Ich nutze in einer Schaltung einen linearen Weggeber mit dem Wert von 10 kOhm (auch "Softpot" oder "Ribbon Controller" genannt, dieser wird per Fingerdruck über etwa 30 cm Länge geregelt) . Das Softpot steuert ein Gitarren-Effektgerät an (normalerweise wird hier ein mit dem Fuß bedientes "Expression Pedal" mit einem einfachen eingebauten Linear-Poti genutzt). Das Softpot als Ersatz für das Expression-Pedal funktioniert, nur stimmt der Wert bzw Regelbereich des Softpots nicht ganz, er müsste über die gesamte Länge des Softpots etwa 5-7 kOhm statt 10 kOhm; betragen. Leider gibt es die Softpots nicht in vielen verschiedenen Widerstandswert-Varianten und schon gar nicht kalibrierbar. Da die Regelung über den gesamten Weg des Softpots linear bleiben soll, fällt ein vorgeschalteter oder paraller Widerstand oder Einstell-Poti aus. Gibt es eine elektronische Schaltung, die den Wert des 10k-Softpots bzw Spannungsteiler absenken kann, und das System verhält sich trotzdem linear (gesteuert über den 30cm Bereich des 10K-Softpots? Danke für euren Input!
Georg schrieb: > Gibt es eine elektronische Schaltung, die den Wert des 10k-Softpots bzw > Spannungsteiler absenken kann, und das System verhält sich trotzdem > linear (gesteuert über den 30cm Bereich des 10K-Softpots? Danke für > euren Input! wenn man den Rest der Schaltung nach dem Poti kennen würde käme ein OPV in Frage oder ein Poti mit ServoMotor, es gibt einige Lösungen, der Aufwand kann ins unermessliche gesteigert werden.
> der Aufwand kann ins unermessliche gesteigert werden.
Wenn das Originalpoti Teil eines Spannungsteilers ist,
bracuth es nur die gleiche Spannung, um das Effektgeraet
glauben zu machen, dass das Poti auf der Position steht.
Also vllt einfach mal messen!
Statt hier nach ominoesten Trickschaltungen zu fragen.
Und ein SoftPot hält der Wert, wenn der Fingerdruck aufhört? Oder hebt dann der "Schleifer" ab? Dann kann man damit kein lineares Schiebepoti ersetzen.
Nein, es hält den Wert nur, solange der Schleifer oder Finger auf eine bestimmte Stelle drückt. Für meine Anwendung ist das genau OK so. Problem ist lediglich, dass der maximal einstellbare Effekt bereits auf halbem Weg des 10k Softpots erreicht ist. Auf den restlichen 15 cm des insgesamt 30 cm langen Softpots passiert dann nichts mehr. Und im Effektgerät selbst gibt es auch keine Kalibrierungsmöglichkeit. Damit bleibt die Hälfte des 30 cm langen Wegs ungenutzt. Das gleiche oder ein ähnliches Softpot mit ca. 30 cm Länge und 5k gibt es leider nicht ...
Schon hier angefragt: https://www.spectrasymbol.com/linear-position-sensors/soft-membrane-linear-pots-softpot Contact Spectra Symbol directly for custom variants outside of the standard offerings Oder die Schaltung rauszeichnen.
Es ist genau eines der Spectrasoft-Softpots, man kann die bei Reichelt Elektronik kaufen. Die Softpots gibt es bis 300 mm Länge mit 10k und ab 400 mm Länge dann aber mit 20k. Leider aber eben nicht mit 5k auf der von mir benötigten Weglänge von etwa 300 mm. Die Schaltung des Effektgeräts selbst ist für mich eine "Blackbox", die meine Kenntnisse vermutlich deutlich übersteigt und auch nicht im Internet verfügbar. Aber danke, stimmt, ich werde dort mal anfragen, immerhin gibt es dort einen Button "start customizing", die Option scheint allerdings eher für industrielle Kunden die größere Mengen ordern gedacht zu sein.
Wolf17 schrieb: > Contact Spectra Symbol directly for custom variants outside of the > standard offerings Da setzt sich direkt ein Vertriebsingenieur ins Flugzeug und stimmt bei Georg vor Ort die Daten ab. Es ist ihm eine Freude, danach für 28,72 USD ein passendes Einzelstück zu liefern. Georg schrieb: > Aber danke, stimmt, ich werde dort mal anfragen, immerhin gibt es dort > einen Button "start customizing", die Option scheint allerdings eher für > industrielle Kunden die größere Mengen ordern gedacht zu sein. Ich denke auch, dass das nur für Kunden mit Menge gedacht ist. Fragen kost' nix. Vielleicht hast Du ja Glück, an einen Mitarbeiter zu geraten, der noch ein paar überzählige Teile herumliegen hat und Dir damit helfen kann.
Georg schrieb: > Gibt es eine elektronische Schaltung, die den Wert des 10k-Softpots bzw > Spannungsteiler absenken kann, und das System verhält sich trotzdem > linear (gesteuert über den 30cm Bereich des 10K-Softpots? Nein. Also jein. Du kannst den Wert des Softpots messen, z.B. in demes als Spannungsteiler am Analogeingang eines Mikrocontrollers angeschlossen wird, und dann vom Mikrocontroller ein Digitalpoti auf den gewünschten Wert einstellen lassen. Dabei muss man die Spannungsversorgung des Mikrocontrollers und Digitalpotis in Bezug zur Versorgungsspannung des zu steuernden Geräts beachten, und wissen dass ein Digitalpoti nicht auf 0 runterkommt und beim Umstellen Geräusche macht. Dr Widerstandswert wird leicht stufig und folgt mit riner geringen Verzögerung dem Softpot.
Auch dir danke! Ich werde jetzt wie von Motopick oben empfohlen erst mal die Spannungen ermitteln, die sich an dem mit Effektgerät verbundenen Softpot in den verschiedenen Einstellungen messen lassen - und mich dann weiter in deine und die anderen Tipps vertiefen.
Du könntest zwei der Poties parallel schalten und übereinander legen.
Georg schrieb: > Problem ist lediglich, dass der maximal einstellbare Effekt bereits auf > halbem Weg des 10k Softpots erreicht ist. Auf den restlichen 15 cm des > insgesamt 30 cm langen Softpots passiert dann nichts mehr. Leider weiß man nicht, ob es als Spannungsteiler oder als veränderlicher Widerstand verwendet wird. Bei ersterem könnte vielleicht ein vorgeschalteter, zusätzlicher 10k Widerstand helfen ...
Klaus H. schrieb: > Bei ersterem könnte vielleicht ein vorgeschalteter, zusätzlicher 10k > Widerstand helfen ... Und die zweite Möglichkeit ist, einen 10k Widerstand parallel zu schalten, dann hat der Gesamtwiderstandswert genau die gewünschten 5k. Allerdings fühlt sich das Poti dann beim Betätigen zum Ende hin logarithmisch an. Das Umdenken kann störend sein, oder man gewöhnt sich daran. 🎸
Georg schrieb: > Das gleiche oder ein ähnliches Softpot mit ca. 30 cm Länge > und 5k gibt es leider nicht ... Aber es sollte eines mit 20k und 100cm Länge geben, da wärst Du dann nach 25cm bei 5k, falls Dir das reichen würde. Oder Du nimmst 2 Stück der 10k / 30cm Typen, die Du parallel schaltest und auch bedienst; also entweder direkt nebeneinander mit einem breiten Schleifer, der beide gleichzeitig betätigt oder übereinander bzw. Rücken an Rücken kleben. Georg schrieb: > mit dem Fuß bedientes "Expression Pedal" mit einem einfachen > eingebauten Linear-Poti Welches Poti ist eigentlich in so einem Pedal verbaut? 5k oder ein höherer Wert und es wird auch nur ein Teil des mögl. Weges genutzt? Klaus H. schrieb: > Leider weiß man nicht, ob es als Spannungsteiler oder als > veränderlicher Widerstand verwendet wird. Wäre es als Spannungsteiler verschaltet, dann würde wohl bei dem Poti im originalen Effektpedal auch nur der halbe Schleiferweg genutzt. Klaus H. schrieb: > Bei ersterem könnte vielleicht ein vorgeschalteter, > zusätzlicher 10k Widerstand helfen Hmm... ich hätte jetzt eher nachgeschaltet - im Sinne von: an dem Ende des Softpots, an dem keine Effektveränderung mehr stattfindet - gesagt, aber zugegeben, bei einem Dreipol ist weder vor noch nach eine wirklich eindeutige Angabe; jedenfall spricht nichts gegen einen Versuch.
Mal provokant gefragt: Muß das wirklich so streng linear sein, wenn Du das mit dem Fuß bedienst? Du kannst also ein Pedal so exakt durchtreten? Ich würde einfach 10-20k parallel schalten und schauen wie es sich gefühlsmäßig verhält.
Michael B. schrieb: > Dr Widerstandswert ... und folgt mit riner geringen > Verzögerung dem Softpot. Selbst wenn das Digitalphoto mit einer Verzögerung von 1/100 s folgt, wird der Nutzer das nicht bemerken.
Georg schrieb: > Das Softpot steuert ein > Gitarren-Effektgerät an Vielleicht kennt ja jemand dieses unbekannte Gerät, wenn Du mal die exakte Bezeichnung nennen würdest.
Wenn das Effektgerät einen sehr hochohmigen Eingang hat (sagen wir mal
>1MOhm), und das Softpoti wie ein Spannungsteiler ausgewertet wird, dann
könnte man auch einfach einen 1:1-Spannungsteiler aus 2 mal 100kOhm
nachschalten. Die dadurch verursachte Nichtlinearität wird dann deutlich
unter 10% liegen.
Die Frage ist aber, ob das Effektgerät auch die Schleifer-Connection
nach Betätigung auswertet, und deswegen vielleicht nicht so reagiert,
wie erhofft (der Schleifer ist ja nur während der Betätigung auf der
Schleifbahn, sonst nicht).
Vielen Dank nochmal für eure Tipps und Vorschläge, die wirklich hilfreich sind. Bei dem Effgektgerät handelt es sich um den ROLAND "Harmonist", es kann Töne um eine Oktave nach oben transponieren. Als Steuerung dient normalerweise das simple ROLAND Expression Pedal mit 10k Regelbereich. Man hört dabei eine Art "Pitchbend"-Effekt, den ich auf die 30 cm lange Strecke des Softpots legen möchte, um genauer definierte Töne anspringen zu können (Keyboard-Pitchwheels haben normalerweise bestenfalls 3-4 cm Regelstrecke, Fader vielleicht max. 10 cm). Mein Problem war, dass das 30 cm lange Softpot schon bei 5k bzw. 15 cm Regelweg die Oktave erreicht hat und die restlichen 15 cm des Regelwegs keine Veränderung mehr bewirken. Die messbaren Spannungen liegen dabei zwischen 0 und 3V. Ich habe jetzt mal statt des 10k Softpots nochmal ein lineares 5k Einstellpoti genommen. Das Ergebnis: Bei 5k wird erwartungsgemäß genau die Oktave erreicht (Frequenzverdopplung). Allerdings musste ich dabei zudem feststellen, dass das Effektgerät selbst schon sehr non-linear reagiert: Die ersten 4-5 Halbtöne werden extrem "gestaucht", also schon ganz am Anfang des Potis erreicht, die folgenden Töne haben etwas mehr Abstand, und der wird dann nach oben hin bei den letzten 2-3 der 12 Halbtöne der Oktave unverhältnismäßig immer weiter "gestreckt", was einfach schwer spielbar ist. Die Töne müssen ja nicht exakt gleichmäßig (wie auf dem Keyboard) verteilt sein, spielbar sollte es aber schon sein. Da das ROLAND-Gerät selbst bereits recht nonlinear-reagiert (vermutlich, weil das bei der Fußbedienung "gefühlt" gut funktioniert - die Gitarristen wollen ja nicht einzelne Töne genau anzuspringen, sondern einfach nur ihren Ton um eine Oktave nach oben "biegen"), werde ich jetzt nach den Anregungen hier im Forum erstmal doch mit parallel nachgeschalteten Einstellpotis experimentieren, bis ich eine bespielbare Lösung gefunden habe. Ich erwarte, dass sich die heftige Non-Linearität des Effekts in der richtigen (entgegengesetzt wirkenden) Konfiguration zumindest abschwächen lässt und sich die 12 Töne dann etwas spielbarer über das Softpot verteilen.
Naja, ist ja wie erwartet nur ein Spannungsteiler. Wenn du die Steuerkennlinie fuer deine Zwecke linearisieren willst, dafuer gibt es OPV Schaltungen bei denen sich die Kennlinie abschnittsweise anpassen laest. So lange dann aus dem OPV die 0 bis 3 V kommen um das Effektgeraet auch gloecklich zu machen. Dein Poti muss dann nur die Eingangsspannung fuer so eine OPV-Mimik erzeugen und die Groesse des Potis ist in etwa egal. Wie so eine Mimik aussieht: Suche nach "Sinusformer mit OPV". Die musst du "nur" noch anpassen.
P.S. Wenn du das gite Geraet von Roland nicht schrotten willst, solltest du allerdings vorher immer genau wissen was du tust. Ich z.B. wuerde die neuen OPVs mit aus der Versorgung des Geraetes speisen. So sichert man einfach und zuverlaessig, dass Spannungen nur dann anliegen wenn das Geraet auch bereit dafuer ist. Evtl. kann es sinnvoll sein vor den Eingang fuer das Poti noch ein niederohmigen Schutzwiderstand und Ableitdioden zu schalten. Usw. Usf. :) Und: Keine Steckbrettaufbauten. Die sind chronisch wackelig.
Jens G. schrieb:
Wenn das Effektgerät einen sehr hochohmigen Eingang hat (sagen wir mal
1MOhm), und das Softpoti wie ein Spannungsteiler ausgewertet wird,
dannvkönnte man auch einfach einen 1:1-Spannungsteiler aus 2 mal 100kOhm
nachschalten. Die dadurch verursachte Nichtlinearität wird dann deutlich
unter 10% liegen.
Gerade getestet und ... Mega vielen Dank, diese genial einfache Lösung
mit 2 x 100k als parallel nachgeschalteter Spannungsteiler nach dem
Softpot funktioniert perfekt! Die Schaltung streckt die Oktave
einerseits über die gesamten 30 cm des Softpots (statt nur über 15 cm
und danach kein weiterer Effekt). Und sie verteilt gleichzeitig auch die
12 Töne der Oktave so gleichmäßig über die 30 cm, dass es spielbar ist.
Phantastisch!
Du solltest Deine Schaltung genauso wie ein Roland Expression Pedal aufbauen. Leider verschweigst du den Typ des Pedals.
Sven D. schrieb: > Du solltest Deine Schaltung genauso wie ein Roland Expression > Pedal > aufbauen. Leider verschweigst du den Typ des Pedals. Hi, hier der Schaltplan des empfohlenen Pedals. Das ROLAND Pedal ist das EV-5. ROLAND empfiehlt bei Verwendung mit dem Effekt das Minimum Volume auf 0 zu setzen. Meine Schaltung besteht aus einem 10k Softpotentiometer, ist also identisch mit dieser Schaltung. Trotzdem gab es mehrere Probleme damit, siehe oben. Ich hab jetzt mit einem Tipp aus dem Forum eine gute Lösung gefunden, sieh oben.
Georg schrieb: > Gerade getestet und ... Mega vielen Dank, diese genial einfache Lösung Na dann hat ja meine Kristallkugel perfekt funktioniert ;-)
Jens G. schrieb: > Georg schrieb: >> Gerade getestet und ... Mega vielen Dank, diese genial einfache Lösung > > Na dann hat ja meine Kristallkugel perfekt funktioniert ;-) Ja, klasse & danke nochmal!
Das 10k Potentiometer ist nicht linear. Im angehängten Schalplan steht "Special Taper". Welches Verhalten das Poti hat lässt sich ausmessen und dann kann das Verhalten deines "Softpots" daran angenähert werden. Wie steht hier: http://www.geofex.com/article_folders/potsecrets/potscret.htm http://sound-au.com/pots.htm#chg-law
Georg schrieb: > Jens G. schrieb: >> Georg schrieb: >>> Gerade getestet und ... Mega vielen Dank, diese genial einfache Lösung >> >> Na dann hat ja meine Kristallkugel perfekt funktioniert ;-) > > Ja, klasse & danke nochmal! Na dann herzlichen Glückwunsch.
Sven D. schrieb: > Das 10k Potentiometer ist nicht linear. Im angehängten Schalplan > steht > "Special Taper". Welches Verhalten das Poti hat lässt sich ausmessen und > dann kann das Verhalten deines "Softpots" daran angenähert werden. Wie > steht hier: > http://www.geofex.com/article_folders/potsecrets/potscret.htm > http://sound-au.com/pots.htm#chg-law Super interessant, danke für die beiden Links. Ich habe das Pedal nicht gekauft, nur das einfachen Schaltplan-Bild aus dem Netz geladen, dort steht ja nichts von "tapered", bin einfach davon ausgegangen das es ein Linear-Poti ist. Mit den Links von dir kann ich auf jeden Fall nochmal experimentieren, vielen Dank dafür! Anbei ein Foto, wie die Verteilung der Töne mit dem nachgeschalteten 1:1-Spannungsteiler aus 2 mal 100kOhm wie von Jens G. empfohlen jetzt aussieht, das ist für mich schon sehr gut zu spielen. Auf dem Klebestreifen oben ist in C notiert, funktioniert aber natürlich in jeder Tonart analog dazu.
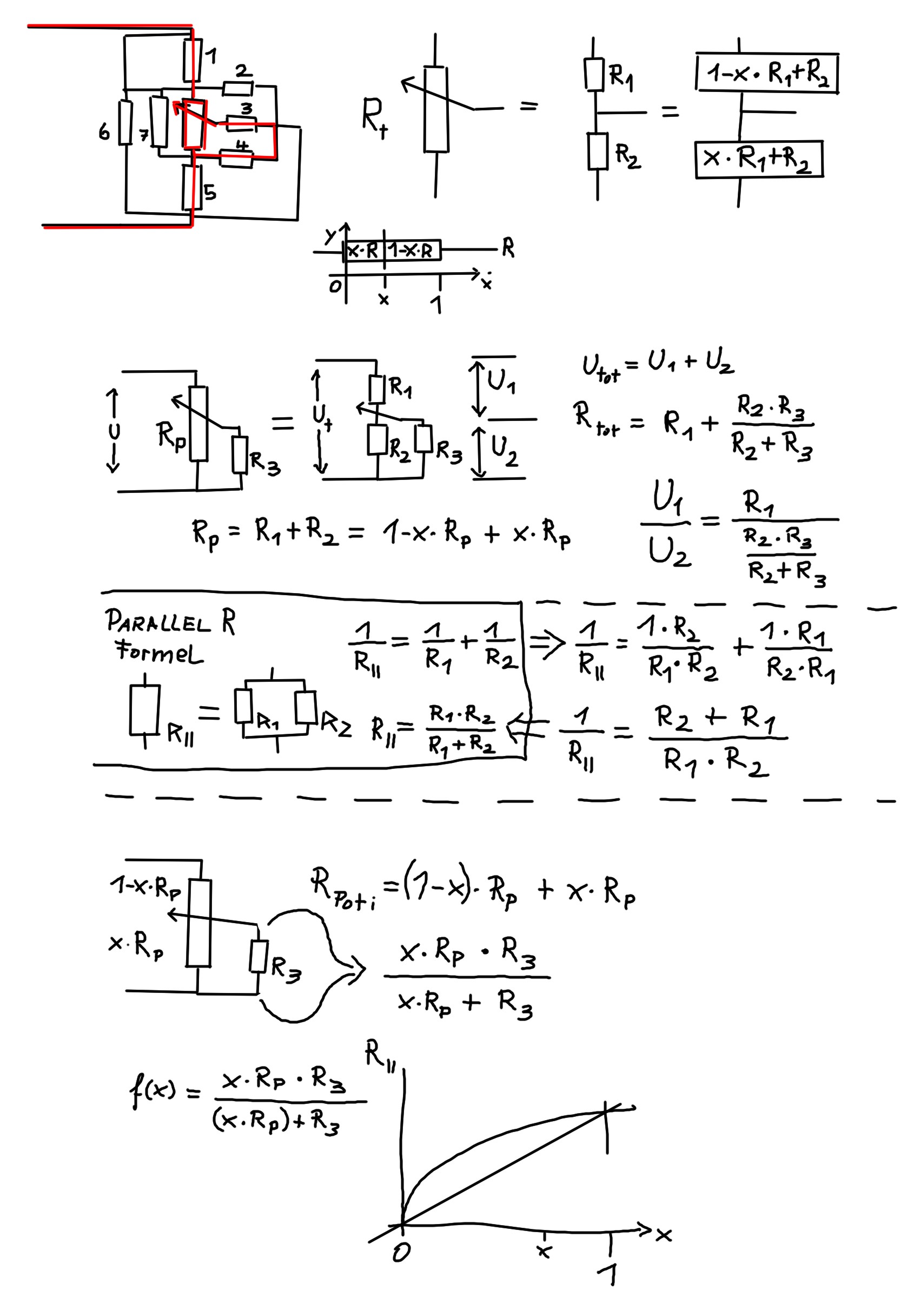
ich verstehe jetzt nicht wo jetzt zwei 100k Widerstände zusätzlich angebracht wurden, da reicht doch eigentlich 1 Widerstand, der genauso groß ist wie das Poti selbst, in Reihe zu einem Widerstandsbahnende. ich habe eine Zeichnung gemacht mit optionalen Widerständen um ein Poti herum. (Vielseitiger wird es, wenn man zB die Potis eines Stereopotis sinnvoll miteinander verknüpft.) Welche sind denn nun dran ? 1+2? 3+4? ... ich möchts gern wissen, bitte
Yay, ich habe es heute geschafft meinen ersten Graph am Pc zeichnen zu lassen, in Geogebra. ich habe die Poti mit parallel R Schaltung tatsächlich in eine Funktion transformieren können. Dazu 2 Bilder. Wie ist der Ribbon Controller beschaltet, bitte ?
Carypt C. schrieb: > Yay, > > ich habe es heute geschafft meinen ersten Graph am Pc zeichnen zu > lassen, in Geogebra. > ich habe die Poti mit parallel R Schaltung tatsächlich in eine Funktion > transformieren können. Dazu 2 Bilder. > > Wie ist der Ribbon Controller beschaltet, bitte ? So wie von Jens empfohlen, 2 x 100k parallel zu den beiden Seiten des Potis
Georg schrieb: > Carypt C. schrieb: >> Yay, >> >> ich habe es heute geschafft meinen ersten Graph am Pc zeichnen zu >> lassen, in Geogebra. >> ich habe die Poti mit parallel R Schaltung tatsächlich in eine Funktion >> transformieren können. Dazu 2 Bilder. >> >> Wie ist der Ribbon Controller beschaltet, bitte ? > > So wie von Jens empfohlen, 2 x 100k parallel zu den beiden Seiten des > Potis Ansonsten schau mal hier im Thread unter “tapered” da sind zwei Seiten empfohlen, die das Thema sehr gut beschreiben
Mir erschliesst sich zwar nicht, warum das Teil jetzt unbedingt linear sein muss. Aber wäre es eventuell möglich, den Poti um ein Stück länger zu kaufen und dann z.B 30% der Strecke mit ner Kupferfolie abzudecken. Und dann halt nur die verkürzte Bahn zu nutzen. An sich sollte man auch einfach den Anschluss weiter zur Mitte versetzen können.
Also Danke für die Rückmeldung. Es ist aber nicht wirklich klar was die Meldungen bedeuten. "zwei 100k Widerstände an beiden Enden , parallel , nachgeschaltet" , nee Unter 2 Widerständen parallel an beiden Enden verstehe ich 1-3 in meiner Zeichnung. ich vermute du hast Version 4 oder 2 genommen. Ok, wie ich sehe hast du da Halbtöne auf dem Ribbon notiert, zur Anschlüsseseite sind die Töne weiter auseinander. Und als der 5k-lin Poti dran war, waren die tieferen Töne näher beieinander. ich weiß nun nicht was Phase ist bei Midi-pitchbend, gerade etwas gelesen, 1V/octave oder Hertz pro Volt, aber das kann auch gar nichts hiermit zu tun haben. Klar ist aber, daß die Hertzzahl sich pro Oktave verdoppelt. es scheint als wäre der Ribbon nicht linear. du möchtest wahrscheinlich eine Kompensation, etwas zu schwierig für mich. Jedenfalls funktioniert das Gehör nicht linear, sondern in der Abstufung der Blauertschen Bänder. Ob man es dahin kompensieren will glaube ich nicht. wohl eher nach wohltemperiert. also eine gleichmäßige Verteilung einer Oktave. Du sagst das Ribbon hat 10k und dein Schaltplan war wie vom Roland Effekt Pedal, dabei hat aber das Einstellen mittels des Volume-Potis nichts Vernünftiges gebracht. Jetzt hast du irgendwo 2 100k-Widerstände als Spannungsteiler parallel. Für mich keine verwertbare Information. Es gab auch die Vorschläge 1 Widerstand parallel zu schalten und ein anderer Vorschlag war 10k in Reihe zur Widerstandsbahn. ist auf der Anschlußseite zwischen den 3 Polen möglicherweise schon ein Parallel- oder Reihen-widerstand versteckt ? Vorsicht bei der Messung, unter 3 Volt Messspannung bleiben, würde ich sagen.
> 2 x 100k parallel zu den beiden Seiten des Potis ist wohl das Gegenteil von: > sehr gut beschreiben Da ich so einen Roland Pitchshifter nicht besitze und auch keinen kaufen wuerde, sei es drum. Die Erbauer wirklich "klassischer" Synthies wussten sich da besser (= intelligenter) zu helfen. Die haben naemlich auch eine fruehe Abart eines "Softpots" benutzt. Bei denen waren dann an den "richtigen" Stellen einfache Blattfedern montiert, die dann heruntergedrueckt einigermassen :) den richtigen Ton trafen. Quasi eine Klaviatur aus Blattfedern. Man musste zum Spiel diese Federn aber nicht benutzen, z.B. fuer ein Glissando. Von solchem Komfort ist der TO noch meilenweit entfernt.
Wiederum ist es mir gelungen eine Poti-Beschaltung als Graphen plotten zu lassen; in Geogebra. ich habe es mal in Octave versucht, das ist mir zu programmiererisch. Gibt es ein benutzerfreundliches Grafenzeichenprogramm das unter WinXP free läuft ? Die Eingabe der Funktion ist bei Geogebra wie auch Octave durch copy'n'paste ned meglisch, so a Kees. Anbei Bilder der Formel und die Kurvenschar, für Poti 1k, parallel 0,5k und variabler Reihenwiderstand 0,2-5k. Es wird das Verhalten der U2 Teilspannung am Mittenabgriff des Potis im Verhältnis zur Gesamtspannung Utot angegeben. x ist hier das Teilerverhältnis am Poti-widerstand, gegeben durch den Schleifkontakt auf der Widerstandsbahn, der den Potentiometer-Widerstand in x und 1-x aufteilt. Der Wertebereich geht also jeweils nur von 0 bis 1. Die Werte der Widerstände lassen sich in der Formel ja leicht ändern, sodaß man selbst geeignete Kurven für diesen Typ -schaltung zeichnen kann. Das Poti ist natürlich als linear vorausgesetzt.
> Grafenzeichenprogramm
Ob man Gnuplot als benutzerfreundlich einstufen kann, ist Ansichtssache.
:)
Im W(orld)W(ide)W(ait) aufzufinden unter "WGNUPLOT".
Das womit du da herumspielst, nennt sich Scherung und ist ein
lange bekanntes Mittel Potentiometerkennlinen in Grenzen(!) an den
eigenen Bedarf anzupassen.
Heute braucht das eigentlich keiner mehr, weil ein Poti allenfalls
noch an einem AD-Wandler haengt und man damit ohnehin alle
Freiheiten hat den gelesenen Wert umzuinterpretieren.
Wenn man das rein analog vorhat, geht das natuerlich auch.
So wie man aus einem Dreieck einen Sinus mehr oder weniger
schlecht formen kann. Immerhin kann man die Anzahl der Segmente
und die Steigungen einer solchen Kennlinienaenderung in einer
OPV-Schaltung recht frei festlegen.
Das der TO seinen Pttchshifter auch mit einer aufgepraegten
Spannung haette steuern koennen, hat er wohl nicht geblickt.
Und mit so einem OPV-Kennlinien-Ent/Verzerrer haette er auch
die Chance gehabt, eine nahezu 100% lineare bzw. logarithmisch
lineare Kennlinie zu erzeugen.
Aber vermutlich haette er wesentlich mehr, als Widerstaende an
irgendwelche Stellen zu pflastern auch nicht hinbekommen.
Wenn es ihm so jetzt reicht, dann ist er sicher gloecklich und
zufrieden.
aha. Scherung, leider finde ich dazu keine vorgestellten Schaltungen und Gleichungen. Aber danke für den Hinweis. Ja es ist ein Spiel, ich hoffe mathematisch keine Fehler zu machen und vertraue auf das Matheprogramm daß es richtig kürzen und klammern kann. Geogebra irritiert mich mit der Klammersetzung. Andere Programme für den Schulgebrauch gibt es wohl nicht mehr, ich fand ja "Zirkel und Lineal" sehr intuitiv zu nutzen, aber es klammerte nicht richtig meine ich, Formeleingabe suspect. Wenn ich wirklich genau konstruieren möchte nehme ich Siemens Solid edge 2d (free), stürzt wenigstens nicht ab, so wie Freecad. Geonext habe ich auch geholt, muß probieren. Gnuplot geht unkomplizierter als Octave, aber ich muß auch hier viel lernen um überhaupt eine Funktion eingeben zu können, muß Tutorial lesen. aber danke Wieder Widerstand Berechnung angefertigt, diesmal Gesamtwiderstand mit Poti , Zweipol. ich überlege einen Sammelthread meiner Konstruktionen anzulegen.
> ich überlege einen sammelthread meiner konstruktionen > anzulegen. Das waere zweifellos eine gute Idee: "Formelsammlung fuer gescherte parametrische Spannungsteiler" Gugg mal hier: http://docplayer.org/11275611-Elektrotechnik-i-ws-03-04-prof-dr-ing-w-schwarz-mitschrift-fabian-kurz-http-fkurz-net.html "2.3.4 Stromquelle Anwendungen ... Grundschaltungen Scherung von Kennlinien Schaltungen mit Strom und Spannungsquellen" > Gnuplot Wenn es damit geht, solltest du auch genau das benutzen. Sonst waere Matlab noch eine Alternative :).
> Danke für das Doc
N.z.d.
Klassische Elektrotechnik ist halt mittlerweile eine ziemlich
alte Wissenschaft. Und manche "Begrifflichkeit" ist zu den
Suchdiensten des Internetzes nicht richtig durchgedrungen.
Es gibt noch bedeutend mehr Dinge, von denen Google nichts weiss,
nichts ahnt und wohl auch nie etwas wissen wird.
Was aber eben nicht bedeutet, dass sie nicht existieren.
Motopick schrieb: >> Gnuplot > > Wenn es damit geht, solltest du auch genau das benutzen. > Sonst waere Matlab noch eine Alternative :). Ich werfe mal noch matplotlib in den Raum: https://matplotlib.org/ Da kann man sogar interaktive Diagramme mit machen... https://matplotlib.org/stable/gallery/widgets/slider_demo.html#sphx-glr-gallery-widgets-slider-demo-py Es gibt beinahe unendliche viele Beispiele: https://matplotlib.org/stable/gallery/index.html
> Ich werfe mal noch matplotlib in den Raum:
Ich koennte auch noch ein Dutzend Programme aufzaehlen.
Das eigentliche Problem ist zu einer gegebenen Funktion
die noetige Scherung der Potentiometerkennlinie zu ermitteln.
Der Praktiker macht das nach Erfahrung. Schliesslich ist es
oft nur ein haptisches Problem und eine verbleibende
Ungenauigkeit stoert nicht.
Und um ein paar Kennlinien fuer variierte Parameter
uebereinander zu zeichnen, reicht Gnuplot allemal.
Zeig doch mal ein paar (3D-)Diagramme/Plots in denen ein
zweter variabler Parameter in die Darstellung eingeht.
Dann haette es vielleicht(!) einen gewissen Mehrwert
gegenueber Gnuplot.
Arf. Mathplotlib, ja das sieht ja wirklich schön aus, ich sehe auch schöne cheatsheets und so, nur die hat es auch nötig, weil ich ja programmieren lernen müßte. phyton wäre schon in der engeren wahl, ja, aber die es ist ja eine komplette sprache zum neulernen, wie esperanto oder volapük, nur um die mathematische sprache, die ich schon ein bisschen kenne, einzugeben. danke für den profivorschlag, aber ich dachte schon an einen easypeasy windows schulgebrauchsfähigen mathe-macher. boah ey, ich habe so schon schwierigkeiten die rechtschreibung einzuhalten, aber programmanweisung rechtschreibung wortschatz, das ist überhaupt bei linux das problem, bei dos ja auch, und ich habe kein fotografisches gedächtnis, dann wäre es ja einfach. aber danke Andreas. ach ja, ich habe probeweise phython auf win7 installiert, natürlich noch nie gebraucht, wäre möglich, aber ich kriege auch keine downloaddatei von mathplotlib zu fassen, deshalb lasse ich komplett die finger davon. ich habe einige matheprogramme downgeloaded und versucht. momentan hänge ich aber noch am geogebra, das mir mit seiner webmäßigen gebrauchsweise nicht gefällt, mir scheint es wird da versucht eine webanwendung zu schaffen, um von schulen als abonement gekauft werden zu müssen. geonext wird nicht mehr gepflegt. gnuplot , ja das kann copy'n'paste, carmetal , ein zirkel und lineal spinoff, euklid dynageo, cinderella, octave , scheidet wegen meiner linux-schwäche aus, würde ich aber dann nehmen, ZuL, war mit formelproblem, reduce , maxima, ich habe früher noch mehr ältere programme gesammelt (man weiß ja nie), auch cad, aber nur ZuL, freecad, babacad, solidedge 2d, geogebra in gebrauch. ein bild meiner matheprogrammesammlung windows anbei. probiere gerade microsoft mathematics 4.00... , ich kann zwar eine formel eingeben (einkopieren), aber die wird dann gleich häßlich umgestellt, naja, und ich kann dann eigentlich meinen term gar nicht mehr umarbeiten. es geht jetzt im speziellen um redundante klammern, die sollten ja eigentlich egal sein, ärgerlich. scheint aber zu gehen. ich sehe ich habe weiter oben etwas falsch gemacht. muss ich noch mal machen, sry
ok , ich meine jetzt doch keinen fehler gemacht zu haben, trotz der wahrscheinlichen formfehler. die unsicherheit meinerseits bestand bezüglich einer doppelbelegung der strompfade im parallel-verlauf. nein, stimmt so. ich habe gerade noch versucht mit dem win7 "mathematik eingabe bereich" handgezeichnete (pen-mouse) in eine zeichensatz-formel umzuwandeln. das geht wohl nur mit mathematical markup language support eines programmes, auch funktionieren ziehen von bildern und den ausdrücken nicht. völliger quatsch für mich. dabei ist es nochmal deutlicher geworden, daß manche mathematikprogramme eine eigene mathematik-sprache, eigenen mathematik-zeichensatz, eigene mathematik-vokabeln benutzen, die man wiederum erst lernen muß, anstatt mit dem schulvokabular weiterzukommen. auch in diesem texteingabefeld funktioniert die übergabe/eingabe in mml mathematical markup language mit dem microsoft mathematik eingabebereich nicht, auch google chrome kann normal nicht. naja muß auch nicht.
jetzt habe ich die oben nicht von mir vorgeschlagene schaltung mit den zwei parallelen widerständen neben dem mittenabgriff des potis in formel schaltung und plot da. man sieht ungefähr die möglichkeiten der schaltung im kurvenverlauf. die gleichung zum funktionsgraphen : 6). u2-3/Ug1-3 = y=(((x*Rv*R2)/(x*Rv+R2))/((((1-x)*Rv*R1)/((1-x)*Rv+R1))+((x*Rv*R2)/(x*Rv +R2)))). bei meinem kommentar zum tonhöhenverlauf gemäß der Blauertschen Bänder hatte ich mich vergriffen, ich meinte wohl die Bark-skala. https://de.wikipedia.org/wiki/Bark-Skala , entenschuligung besser wäre wohl das poti so einzustellen, daß es dem verlauf der tonhöhe zu frequenz , wie in dem wikipedia-bild https://en.wikipedia.org/wiki/File:Music_frequency_diatonic_scale-3.svg , entspricht, also eine etwas durchhängende gerade.
Bitte melde dich an um einen Beitrag zu schreiben. Anmeldung ist kostenlos und dauert nur eine Minute.
Bestehender Account
Schon ein Account bei Google/GoogleMail? Keine Anmeldung erforderlich!
Mit Google-Account einloggen
Mit Google-Account einloggen
Noch kein Account? Hier anmelden.















