Guten Tag zusammen, könnte mir bitte jemand helfen diese Schaltung zu verstehen. Ich habe diese Schaltung bekommen, im Auftrag "links" ein PWM-Signal, in Form einer Recheckspannung draufzugeben. Am anderen Ende sollte dann eine einwandfreihe Sinusspannung herauskommen. Ich habe diese Schaltung dann aufgebaut, aber es kommt natürlich kein Sinus heraus. Nun will Ich verstehen warum das so ist. Kann es an falsch ausgerechneten Werten liegen, oder weil das Prinzip der Schaltung falsch aufgebaut wurde. (Rechteckspannung U=5V, Frequenz f=20kHz, Werte für Kondensatoren und Widerstände in der Schaltung) Würde mich freuen wenn Ihr mir helfen würdet!!
Hallo, Dan schrieb: > Guten Tag zusammen, > > könnte mir bitte jemand helfen diese Schaltung zu verstehen. > > Ich habe diese Schaltung bekommen, im Auftrag "links" ein PWM-Signal, in > Form einer Recheckspannung draufzugeben. Am anderen Ende sollte dann > eine einwandfreihe Sinusspannung herauskommen. > > Ich habe diese Schaltung dann aufgebaut, aber es kommt natürlich kein > Sinus heraus. mich interessiert, was denn raus kommt! Poste doch mal das Messergebnis! Vlg Timm
>könnte mir bitte jemand helfen diese Schaltung zu verstehen.
Was sagt die Simulation?
Kai Klaas schrieb: > Was sagt die Simulation? Genau. Hab zwar nichts simuliert, sieht mir aber wie ein Analogrechner-Oszillator aus. Wenn der TE nur ein TP-Filter zur PWM-Filterung braucht, warum nimmt er dann nicht ein aktives Sallen-Key-Filter (mit 2 OPV = 4., 5. oder sogar 6.Ordnung)? Das würde genau dies machen: > "links" ein PWM-Signal, in > Form einer Recheckspannung draufzugeben. Am anderen Ende sollte dann > eine einwandfreihe Sinusspannung herauskommen.
Hallo, dich habe es mal mit LTSpice simuliert. Es ist ein Sinus. Gruss Klaus.
Aber wenn ich diese Schaltung auf einer Platine aufgebaut habe dann funktioniert es nicht. Kann mir jemand sagen wie man auf die Differentialgleichung dieser Schaltung kommt?
Dan schrieb: > Aber wenn ich diese Schaltung auf einer Platine aufgebaut habe dann > funktioniert es nicht. Da musst du einen Fehler gemacht haben. Du musst natürlich die gleichen Bauteilwerte nehmen wie im Schaltplan. Im Anhang siehst du den simulierten Frequenzgang. Überall wo im Schaltplan 0V(blau) steht sollte auch in deiner Schaltung 0V sein, wenn du kein Signal anlegst. > > Kann mir jemand sagen wie man auf die Differentialgleichung dieser > Schaltung kommt? Das ergibt eine DGL 6. Ordnung. Klar kann man die aufstellen aber die könntest du dann eh nicht symbolisch lösen, es sei denn du bist Maple Anwender. Aber warum sollte man das machen? Das ist die bisher schlechteste Tiefpass-Schaltung die mir untergekommen ist. Das was die leistet kann man mit einem Sallen-Key Tiefpass-Filter 2. Ordnung mit der Hälfte der Bauteile erreichen. Wirf deine Schaltung weg und mach ein Sallen-Key Filter.
Kann mir jetzt doch noch jemand helfen auf die DGL dieser Schaltung zu kommen? Oder zumindest auf den Ansatz? wie geht man für die Berechnung vor?
>Das ist die bisher schlechteste Tiefpass-Schaltung die mir untergekommen >ist. Das was die leistet kann man mit einem Sallen-Key Tiefpass-Filter >2. Ordnung mit der Hälfte der Bauteile erreichen. Wirf deine Schaltung >weg und mach ein Sallen-Key Filter. Versteh doch: Das ist eine Schaltung für Ausbildungszwecke, die genügend idiotisch ist, daß der Schüler nicht sofort eine Lösung im Internet findet. >Kann mir jetzt doch noch jemand helfen auf die DGL dieser Schaltung zu >kommen? Oder zumindest auf den Ansatz? Ist doch ganz einfach: Du stellst für jeden OPamp die zugehörige Gleichung auf und verknüpfst die dann miteinander. Laß dir doch nicht helfen, sonst lernst du nix...
Wenn es für mich so leicht wäre, würde ich es bestimmt nicht in dieses Formun stellen. ;-) Also ich denke die zwei Opams sind zwei Integrierer? Was machen dann die zwei Widerstände R1 und R2 in der Schaltung und wie muss ich die miteinbeziehen? und was genau machen die zwei Kondensatoren C1 und C10? Danke schon mal für die Hilfe!!
>Also ich denke die zwei Opams sind zwei Integrierer? Mußt du die Diff-Gleichung für die gesamte Schaltung aufstellen, oder nur für die "wichtigen" Teile? >und was genau machen die zwei Kondensatoren C1 und C10? Gleichspannungen und Offsetspannungen blocken.
Hallo Dan, die Berechnung von Hand wäre sehr aufwendig. Deshalb habe ich die Sapwin die Formel berechnen lassen. (Muss aber dazu sagen, dass Sapwin manchmal eine Vereinfachung in der Formel übersieht und damit die Formel komplizierter wird als notwendig. Ich denke das war hier nicht der Fall.) Das ist die berechnete Übertragungsfunktion. Wenn man die Formel in LTspice eintippt, dann kommt tatsächlich der gleiche Frequenzgang heraus wie mit dem Schaltplan. Die minimal kleine Abweichung im Frequenzgang kommt von der endlichen Bandbreite der Opamps (GBW=10MHz) die im Schaltplan verwendet wurden. filterlab_1dB_20kHz_4grad.jpg wäre die Alternative. Im angehängten Text-File findest du eine besser formatierte Version der Formeln. Damit kannst du dann Matlab und Simulink quälen, falls das deine Absicht war. Gruß Helmut ( (C3*C1*R2*R4)*s^2 +(C5*C3*C1*R2*R4*R6 + C5*C3*C1*R2*R4*R5 + C6*C3*C1*R2*R4*R6)*s^3 +(C6*C5*C3*C1*R2*R4*R5*R6)*s^4 )/ ( 1 +(C1*R1 + C2*R2 + C3*R3 + C4*R4 + C5*R6 + C5*R5 + C6*R6)*s +(C2*C1*R1*R2 + C3*C1*R1*R3 + C4*C1*R1*R4 + C5*C1*R1*R6 + C5*C1*R1*R5 + C6*C1*R1*R6 + C3*C2*R2*R3 + C4*C2*R2*R4 + C5*C2*R2*R6 + C5*C2*R2*R5 + C6*C2*R2*R6 + C4*C3*R3*R4 + C5*C3*R4*R6 + C5*C3*R3*R6 + C5*C3*R3*R5 + C6*C3*R3*R6 + C5*C4*R4*R6 + C5*C4*R4*R5 + C6*C4*R4*R6 + C6*C5*R5*R6)*s^2 +(C3*C2*C1*R1*R2*R3 + C4*C2*C1*R1*R2*R4 + C5*C2*C1*R1*R2*R6 + C5*C2*C1*R1*R2*R5 + C6*C2*C1*R1*R2*R6 + C4*C3*C1*R1*R3*R4 + C5*C3*C1*R2*R4*R6 + C5*C3*C1*R1*R4*R6 + C5*C3*C1*R1*R3*R6 + C5*C3*C1*R1*R3*R5 + C6*C3*C1*R1*R3*R6 + C5*C4*C1*R1*R4*R6 + C5*C4*C1*R1*R4*R5 + C6*C4*C1*R1*R4*R6 + C6*C5*C1*R1*R5*R6 + C4*C3*C2*R2*R3*R4 + C5*C3*C2*R2*R4*R6 + C5*C3*C2*R2*R3*R6 + C5*C3*C2*R2*R3*R5 + C6*C3*C2*R2*R3*R6 + C5*C4*C2*R2*R4*R6 + C5*C4*C2*R2*R4*R5 + C6*C4*C2*R2*R4*R6 + C6*C5*C2*R2*R5*R6 + C5*C4*C3*R3*R4*R6 + C5*C4*C3*R3*R4*R5 + C6*C4*C3*R3*R4*R6 + C6*C5*C3*R3*R5*R6 + C6*C5*C4*R4*R5*R6)*s^3 +(C4*C3*C2*C1*R1*R2*R3*R4 + C5*C3*C2*C1*R1*R2*R4*R6 + C5*C3*C2*C1*R1*R2*R3*R6 + C5*C3*C2*C1*R1*R2*R3*R5 + C6*C3*C2*C1*R1*R2*R3*R6 + C5*C4*C2*C1*R1*R2*R4*R6 + C5*C4*C2*C1*R1*R2*R4*R5 + C6*C4*C2*C1*R1*R2*R4*R6 + C6*C5*C2*C1*R1*R2*R5*R6 + C5*C4*C3*C1*R1*R3*R4*R6 + C5*C4*C3*C1*R1*R3*R4*R5 + C6*C4*C3*C1*R1*R3*R4*R6 + C6*C5*C3*C1*R1*R3*R5*R6 + C6*C5*C4*C1*R1*R4*R5*R6 + C5*C4*C3*C2*R2*R3*R4*R6 + C5*C4*C3*C2*R2*R3*R4*R5 + C6*C4*C3*C2*R2*R3*R4*R6 + C6*C5*C3*C2*R2*R3*R5*R6 + C6*C5*C4*C2*R2*R4*R5*R6 + C6*C5*C4*C3*R3*R4*R5*R6)*s^4 +(C5*C4*C3*C2*C1*R1*R2*R3*R4*R6 + C5*C4*C3*C2*C1*R1*R2*R3*R4*R5 + C6*C4*C3*C2*C1*R1*R2*R3*R4*R6 + C6*C5*C3*C2*C1*R1*R2*R3*R5*R6 + C6*C5*C4*C2*C1*R1*R2*R4*R5*R6 + C6*C5*C4*C3*C1*R1*R3*R4*R5*R6 + C6*C5*C4*C3*C2*R2*R3*R4*R5*R6)*s^5 +(C6*C5*C4*C3*C2*C1*R1*R2*R3*R4*R5*R6)*s^6 )
@Dan Ich hatte vergessen dir das Sapwin-File anzuhängen damit du das auch nachvollziehen kannst. Sapwin berechnet die Übertragungsfunktion als Formel. http://cirlab.det.unifi.it/Sapwin/ Gruß Helmut
@Kai Klaas ich sollte erst mal die DGL für die zwei Opamps aufstellen und dann verknüpfen.
Tipp: Aus der Übertragungsfunktion in s kannst du direkt die DGL hinschreiben.
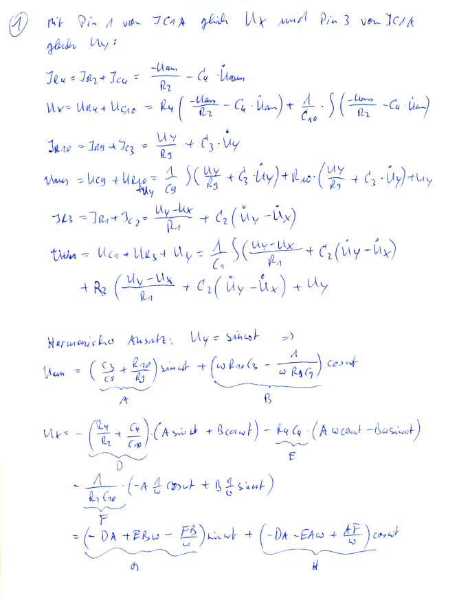
>ich sollte erst mal die DGL für die zwei Opamps aufstellen und dann >verknüpfen. Ich würde es so machen, wie in Anhang. Achtung, habe ich einfach nur hingekritztelt und nicht überprüft...
Ah ja, habe schon einen Fehler entdeckt. Aber du siehst jedenfalls, wie du vorgehen mußt.
So, hier die ganze Rechnung. Wieder auf die Schnelle und nicht auf Fehler überprüft. Aber du erkennst, wie ich das machen würde. Ob für dich der harmonische Ansatz Sinn macht, mußt du selbst entscheiden.
Waren natürlich noch zwei Fehler drinnen. So, jetzt müßte es stimmen.
Hallo Kai, wo bleiben die Oberwellen in deiner Formel? Das Eingangssignal ist ein Rechteck. Die Oberwellen werden zwar gedämpft, aber nicht vollständig. Mir ist immer noch nicht klar welchen Sinn es hat die DGL für diese Schaltung zu haben. Gruß Helmut
>wo bleiben die Oberwellen in deiner Formel? Oberwellen brauche ich aufgrund der Aufgabenstellung nicht zu berücksichtigen: >Ich habe diese Schaltung bekommen, im Auftrag "links" ein PWM-Signal, in >Form einer Recheckspannung draufzugeben. Am anderen Ende sollte dann >eine einwandfreihe Sinusspannung herauskommen. -> Eine "einwandfreie Sinusspannung" hat keine Oberwellen... >Mir ist immer noch nicht klar welchen Sinn es hat die DGL für diese >Schaltung zu haben. Um den Frequenzgang aufstellen und daraus den Tiefpaßcharakter des Filters ableiten zu können.
@Kai der Sinn von DGLs ist es nicht nur den steady state Zustand zu simulieren. Dafür kann man sich den Aufwand bei obiger Anwendung total sparen.
Das ist eine Schaltung für Schüler zum Lernen. Die sollen ja gerade die Diff-Gleichung aufstellen, unabhängig davon, ob es sinnvoll ist oder nicht...
Bitte melde dich an um einen Beitrag zu schreiben. Anmeldung ist kostenlos und dauert nur eine Minute.
Bestehender Account
Schon ein Account bei Google/GoogleMail? Keine Anmeldung erforderlich!
Mit Google-Account einloggen
Mit Google-Account einloggen
Noch kein Account? Hier anmelden.











