Hallo Forum, seit ein paar Monaten grüble ich schon über eine Frage nach vielleicht kann mir einer helfen. Gegeben: Ein Zahlenschloss mit Ziffern 0-9 erwartet einen 4stelliger Code. Jede Ziffer kann nur einmal im Code vorkommen und die Reihenfolge der 4 Ziffern ist egal. Gesucht: Wie viele Möglichkeiten für den Code gibt es? Redundante Codes sollen nicht vorkommen. (z.B. 1234 und 4321) Und wie könnte ein Algorithmus zum berechnen aussehen? schon mal Danke fürs lesen. PS: hier nochmal in Kurzform. Wie berechnet man die Auswahl von 4 aus 10 möglichen Elementen ohne Berücksichtigung der Anordnung und ohne Wiederholung?
:
Bearbeitet durch User
Chr. M. schrieb: > seit ein paar Monaten grüble ich schon Monate? dürfte "k Kugeln ziehen aus Urne mit n Kugeln ohne Zurücklegen" sein - Wikipedia (Stochastik=>Kombinatorik) s. Bild...
Dieses Zahlenschloss mutet so seltsam an, das man fast auf den Gedanken kommen könnte, es entstammt der Phantasie eines Lehrers oder Professors, der damit seine Schüler bzw. Studenden testen möchte ;-) Da die Aufgabe jetzt gelöst ist, spielt das aber keine Rolle mehr.
> Monaten ..
aha. in dieser Zeit haette man's auch simulieren,resp durchspielen
koennen, fuer diesen Fall.
Das Subjekt nennt sich "binomische formel"
Oh D. schrieb: > Das Subjekt nennt sich "binomische formel" Welche? Die erste, zweite oder dritte? Nein, das Ding heißt Binomialkoeffizient.
Yalu X. schrieb: > Dieses Zahlenschloss mutet so seltsam an, das man fast auf den Gedanken > kommen könnte, es entstammt der Phantasie eines Lehrers oder Professors, > der damit seine Schüler bzw. Studenden testen möchte ;-) Muss dich enttäuschen, das Ding gibt es wirklich zu kaufen http://www.ebay.de/itm/Schlusselsafe-mit-Zahlenschloss-Wandschlusselsafe-Schlusselkasten-Keysafe-/262169855634?hash=item3d0a8a8692:g:XMgAAOSw5dNWtW8Q und der einzige Professor mit dem ich seit langem geredet habe ist meine Schwester ;) Leider ist für mich das Problem noch nicht gelöst,es übersteigt meine Fähigkeiten die Formel auszurechnen. Meine Schulbildung damals hat leider Statistik/Stochastik und binomische Formeln nicht beinhaltet und ausserhalb der Schule wird sowas doch eher selten benutzt. Könnte mir vielleicht noch jemand das Ergebnis mitteilen? In den Monaten habe ich versucht selbst eine Lösung durch Nachdenken zu finden als beschäftigung beim warten auf den Bus und so.
Chr. M. schrieb: > Könnte mir vielleicht noch jemand das Ergebnis mitteilen? http://www.arndt-bruenner.de/mathe/scripts/binkoeff1.htm Hilfe zur Selbsthilfe.
Chr. M. schrieb: > seit ein paar Monaten grüble ich schon In der Zeit hättest du auch alle möglichen Zahlen aufschreiben können... Chr. M. schrieb: > Leider ist für mich das Problem noch nicht gelöst,es übersteigt meine > Fähigkeiten die Formel auszurechnen. calc.exe → Wissenschaftlich Da findest du * (Mal), / (Geteilt) und !. Versuchs einfach mal Schritt für Schritt und zeige uns deine Teilergebnisse.
Chr. M. schrieb: > Muss dich enttäuschen, das Ding gibt es wirklich zu kaufen > Ebay-Artikel Nr. 262169855634 Ich bin deswegen nicht enttäuscht, ganz im Gegenteil. Wenn jemand eine plausible Erklärung dafür liefert, dass es sich bei seinem Problem nicht um eine Hausaufgabe handelt, bin ich gerne bereit zu helfen. Chr. M. schrieb: > Könnte mir vielleicht noch jemand das Ergebnis mitteilen? Geht es dir nur um den Zahlenwert? Der ist (10·9·8·7) / (1·2·3·4) = 210 Das Schloss scheint also nicht allzu sicher zu sein. Ich verstehe aber auch nicht, warum die Reihenfolge der Ziffern nicht berücksichtigt wird und auch keine Woederholungen möglich sind. Damit wäre die Zahl der Möglichkeiten immerhin 10⁴ = 10000. Jan L. schrieb: > dort kann man nett rumspielen: > http://www.wolframalpha.com/input/?i=10!%2F(10-4)!%2F4! Vorsicht: Die Forensoftware betrachtet das Ausrufezeichen am Ende der Zeile als nicht zum Link gehörend, was zum falschen Ergebnis führt. So ist der Link richtig: http://www.wolframalpha.com/input/?i=10!%2F(10-4)!%2F4%21
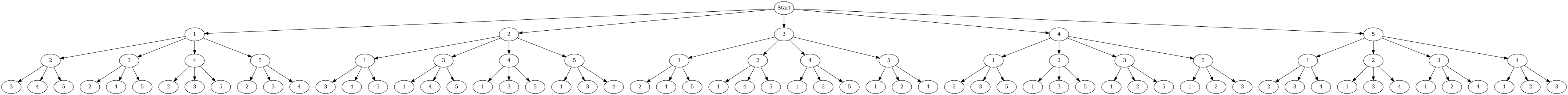
Zur einfachen Darstellung gehe ich von einem 3stelligen Code mit den Ziffern 1-5 aus. Schritt 1: Bei der ersten Stelle (Start) hat man noch die Wahl zwischen allen 5 Ziffern. Bei der nächsten Stelle ist (egal welchen Weg man bei der ersten Stelle genommen hat) eine Ziffer nicht mehr möglich (weil diese nicht mehrfach drankommen dürfen), also vervierfachen sich die Möglichkeiten hier nur noch. Im nächsten Schritt fällt wieder eine Möglichkeit weg, also verdreifachen sich die Möglichkeiten. Also ist die Anzahl der Möglichkeiten 5 mal 4 mal 3 = 60.
Siehe Bild A, man fängt oben an und geht in Pfeilrichtung bis zum Ende. Jeder mögliche Weg entspricht einer Zahlenkombination. Damit sind alle Kombinationen 3 aus 5 mit Reihenfolge erschlagen. Schritt 2: Da die Reihenfolge egal sein soll, müssen die mehrfach vorkommenden Kombinationen rausgerechnet werden. Zwischenschritt: Wenn man 3 Dinge A,B,C hat und diese in eine Reihe ordnen will, gibt es für die erste Position 3 Möglichkeiten, für die zweite jeweils zwei und für die letzte bleibt noch ein Ding übrig (Bild B). Es gibt also
verschiedene Möglichkeiten, drei verschiedene Dinge anzuordnen. Nutzen des Zwischenschritts: D.h. in den 60 Kombinationen aus dem ersten Schritt ist jeder Code 6mal enthalten, wenn man die Reihenfolge nicht berücksichtigen will. Also teilt man die 60 durch die 6:
Da hier N (die Anzahl der zur Wahl stehenden Ziffern) 5 war und n (die Anzahl der gewählten/gezogenen) 3, sind wir ganz zufällig bei der von Jan oben geposteten Formel gelandet. Das Ausrufezeichen steht für Fakultät: https://de.wikipedia.org/wiki/Fakult%C3%A4t_(Mathematik)#Beispiele
Ihr seid SUPER! Vielen Dank an alle:) Es geht übrigens nicht darum das Schloss zu knacken. Ich kenne zu Zeit nur eines und von dem ist mir der Code bekannt. Woher wisst ihr sowas nur? Gibt es eine Anwendungsfälle für sowas ausser es anderen beizubringen? (und vielleicht ein paar Himmelsmechaniker und Quantenforschern) Mal sehen vielleicht bekomme ich mit den Infos von euch ein Programm zusammen dass eine Liste ausgibt.
Chr. M. schrieb: > Woher wisst ihr sowas nur? Oberstufe Chr. M. schrieb: > Gibt es eine Anwendungsfälle für sowas ausser es anderen beizubringen? Onlinep0ker
Chr. M. schrieb: > Woher wisst ihr sowas nur? > Gibt es eine Anwendungsfälle für sowas ausser es anderen beizubringen? > (und vielleicht ein paar Himmelsmechaniker und Quantenforschern) Ähnliche Szenarien sind in der Praxis einfach sehr häufig; der Binomialkoeffizient ("n über k") gehört daher zu den absolut grundlegenden Formeln der Stochastik/Kombinatorik, weshalb jeder Schüler in der Oberstufe damit mal in Berührung kam (auch wenn er sich vielleicht auf Anhieb nicht mehr dran erinnert). Klassisches Beispiel für den Binomialkoeffizienten sind z.B. die Anzahl der gültigen Kombinationen, die man auf einem "6 aus 49"-Lottoschein ankreuzen kann, nämlich "49 über 6": Jede Zahl kann nur einmal gezogen werden; die Reihenfolge, in der die Zahlen gezogen wurden, ist aber egal.
O.T. Ich habe zwar die Frage nicht gestellt, bedanke mich aber dennoch bei Tom (EZ81) für seine prima Erklärung. Wenn man solche Sachen ewig nicht machen mußte, ist eine solche anständige Erklärung Gold wert. MfG Paul
Bitte melde dich an um einen Beitrag zu schreiben. Anmeldung ist kostenlos und dauert nur eine Minute.
Bestehender Account
Schon ein Account bei Google/GoogleMail? Keine Anmeldung erforderlich!
Mit Google-Account einloggen
Mit Google-Account einloggen
Noch kein Account? Hier anmelden.
