Für eine Randsportart benötige ich ein gut in der Hand liegendes, stabiles und möglichst leichtes Gerät mit den folgenden Eigenschaften: - Genau 7 Sekunden nach Betätigen eines daumengroßen Druckknopfes soll das Gerät für gut 0,5 bis 1 Sekunde leicht, aber spürbar vibrieren (möglichst geräuscharm) - bei erneutem Druck vor Erreichen der 7 Sekunden, startet der 7-Sekunden-Zähler sofort wieder neu bei Null - wird das Gerät nach Ablauf der 7 Sekunden und Vibrationszeit nicht betätigt, bleibt es im Wartezustand und verbraucht keinen Strom - Betrieb per Akku oder einlegbaren Batterien, möglichst 12 Stunden einsetzbar Wer kann mir ein solches Gerät gegen Unkostenersatz bauen? Oder Tipps geben, die zu einem solchen Gerät führen … Bin leider völliger Laie.. Danke für Tipps!
Die Sportart kenne ich... nennt sich "schlaf' nicht ein in der Vorlesung". Prima Idee eigentlich.
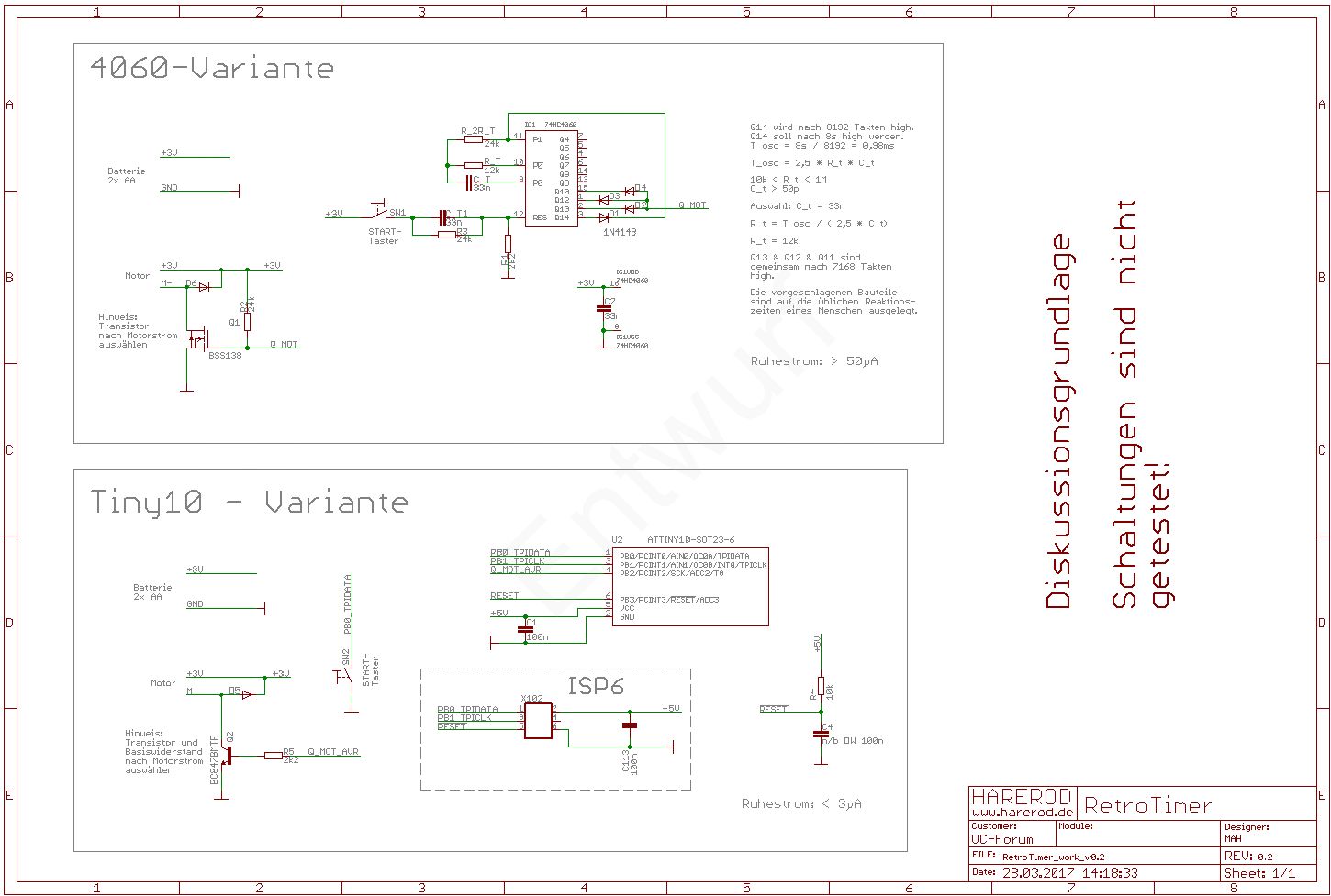
Hi! Lösungsvorschläge nach absteigendem Fun-Faktor sortiert (persönlicher Geschmack): - Der moderne Maker würde das Thema natürlich am besten mit einem Raspberry Pi erledigen. - Oder als echter Sparfuchs vielleicht sogar nur mit einem Arduino. - Assembler auf einem Tiny10 - die kompakteste Lösung (Platz 2) - mein Favorit an dieser Stelle - 74HC4060 plus ein paar Kleinteile. Siehe Datenblatt. Vibrationsmotor von Ebay. Das teuerste Bauteil ist dann wieder das Gehäuse... - Wenn's noch analoger sein soll - zweimal NE555 (Platz 3). Hoffentlich beamt mich die Moderation jetzt nicht ins letzte Jahrtausend zurück... Bei Bedarf - PM. marcus
Randsportart? Extremebuttonpushing? Supermonofloping? Megasevensecondsvibrating? Wahrscheinlich mal wieder einer der HOTTEST TRENDS FROM U S A!
...der war gar nicht schlecht ;-) Und wenn derjenige dann aufwacht fragt er seinen Nachbarn: ´Wie spät ist es denn ?´ 11:30 Nee - ich wollte eigentlich nur wissen ob Wintersemester oder Sommersemester :-)
So, während mein Mittagessen im Ofen war, habe ich die Schaltung mal skizziert. Ist als Diskussionsgrundlage zu sehen. Mit höchster Wahrscheinlichkeit habe ich irgendwo einen Dreher drin. Das ist dann aber nur um die Aufmerksamkeit des Publikums zu testen. :) Für den Einsteiger ist die 4060-Schaltung sicher einfach als THT aufzubauen. Nachteil ist der mit 50µA hohe Ruhestromverbrauch, der nur mit Hilfe weiterer Bauteile zu reduzieren ist. Zwei AA-Zellen wären damit schon nach 5 Jahren erschöpft. Die Tiny10-Variante hat jedoch bestimmte Vorteile. Mit Tiny13 wäre das auch wieder nur THT und anfängertauglich. Das Programm wäre bestimmt nicht länger als zwei Dutzend Maschinenbefehle. Bei Interesse können wir ja einen Programmierwettbewerb "wer hat den Kürzesten" starten. ;)
Bei der Randsportart handelt es sich um ein Tischfußballspiel (Tipp-Kick). Hier hat man 7 Sekunden Zeit für einen Schuss. Das Einhalten dieser Zeit ist häufig mit Diskussionen verbunden. Das Gerät ist für den Schiedsrichter gedacht, damit er besser die abgelaufene Zeit beurteilen kann. Ein Handy kommt nicht in Frage, da es schlecht in der Hand liegt und es dann kaum mit einer Hand bedient werden kann, ohne dass man drauf schaut.
#Melde Dich hier an, dann kann man Dich per PN kontaktieren.# angemeldet unter anbi59tk...
Andreas B. schrieb: > Ein Handy kommt nicht in Frage, da es schlecht in der > Hand liegt und es dann kaum mit einer Hand bedient werden kann, ohne > dass man drauf schaut. Dann kümmere dich doch mal um die schwierigste Aufgabe bei der ganzen Sache und suche ein passendes Gehäuse. Die Elektronik, die da rein soll, ist ja nun kein Ding.
Andreas B. schrieb: > Bei der Randsportart handelt es sich um ein Tischfußballspiel > (Tipp-Kick). Ihr Tipp-Kick-Spieler nennt eueren Sort Tischfußball? Denkt euch gefälligst was anderes aus, der Begriff ist schon besetzt. > Hier hat man 7 Sekunden Zeit für einen Schuss. Das > Einhalten dieser Zeit ist häufig mit Diskussionen verbunden. Echt? Hätte ich nicht gedacht. Beim Tischfußball gibt es auch einzuhaltende Zeiten, diese sind aber nicht wirklich häufig Diskussionsthema. > Das Gerät > ist für den Schiedsrichter gedacht, damit er besser die abgelaufene Zeit > beurteilen kann. Ein Handy kommt nicht in Frage, da es schlecht in der > Hand liegt und es dann kaum mit einer Hand bedient werden kann, ohne > dass man drauf schaut. Das kann ich total nachvollziehen. Es gibt auch entsprechende Apps für Tischfußball. Diese sind auch auf großen Turnieren absolut üblich, ich empfinde sie aber aus genau den von dir genannten Gründen als absolut schlecht. Dabei wäre die Lösung recht einfach: als Buttons eben nichts auf den Touchscreen programmieren, sondern die Lautstärketasten benutzen. Wär das nicht vielleicht auch für dich eine bessere Lösung? Immerhin könnten dann alle Schiris das gleiche Equipment benutzen, ohne dass sich jeder so ein Teil fertigen lassen muss. Zusätzlich kann man dann wie üblich mit der App Spieldaten wie timeouts und Punkte aufnehmen.
Bitte melde dich an um einen Beitrag zu schreiben. Anmeldung ist kostenlos und dauert nur eine Minute.
Bestehender Account
Schon ein Account bei Google/GoogleMail? Keine Anmeldung erforderlich!
Mit Google-Account einloggen
Mit Google-Account einloggen
Noch kein Account? Hier anmelden.
