Hi! Ich steh gerade etwas auf dem Schlauch. Ich habe hier einen NTC-Temperatursensor, der eine stark nichtlineare Kurve aufweist. Prinzipiell ist es ja immer möglich, mit sowas akkurate Messungen zu machen (Wertetabelle geht immer, ist aber komplex zu messen). Kriegt man das Ding irgendwie linearisiert, so daß man die Temperatur aus einem ADC-Messwert berechnen kann? Ich habe mit dem Teil folgende Messungen durchgeführt: 0 Grad (20 Minuten in Eiswasser) ........: 5.660 Ohm 22 Grad (Zimmertemperatur) ..............: 2.322 Ohm 100 Grad (5 Minuten kochendes Wasser ....: 190 Ohm Das sieht extrem doof aus, im unteren Temperaturbereich ändert sich der Widerstandswert viel stärker als bei hohen Temperaturen. Wie kriegt man es nun hin, mit dem Ding einigermaßen genaue Messungen zwischen -40..+150 Grad zu schaffen?
Wie bei vielen nichtlinearen Dingen läßt sich die Temperaturabhängigkeit auch hier durch eine Gleichung beschreiben. Je nach dem, wie genau und über welchen Bereich man die Kurve braucht, kann man die tatsächliche Kurve durch eine unterschiedlich aufwändige Gleichung approximieren. Ein paar mehr als deine drei Messwerte wird man allerdings schon brauchen. http://de.wikipedia.org/wiki/Hei%C3%9Fleiter
Ich hätte kein allzu großes Problem damit, eine Wertetabelle von 100..0 Grad zu erzeugen. Da nehme ich einen µC mit einem bekannten Temperaturfühler oder einem direktabbildenden Sensor und mache alle 0.1 oder 0.5 Grad eine Widerstandsmessung. Das Problem dabei ist, daß ich über diesen Bereich hinaus will. -40 Grad und 150 Grad als Endpunkte lassen sich aber nur schwer erzeugen, um dort Messungen vorzunehmen. Die 150 Grad schaff ich vielleicht noch mit Öl anstatt Wasser, aber die -40 ist ziemlich arschkalt. :)
magic smoke schrieb: > aber die -40 ist ziemlich arschkalt. :) Ich mache hier öfters Niedertemperaturtests bis auf -40°C, wenn ich unbedingt muss kann ich auch -65°C oder -80°C in einem jeweils anderen Kühlaggregat erreichen, aber für die Geräte und Akkus reichen die -40°C aus. Ich wollte das eh mal mit meinen 220kOhm NTCs ausprobieren wie da die Kurve aussieht.
magic smoke schrieb: > Das Problem dabei ist, daß ich über diesen Bereich hinaus will. Wenn du eine vernünftige Gleichung zur Beschreibung deines Sensors hast, kannst du die natürlich auch außerhalb des Kalibrierbereichs verwenden. Du mußt nur sicher sein, dass sich die Gleichung auch außerhalb deiner Stützstellen anständig benimmt. Z.B. wäre ein einfaches Polynom dritten oder höheren Grades eine schlechte Wahl, weil es nicht die Physik des Sensors beschreibt und zwischen/außerhalb der Kalibrierpunkte argen Mist machen kann. Wenn du keine ausreichende Kalibriermöglichkeit besitzt, solltest du einen bereits kalibrierten Sensor verwenden. Das Datenblatt des Herstellers sollte dir die Kurve verraten. Bei dem Temperaturbereich würde man allerdings meist zu einem PT100 greifen, den es in verschiedenen Genauigkeitsklassen mit passenden (weil normierten) Signalaufbereitungsmodulen fertig zu kaufen gibt. -40°C und 150°C dürften bei den meisten NTC allerdings schon außerhalb des spezifizierten Betriebstemperaturbereichs liegen.
Jo, wahrscheinlich wird es wohl auf einen PT100 oder besser gleich einen direktmessenden Sensor hinauslaufen, den ich dann in das benötigte Gehäuse einkleben muß. Nicht toll, aber mal sehen wie brauchbar die Ergebnisse damit werden. Ansonsten hab ich mir gerade mal ein kurzes Programm für einen Bruteforce-Angriff auf die Kurve ausgehend von Rx bei -50 Grad bis R~190 bei 100 Grad geschrieben... Bis jetzt aber noch nichts gefunden, was auch nur an zwei der Punkte auf 5% drankommt. Steht also in den Sternen ob das was bringt.
Nee das nutzt mir nicht so viel. Kann doch eigentlich nicht so schwer sein, eine Kurve in der Form 1/x zu zeichnen, die alle drei Punkte schneidet. Leider hab ich kein Programm was sowas kann und auch keine besonders große Lust mich da reinzuarbeiten. Eher schmeiß ich die NTCs weg und besorg mir nächste Woche fertige Temperaturfühler, die bekannte und lineare Werte ausspucken können.
Es gibt eine recht brauchbare Standardformel für NTCs. Für eine noch bessere Näherung gibt es die Steinhart-Hart Gleichung. R = R25*e^(1/(T+Tk) -1/(25+Tk) R25=2k B=2800 Tk=273.15 Wenn du ein Datenblatt hast, dann steht der typische Wert für B da drin. Außerdem ist da eine Tabelle drin. Die ist natürlich noch genauer. Hast du die 100°C mit kochendem Wasser gemessen? Hoffe nicht, denn 100°C gibt es da nur auf Meereshöhe.
magic smoke schrieb: > Kann doch eigentlich nicht so schwer sein, eine Kurve in der Form 1/x zu > zeichnen, die alle drei Punkte schneidet. Der normale Weg ist: Die Wertetabelle aus dem Datenblatt verwenden. Eine Interpolationskurve mit 5 Grad Stützstellen aufsetzen die aus der Eingangsspannung (mit entsprechendem Pull-up) die Temperatur ausgibt. NTCs lassen sich nicht über einen soo großen Bereich einfach linearisieren. Gruß Anja
Mike schrieb: > Wenn du eine vernünftige Gleichung zur Beschreibung deines Sensors hast, > kannst du die natürlich auch außerhalb des Kalibrierbereichs verwenden. > Du mußt nur sicher sein, dass sich die Gleichung auch außerhalb deiner > Stützstellen anständig benimmt. Woran erkennst du ob eine Gleichung "vernünftig" ist und sich "anständig" verhält? Extrapolation ist ein riskantes Geschäft.
magic smoke schrieb: > Ich hätte kein allzu großes Problem damit, eine Wertetabelle von 100..0 > Grad zu erzeugen. Da nehme ich einen µC mit einem bekannten > Temperaturfühler oder einem direktabbildenden Sensor und mache alle 0.1 > oder 0.5 Grad eine Widerstandsmessung. > > Das Problem dabei ist, daß ich über diesen Bereich hinaus will. -40 Grad > und 150 Grad als Endpunkte lassen sich aber nur schwer erzeugen, um dort > Messungen vorzunehmen. Die 150 Grad schaff ich vielleicht noch mit Öl > anstatt Wasser, aber die -40 ist ziemlich arschkalt. :) Ich habe mal eine Messreihe bis 200 Grad gemacht: 1-2kg Kies in einen Kochtopf und auf 200 Grad erhitzen, dann während des Abkühlens ständig mitschreiben. Die Kiesel haben eine große Masse, damit haben das Vergleichsthermometer und das Messobjekt recht gut dieselbe Temperatur und die Abkühlkurve ist dadurch recht langsam und man kann gemütlich protokollieren. Evtl kann man so auch einfach auf -20 Grad kommen - mit dem Gefrierschrank.
Trag mal deine gemessenen Wertepaare in eine Excel-Tabelle ein. Dann ein Diagramm daraus machen, die Trendlinie anzeigen lassen, dann die Trendlinie anklicken, Trendlinie formatieren, dann bei Optionen die "Gleichung im Diagramm darstellen" lassen. So müßtest du zu einer passenden Gleichung kommen.
Conny G. schrieb: > Evtl kann man so auch einfach auf -20 Grad kommen - mit dem > Gefrierschrank. Auf diese Temperatur kommst du leicht mit jedem Gefrierwürfel. Meinen Gefrierwürfel habe ich modifiziert, er besitzt jetzt keine analoge Regelung mehr da diese sehr ungenau war. Nun besitzt der Würfel einen Temperatursensor, einen Triac + MOC, einen Lüfter und eine kleine Platine mit Tastern um die Soll- und Ist-Temperatur einzustellen und ein LCD um sie abzulesen. Bei -40°C läuft er aber ständig da das Kältemittel in dem Bereich nicht mehr effizient arbeiten kann, auch bei verschiedenen Umgebungstemperaturen (0°C bis 20°C) erreiche ich keine andere Temperatur als ca. -41,5°C. Die Wärme würde ich also schon wegbekommen nur das Kältemittel geht scheinbar ab diesem Punkt nicht mehr in den gasförmigen Zustand.
ernst oellers schrieb: > Woran erkennst du ob eine Gleichung "vernünftig" ist und sich > "anständig" verhält? Extrapolation ist ein riskantes Geschäft. Eben - deshalb explizit die Warnung for einfachen Polynomen. Wenn die Gleichung die Physik des Sensors richtig beschreibt und sich z.B. hinter den Koeffizienten nur Materialkonstanten oder Geometrieparameter des Sensors verbergen, ist die Gefahr, dass die Gleichung beim Extrapolieren in den Wald läuft, kräftig reduziert. Und erkennen, ob die Gleichung Mist baut, tut man praktisch recht gut, wenn man für die Parameterbestimmung von den vorhandenen Kalibrierpunkten probehalber nur so viele, wie zur Lösung unbedingt notwendig verwendet und prüft, ob die nicht genutzen Kalibrierpunkte trotzdem durch die Gleichung gut getroffen werden (Subsampling). Insbesondere, wenn man für die Approximation die gemessenen Endpunkte weg läßt und die Kurve trotzdem ihren Verlauf (bis auf Meßfehler) nicht ändert, sieht es schon mal - abgesehen von mathematischen Betrachtungen zur Fehlerempfindlichkeit beim Fit - recht praxistauglich aus.
@Mike Gut formuliert, gratuliere. Polynome sind hinterhältig, das ist auch meine Erfahrung. Ich hatte mal eine Thermoelementkennlinie mit Polynomen verschiedenen Grades modelliert. Die Ergebnisse der Interpolation waren sehr schön, aber bei schon geringer Extrapolation wurde es richtig häßlich.
Naja. Ich glaub ich feuer die Dinger in den Müll bzw. mach mir Gedanken wie ich das originale Gehäuse ausräume (evtl. ausbohren) und dann einen LM75 oder so (den habe ich noch hier) da reinklebe. Problematisch wird dann wieder ein guter Wärmeübergang. ;-( Ich hab auch kein gutes Vergleichsthermometer, das müßte ich auch erst bauen, um die Wertetabelle während eines Abkühlvorganges loggen zu können. Es muß aber nicht so ultra-genau sein, wenn ich auf 2 Grad an die "echte" Temperatur herankomme, dann würde das reichen. Ich hab auch keine weiteren (bekannten) Temperaturfühler hier, bis auf einen einzigen besagten LM75. Klar, noch diverse schwarze Kleckse auf meinen Teilespender-Platinen an diversen Kühlkörpern, aber die sind genauso unbekannt wie die Dinger, mit denen ich es zuerst probiert hab.
Um eine math. Funktion aus Stützstellen zu erhalten, ist das nachstehende Programm gut geeignet: Beitrag "PolynomMaker - Funktion für nichtlineare Bauelemente finden"
magic smoke schrieb: > Ich hab auch kein gutes Vergleichsthermometer, das müßte ich auch erst > bauen, um die Wertetabelle während eines Abkühlvorganges loggen zu > können. Als Vergleichsthermometer reicht sowas, das habe ich verwendet: http://www.conrad.de/ce/de/product/123320/VOLTCRAFT-DET3R-Einstich-Thermometer-Temperaturbereich-40-250-C?ref=searchDetail > Es muß aber nicht so ultra-genau sein, wenn ich auf 2 Grad an die > "echte" Temperatur herankomme, dann würde das reichen. Man kann für eine grobe Messung in einen Bereich von 0-200 Grad auch eine einfache Diode verwenden: Beitrag "Re: Dioden Temperaturmessung" Ist sogar ziemlich linear. Verwende ich als Temperaturfühler für meinen Selbstbau-Reflow-Ofen.
magic smoke schrieb: > Wie kriegt man es nun hin, mit dem Ding einigermaßen genaue Messungen > zwischen -40..+150 Grad zu schaffen? Also zwischen 0°C und 100°C schlage ich vor, dass du mal nachrechnest und misst was passiert, wenn du dem NTC einen 1,5 kOhm Widerstand parallel schaltest. Ob das dann von -40 bis 150 C genau genug ist, musst du selbst nachmessen.
> Verwende ich als Temperaturfühler für meinen Selbstbau-Reflow-Ofen. http://thomaspfeifer.net/laminator_temperatur_regelung.htm
An eine Diode habe ich auch schon gedacht. Bzw. 6-7 Stück in Reihe, um eine geeignete Messpannung zu kriegen. So, jetzt mal eine andere Frage: Wie würdet ihr das machen bzw. welchen Temperatursensor verwendet ihr so?
Tester schrieb: > Um eine math. Funktion aus Stützstellen zu erhalten, ist das > nachstehende Programm gut geeignet: Wenn dann bitte kubische Splines. Polynom neigen dazu, zwischen den Stützstellen üble Dinge zu veranstalten.
Grundsätzlich neige ich zu Pt100 Fühler oder Thermoelement. Wenn dir das zu elitär ist: Diode oder NTC mit Parallelwiderstand. Vor Signalverstärkern (sprich OPAmps) darf man in keinem Fall Angst haben. Was für deine Anwendung das beste wäre weiss ich nicht, das hängt davon ab, was du konkret messen bzw. regeln willst - und in der Hinsicht hast du ja bisher dicht gehalten.
Mike schrieb: > Wenn dann bitte kubische Splines. Polynom neigen dazu, zwischen den > Stützstellen üble Dinge zu veranstalten. Unfug - Deine "üblen Dinge" werden, falls sie dann auftreten, in der berechneten Kurve sofort sichtbar.
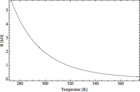
Hi, also mit der Steinhart-Hart Gleichung (die die ich kenne, oben die Version kenne ich nicht, bin aber kein Ing.) lassen sich die drei Punkte gut fitten. (Kunststück :-) ):
T [K] Rgem [Ω] Rfit [Ω] 273.15 5660 5663 295.15 2322 2309 373.15 190 225 vlg Timm
Tester schrieb: > Unfug - Deine "üblen Dinge" werden, falls sie dann auftreten, in der > berechneten Kurve sofort sichtbar. Das setzt voraus, dass man nicht blind auf irgendwelche Tool und ausgeworfene Koeffizienten vertraut, sondern genau hinguckt, was da passiert. Polynome werden genau dann übel, wenn sie mit viele Freiheitsgraden angesetzt werden, obwohl sie das Problem nicht vernünftig beschreiben. Versuch mal z.B. eine 1/x-Abhängigkeit durch ein Polynom zu fitten und dann nur minimal zu extrapolieren.
Ach Du Scheiße... oO Dafür muß man ja Mathematik studiert haben. Klasse Leistung! Kriegt man die Kurve noch dichter an den dritten Punkt dran, dann würde ich glatt probieren, eine Wertetabelle damit zu errechnen. Kannst Du kurz erklären, wie Du zu der Gleichung gekommen bist, so daß es ein Nicht-Mathematiker versteht? So, daß man sie vielleicht auch für andere Sensoren mit leicht abweichenden Werten nutzen kann? Es geht übrigens nicht um eine Regelung oder so, sondern eine einfache Messung und Anzeige der Temperatur. Und dabei möchte man natürlich möglichst genau an den "echten" Wert herankommen. Die Temperatursensoren sind aus dem Automobilbereich (blaue VW/Audi Temperatursensoren). Da find ich nichts anderes in dem Gehäuse, deswegen friss-oder-stirb bei den Gebern oder selbst bauen. Sprich Gehäuse ausräumen (geht nicht zerstörungsfrei) und einen brauchbaren Fühler einkleben.
magic smoke schrieb: > Die Temperatursensoren sind aus dem Automobilbereich (blaue VW/Audi > Temperatursensoren). Da find ich nichts anderes in dem Gehäuse, deswegen > friss-oder-stirb bei den Gebern oder selbst bauen. Sprich Gehäuse > ausräumen (geht nicht zerstörungsfrei) und einen brauchbaren Fühler > einkleben. OK dann schalte mal 1,5 kOhm parallel und staune.
Ok probier ich mal zu berechnen. Welchen Wert für den anderen (in Serie geschalteten) Widerstand?
Nimm deinen NTC Fühler, den du eingangs beschrieben hast und schalte dazu 1,5 kOhm parallel. Das dürfte linear genug sein (Widerstand in Abhängigkeit von der Temperatur). Die Parallelschaltung hat bei 0°C 1185 Ohm, bei 25 °C 911 Ohm und bei 100°C 169 Ohm. Probiere es aus und sag was rauskommt. (Da du kein Thermometer hast lass eine Diode mit laufen, mit einem Serienwiderstand von 10 kOhm an GND undd VCC angeschlossen. Berichte einfach deren Spannungswerte) Interessiert mich auch.
magic smoke schrieb: > Wie kriegt man es nun hin, mit dem Ding einigermaßen genaue Messungen > zwischen -40..+150 Grad zu schaffen? Per Software oder Hardware ? Per Hardware Linearisierung eines NTC R(parallel) = Rntc(T) * (B-2T)/(B+2T) mit T mittlerer Temperatur http://www.umnicom.de/Elektronik/Sonstiges/Messtechnik/tmKap2/tmKap211/tmKap211.html#2.1.1.1 per Software eben beispielsweise mit Polynomapproximation wie von den anderen beschrieben.
Ok, ich werd mal eben die Spannung über dem NTC bei den drei Punkten berechnen. Den Controller werd ich mit einer vorberechneten Wertetabelle entlasten. Diese durchzusuchen ist bei maximal 400 Werten (bei 0.5 Grad Auflösung) schnell erledigt und ich brauch mich nicht mit großem Formelwerk herumzuschlagen. Diese komplexen Formeln dürften sonst deutlich mehr Rechenleistung fordern.
Oh, ich vergass: Da hier die Widerstandskennlinie linearisiert ist, empfiehlt sich eine Konstantstromquelle als Versorgung. Wie hoch ist denn die vorgesehene Versorgungsspannung?
5V. Wieviel Strom brauchen die komischen Geber, wenn Du davon Ahnung hast? Mit einem Serienwiederstand von 5000 Ohm und 1500 Ohm parallel ergeben sich folgende Spannungswerte am NTC: 0.959V, 0.771V und 0.163V. Für 22 Grad linear errechnet ergibt sich 0.783V, was wirklich ziemlich nahe dran ist. Kann man das noch weiter verbessern?
magic smoke schrieb: > Kriegt man die Kurve noch dichter an den dritten Punkt dran, klar, einfach nicht fitten :-). Durch drei Punkte geht Steinhart-Hart immer :-)
sollte exakt durch alle drei Punkte gehen. Vorher war irgendwo ein Fehler in der Gleichung, den habe ich einfach kaschiert, in dem ich gefittet habe, statt zu lösen. Böser Bursche! vlg Timm
Wow. Wenn Du mir jetzt noch erklären kannst, wie Du darauf gekommen bist? Edit: Kannst Du mir eine Wertetabelle für -50 Grad C bis +200 Grad C im 0,5 Grad Raster schicken? Du hast die Funktion schon aus sowas gezeichnet, vielleicht ists ganz einfach für Dich und dann muß ich die Formel nicht erst irgendwo reinprogrammieren um sie "berechnbar" zu machen.
Um bessere Werte zu finden als 1500 Ohm parallel und 5000 seriell wären ein paar mehr Stützstellen nötig. Gibt es eine Tabelle mit mehr Widerstand / Temperaturwerten?
Bei der Hardware Linearisierung ist der Widerstand relevant der sich aus der Prallelschaltung der beiden ergibt. Statt 1500 Ohm parallel und eine Stromquelle kann man also auch 3 K parallel und 3 K in Reihe nehmen.
Jo Timm Danke, damit komm ich klar. Runden und formatieren krieg ich hin. Kannst Du mir noch verraten wie Du die Formel erstellt hast? Gibts dafür Programme, die sowas erledigen wenn man die drei Punkte einträgt?
ernst oellers schrieb: > Grundsätzlich neige ich zu Pt100 Fühler oder Thermoelement. > Wenn dir das zu elitär ist: Diode oder NTC mit Parallelwiderstand. > Vor Signalverstärkern (sprich OPAmps) darf man in keinem Fall Angst > haben. wurde dir das nicht schon lange von "ich" erklährt? das kann doch ganz einfach per Excel gemacht werden...
falsches Zitat - ich meinte natürlich: > Kannst Du mir noch verraten wie Du die Formel erstellt hast? Gibts dafür > Programme, die sowas erledigen wenn man die drei Punkte einträgt?
Hi, wohlgemerkt, behaupte ich nicht, dass es sinnvoller ist diese Formel zu verwenden, als per Hardware zu linearisieren! Also, ich habe einfach in die Steinhart-Hart Funktion
Deine Wertepaare eingesetzt. Gibt ein lineares Gleichungssystem und die Werte für A, B und C. Dann muss man die Gleichung nur noch nach R auflösen:
und entsprechend die Werte aus dem linearen Glg.System einsetzen. vlg Timm P.S. Eher mittelmäßig sinnvoll, aber mit Trendlinien in Excel (Artikel von "ich") hat das soviel zu tun, wie Erbsen mit Atomkrieg.
Hi, ach so, wenn Du mehr als drei Messwerte hast, fittest Du natürlich nicht die R(T) von oben, sondern linear in 1/T gegen ln(R), das kann dann auch Excel :-) vlg Timm
Die Formel versteh ich nicht wirklich, dafür bin ich zu lange aus dem Mathe-Kram raus bzw. kann es mir nicht bildlich vorstellen. Die Wertepaare bestehen ja immer aus zwei Werten, oder rechnet man mit den Produkten aus beiden Werten? Wie gut ist denn die Formel im Vergleich zur Hardware-Linearisierung? Und wie gut ist die 3k/3k-Methode? Ich steh leider nicht weit genug in der Materie der Temperaturmessung, um diese beiden Fragen einschätzen zu können. Beim nächsten mal nehm ich wieder digitale oder zumindest direktabbildende Sensoren.
magic smoke schrieb: > Die Formel versteh ich nicht wirklich, dafür bin ich zu lange aus dem > Mathe-Kram raus bzw. kann es mir nicht bildlich vorstellen. Die > Wertepaare bestehen ja immer aus zwei Werten, oder rechnet man mit den > Produkten aus beiden Werten? > > Wie gut ist denn die Formel im Vergleich zur Hardware-Linearisierung? > > Und wie gut ist die 3k/3k-Methode? > > Ich steh leider nicht weit genug in der Materie der Temperaturmessung, > um diese beiden Fragen einschätzen zu können. Beim nächsten mal nehm ich > wieder digitale oder zumindest direktabbildende Sensoren. Einfach mal das lesen, dann wird es klar, woher die Formel kommt, was sie macht und wie man sie verwendet: http://en.wikipedia.org/wiki/Steinhart%E2%80%93Hart_equation Zitat: "The equation is often used to derive a precise temperature of a thermistor since it provides a closer approximation to actual temperature than simpler equations, and is useful over the entire working temperature range of the sensor. Steinhart–Hart coefficients are usually published by thermistor manufacturers. Where Steinhart–Hart coefficients are not available, they can be derived. Three accurate measures of resistance are made at precise temperatures, then the coefficients are derived by solving three simultaneous equations."
Jo wie gesagt...*g* Ich bräuchte ein Programm dafür. Vielleicht arbeite ich mich irgendwann mal rein und schreib eines, aber ich glaub vorher bring ich noch schnell einer Kuh das Tauchen bei.
magic smoke schrieb: > Die Formel versteh ich nicht wirklich, dafür bin ich zu lange aus dem > Mathe-Kram raus bzw. kann es mir nicht bildlich vorstellen. naja, ist halt ein Polynom dritten Grades in 1/T gegen ln(R) wofür auch immer du dir das vorstellen möchtest. > Die > Wertepaare bestehen ja immer aus zwei Werten Ja genau, also 0 Grad (20 Minuten in Eiswasser) ........: 5.660 Ohm ergibt A + B log(5660) + C (log(5660))^3 = 1/(0 + 273.15) 22 Grad (Zimmertemperatur) ..............: 2.322 Ohm ergibt A + B log(2322) + C (log(2322))^3 = 1/(22 + 273.15) usw. Macht drei Unbekannte: A, B, C und drei Gleichungen. Auflösen und du hast die Werte für A, B und C, womit Du dann wiederum für jede andere Temperatur das R ausrechnen kannst. > Wie gut ist denn die Formel im Vergleich zur Hardware-Linearisierung? Ich tippe auf: sehr sehr viel besser. Wobei die Achillesferse die selbe ist: Nur drei Messwerte eher zweifelhafter Qualität. Wenn die Qualität dieser drei Werte schlecht genug ist, kann alles andere natürlich egal werden ... vlg Timm
Timm Reinisch schrieb: >> Wie gut ist denn die Formel im Vergleich zur Hardware-Linearisierung? > > Ich tippe auf: sehr sehr viel besser. > > Wobei die Achillesferse die selbe ist: Nur drei Messwerte eher > zweifelhafter Qualität. Wenn die Qualität dieser drei Werte schlecht > genug ist, kann alles andere natürlich egal werden ... Am besten durch eine Messreihe ein Gefühl dafür holen, was dann eigentlich passiert. Hast ja eh ein bisschen Zeit, bis die Kuh wieder auftaucht.
> > Wie gut ist denn die Formel im Vergleich zur Hardware-Linearisierung? > Ich tippe auf: sehr sehr viel besser. Hardware Linearisierung kannst du beim NTC Widerstand vergessen, wenn du einen so großen Temperaturbereich hast, weil R(T) eine exponentielle Abhängigkeit hat. Du wirst aber trotzdem einen Serien- und einen Parallelwiderstand einbauen um die Empfindlichkeit (mV/Grad Celsius) in einem vernünftigen Bereich zu halten. Ein 10bit A/D Wandler wird dir aber nicht reichen. Da musst du schon noch ein paar bit extra einwerfen müssen. Vielleicht wäre ja ein Spannungs->Frequenzwandler eine "einfachere" Möglichkeit. Allerdings brauchst du da sehr Temperaturstabile Bauteile(C, Opamp, R), weil deine Umgebungstemperatur ja auch stark schwankt.
Püüüh, NTCs sind für Temperaturmessung ja denkbar ungeeignet. Gibt keine mit halbwegs nachvollziehbaren Gleichungs-Parametern, oder T-U-Tabelle. Schmeiß weg, wenn sie nicht gerade für irgendwelche TK-Kompensationen gebraucht werden. Die KTY81-110 gibts schon seit ewig für < 1 EU. Mit Tabelle. Ohne Abgleich bist du von 0..50° C auf 2° C genau, von -50° C ... + 80° C auf 3° C
Ich glaub mit der Formel ist es gut genug. Der Rest geht in der Ungenauigkeit des Sensors unter. Danke Timm auf jeden Fall nochmal für die Erklärung!
Sooo... Es funktioniert mit einer Wertetabelle aus der Formel erstaunlich gut. Ich hab mir direkt die ADC-Messwerte für einen 1k Serienwiderstand an 5V berechnet und in der Tabelle zusammen mit der zugehörigen Temperatur abgelegt. Dadurch muß der µC keine einzige Rechnung ausführen, sondern nur den ADC-Wert in der Tabelle suchen. Braucht eine ganze Menge Speicher und im oberen Bereich doppeln sich einige Werte wegen der starken Abflachung der Kennlinie, aber für das wofür ich es brauche ist es genau genug. Danke nochmal allen, die geholfen haben - vor allem Timm für seine Arbeit!
Bitte melde dich an um einen Beitrag zu schreiben. Anmeldung ist kostenlos und dauert nur eine Minute.
Bestehender Account
Schon ein Account bei Google/GoogleMail? Keine Anmeldung erforderlich!
Mit Google-Account einloggen
Mit Google-Account einloggen
Noch kein Account? Hier anmelden.

