Forum: Offtopic Gleichung umstellen(Resonanz)


von Joe M. (jumper)


Lesenswert?

Hallo,
ich bin gerade am ausrechnen der Resonanz eines Schwingkreises.

Dabei weiß ich nicht wie ich folgendes nach Omega (w)auflöse..vielleicht 
kann mir ja jemand helfen!

Grüße jumper

von Hunt W. (hunt_work_er)


Lesenswert?

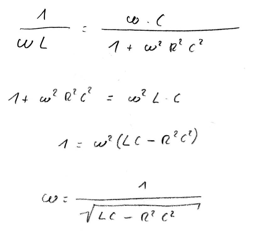
Wolfram alpha: "1/(ω*L)=ω*C/(1+(ω*R*C)^2) solve for ω"
Ergibt:
C^2 R^2!=C L and omega = ±1/sqrt(C (L-C R^2)) and L!=0

von Hunt W. (hunt_work_er)


Lesenswert?


von Joe M. (jumper)


Lesenswert?

Hunt Worker schrieb:
> http://www.wolframalpha.com/input/?i=1%2F%28%CF%89...


Danke...aber wie kommt man auf das Ergebnis?Rechenschritte?

von Kara B. (Firma: ...) (karabenemsi)


Lesenswert?

Brüche über Kreuz multiplizieren und die quadtratische Gleichung mit der
p-q-Formel lösen.

von Reinhard #. (gruebler)


Angehängte Dateien:

Lesenswert?

Kara Benemsi schrieb:
> quadratische Gleichung.....lösen.

Wo siehst du da eine quad. Gleichung?

von Kara B. (Firma: ...) (karabenemsi)


Lesenswert?

>Wo siehst du da eine quad. Gleichung

Sieh dir mal die Potenz von deinem Omega an. In der p-q-Formel wäre das 
der Spezialfall mit p = 0.

von Simon K. (simon) Benutzerseite


Lesenswert?

Reinhard ## schrieb:
> Kara Benemsi schrieb:
>> quadratische Gleichung.....lösen.
>
> Wo siehst du da eine quad. Gleichung?

Stimmt aber nicht.

x^2 = y, dann ist x= +/- sqrt(y)! Aber aus dem Kontext heraus wird die 
negative Lösung wohl nicht so wichtig sein :-)

Bitte melde dich an um einen Beitrag zu schreiben. Anmeldung ist kostenlos und dauert nur eine Minute.
Bestehender Account
Schon ein Account bei Google/GoogleMail? Keine Anmeldung erforderlich!
Mit Google-Account einloggen
Noch kein Account? Hier anmelden.