung erreichen kann, dass keine Schwingungen auftreten (der Einwand von Uhu ist vermutlich berechtigt). Nur ist jetzt nicht p0 vorgegeben, sondern p bei r=rMax. Übrigens: Der Exponent hat die Einheit (kg/m^3)/(N/m^2)*(1/s^2)*m^2 und ist wegen N = m*kg*(1/s^2) tatsächlich dimensionslos. Andi $nachname schrieb: > Der Druck im Inneren nimmt nach außen hin (nichtlinear) zu und die > Dichte damit auch (nichtlinear). Wird das mit der o.g. Formel erfasst? Natürlich. Die Exponentialfunktion ist nicht nur selber nichtlinear, sondern der Exponent ist auch noch quadratisch. M. M. schrieb: > bei einem 10cm langen Rohr und einer Umdrehungsfrequenz von 3 Hz bereits > einen Druck von 8,4 bar hab. Das kanns doch irgendwie nicht sein?! Für K = d/p erhalte ich den Wert 0.012 (s^2)/(m^4), indem ich für d und p die Werte bei Normalbedingungen einsetze: d=1.2 kg/m^3 p=101.325 N/m^2 Mit w= 3*2*Pi/s und r= 0.1m erhalte ich für den Exponenten den Wert 0.0213, für die Exponentialfunktion den Wert 1.02 Das scheint mir ein plausibler Wert zu sein.
Josef G. schrieb: > Für K = d/p erhalte ich den Wert 0.012 (s^2)/(m^4), Korrektur: 0.012 (s^2)/(m^2)
Josef G. schrieb: > Für K = d/p erhalte ich den Wert 0.012 (s^2)/(m^4), indem > ich für d und p die Werte bei Normalbedingungen einsetze: > d=1.2 kg/m^3 p=101.325 N/m^2 Sorry nochmal. Der korrekte Wert für p ist 101325 N/m^2 Also K= 0.000012 s^2/m^2, damit Exponent =0.0000213 ---> Exponentialfunktion = 1.00002
Josef G. schrieb: > Also K= 0.000012 s^2/m^2 Also K=0.000012 s²/m ;-) Ich weiß jetzt wo mein Fehler liegt: Ich hab die Masse der Luft zuerst so ausgerechnet: d*p*V=m Aber Josef G. hat natürlich recht, so passts auch mit den Einheiten. Ich würde sagen Problem gelöst freu
Wenn ich also meinen Aussenläufer- Brushless Motor nicht festhalte, hebt er durch die Druckunterschiede (Zentrum/Aussen) ab und ich habe die "Reichsflugscheibe"(Wiki) neu aufgelegt?
M. M. schrieb: > Ich hab die Masse der Luft zuerst so ausgerechnet: d*p*V=m Nur um ein mögliches Mißverständnis auszuräumen: Das von dir im Zitat verwendete m steht ja wohl für Masse. Das von mir verwendete m steht für Meter. Mein Satz "Also K= 0.000012 s^2/m^2" müsste richtig sein. Dein "Also K=0.000012 s²/m ;-)" versteh ich nicht.
M. M. schrieb: > Andi $nachname schrieb: >> Weshalb ich aber eigentlich schreibe: Ich würde die Aufgabe gern >> modifizieren. Das Rohr wird umgedreht, so dass sich das verschlossene >> Ende im Mittelpunkt befindet. Kann man im Mittelpunkt ein Vakuum >> erzeugen, wenn man das Rohr schnell genug dreht? Wenn nein warum nicht >> und wenn ja bei welcher Winkelgeschwindigkeit. Ich sage es geht nicht. > > Dazu will ich grad auch noch meinen Senf dazudrücken :-) > Venturiprinzip oder so? Bei Venturi muss Strömung vorliegen, tut es aber nicht, wenn die Endwinkelgeschwindigkeit erreicht ist und der Druckausgleich erfolgt ist. > Außerdem, definiere Vakuum. Ganz und gar nüschts. > Ganz 0 kann der > Druck wohl nicht werden, da Luft rausgedrückt wird, somit weniger Masse, > somit stellt sich wieder ein neues Gleichgewicht ein. Genau das habe ich mir auch gedacht. Mathematisch würde mir sowas einfallen wie: Die Folge konvergiert zwar gegen Null, aber ihre Reihe nicht. Ich weiß es aber nicht! > Vielleicht geht es > wenn man bei fast 0 Druck einzelne Molekühle betrachtet, die dann > natürlich schon noch rausgeschleudert werden, aber das ist ja nicht Sinn > der Sache. Ja das ist die praktische Lösung, sozusagen wenn man Luft diskret betrachtet. Nun ist es aber nicht Ziel der Aufgabe, die verbleibenden Moleküle abzuzählen, sondern die Luft als nicht-diskretes Dings zu betrachten.
Josef G. schrieb: > Übrigens: Der Exponent hat die Einheit (kg/m^3)/(N/m^2)*(1/s^2)*m^2 > und ist wegen N = m*kg*(1/s^2) tatsächlich dimensionslos. Vertauschst du gerade Einheit mit Dimension? Ach ich sehe gerade, die Physiker sagen das tatsächlich so. Hätten sie mal besser Mathematik studiert, dann würden sie nicht so eine unpräzise Sprache verwenden ... BTW: In welcher Aufgabenstellung bzw. Lösung hat der Exponent denn jemals eine Einheit? Der MUSS doch immer ohne sein!
Also da muss mindestens eine Differntialgleichung rauskommen, da der Druck abhängig ist vom Gewicht der Luft, welches abhängig ist vom Druck... Es stellt sich am Ende immer ein Gleichgewicht zwischen Druck und Zentripedalkraft ein. Da der Druck aber im Rohr auch nicht konstant ist sondern sich über die Länge ändert ist es nicht trivial. Also ich kann das so auf Anhieb nicht rechnen.
Arsch Gwaf schrieb: > Also da muss mindestens eine Differntialgleichung rauskommen, da der > Druck abhängig ist vom Gewicht der Luft, welches abhängig ist vom > Druck... > > Es stellt sich am Ende immer ein Gleichgewicht zwischen Druck und > Zentripedalkraft ein. Dann müsste es ja eine Anfangs- oder Randbedingung geben, sost gäbe es kein Gleichgewicht (keine eindeutige Lösung). Wie formulieren wir diese AB oder RB? > Da der Druck aber im Rohr auch nicht konstant ist > sondern sich über die Länge ändert ist es nicht trivial. Also ich kann > das so auf Anhieb nicht rechnen. Ich auch nicht. Interessant ist das Thema trotzdem. Sollte man mal als Übungsaufgabe bei den Physikstudenten stellen.
Andi $nachname schrieb: > M. M. schrieb: >> Andi $nachname schrieb: >>> Weshalb ich aber eigentlich schreibe: Ich würde die Aufgabe gern >>> modifizieren. Das Rohr wird umgedreht, so dass sich das verschlossene >>> Ende im Mittelpunkt befindet. Kann man im Mittelpunkt ein Vakuum >>> erzeugen, wenn man das Rohr schnell genug dreht? Wenn nein warum nicht >>> und wenn ja bei welcher Winkelgeschwindigkeit. Ich sage es geht nicht. >> >> Dazu will ich grad auch noch meinen Senf dazudrücken :-) >> Venturiprinzip oder so? > > Bei Venturi muss Strömung vorliegen, tut es aber nicht, wenn die > Endwinkelgeschwindigkeit erreicht ist und der Druckausgleich erfolgt > ist. Tut sie doch: am rotierenden Ende. Auch wenn ein Gleichgewicht hergestellt ist, strömt die Luft an der Öffnung vorbei. Der Druck im Rohr ist halt dann beim nichtberücksichtigen des Venturieffektes niedriger als berechnet. Andi $nachname schrieb: > Arsch Gwaf schrieb: >> Also da muss mindestens eine Differntialgleichung rauskommen, da der >> Druck abhängig ist vom Gewicht der Luft, welches abhängig ist vom >> Druck... >> >> Es stellt sich am Ende immer ein Gleichgewicht zwischen Druck und >> Zentripedalkraft ein. > > Dann müsste es ja eine Anfangs- oder Randbedingung geben, sost gäbe es > kein Gleichgewicht (keine eindeutige Lösung). Wie formulieren wir diese > AB oder RB? Das ist ja P0, also der Umgebungsluftdruck. Josef G. schrieb: > Mein Satz "Also K= 0.000012 s^2/m^2" müsste richtig sein. > Dein "Also K=0.000012 s²/m ;-)" versteh ich nicht. K müsste ja Dichte pro Druck sein, also (kg/m³)/(N/m²) = ((Ns²/m)/m³)/(N/m²) = (s²/m²) ..... Okay überredet xD
M. M. schrieb: > Andi $nachname schrieb: >> M. M. schrieb: >>> Andi $nachname schrieb: >>>> Weshalb ich aber eigentlich schreibe: Ich würde die Aufgabe gern >>>> modifizieren. Das Rohr wird umgedreht, so dass sich das verschlossene >>>> Ende im Mittelpunkt befindet. Kann man im Mittelpunkt ein Vakuum >>>> erzeugen, wenn man das Rohr schnell genug dreht? Wenn nein warum nicht >>>> und wenn ja bei welcher Winkelgeschwindigkeit. Ich sage es geht nicht. >>> >>> Dazu will ich grad auch noch meinen Senf dazudrücken :-) >>> Venturiprinzip oder so? >> >> Bei Venturi muss Strömung vorliegen, tut es aber nicht, wenn die >> Endwinkelgeschwindigkeit erreicht ist und der Druckausgleich erfolgt >> ist. > > Tut sie doch: am rotierenden Ende. Auch wenn ein Gleichgewicht > hergestellt ist, strömt die Luft an der Öffnung vorbei. Der Druck im > Rohr ist halt dann beim nichtberücksichtigen des Venturieffektes > niedriger als berechnet. Stimmt, hab ich wieder was übersehen, ich habe tatsächlich nur die Strömung im Inneren betrachtet (beim Beschleunigen). Die Aufgabe wird ja immer schwerer zu lösen! Da ist die ursprüngliche Aufgabe, Öffnung im Mittelpunkt, ja wirklich "einfach".
Bitte melde dich an um einen Beitrag zu schreiben. Anmeldung ist kostenlos und dauert nur eine Minute.
Bestehender Account
Schon ein Account bei Google/GoogleMail? Keine Anmeldung erforderlich!
Mit Google-Account einloggen
Mit Google-Account einloggen
Noch kein Account? Hier anmelden.

