Hallo, ein Boost-Converter treibt ein Backlight eines LCD Displays. Vorwärtsspannung ca. 10V also 3 weisse LEDs in Serie geschaltet. Davon 2-3 dieser Stränge parallel. Da bei dem Gerät eine sehr niedrige Standby-Stromaufnahme wünschenswert ist (Backlight aus) und der Boost-Converter einen Strompfad im Shutdown hat (Vin - L - D - Last) habe ich den Strom des Backlights bei 5V gemessen. Oder besser messen wollen. Es liess sich aber nichts messen, immer 0,0µA. Eine Kontrollmessung mit einem 470K Widerstand ergab, dass die Messanordnung prinzipiell funktioniert. Kann das sein dass ein Backlight mit ~300mA Stromaufnahme @ ca. 10V bei 5V dagegen im Nanoampere Bereich liegt?
:
Verschoben durch Moderator
Steffen K. schrieb: > Kann das sein dass ein Backlight mit ~300mA Stromaufnahme @ ca. 10V bei > 5V dagegen im Nanoampere Bereich liegt? Schaue Dir mal die Kennlinie einer LED an.
Steffen K. schrieb: > Es liess sich aber nichts messen wer mißt mißt Mist und wer viel mißt mißt viel Mist. Meßtechnik ist ein wichtiges Kapitel in der Ausbildung aber nichts ohne Grundlagenkenntnisse.
Joachim B. schrieb: > wer mißt mißt Mist und wer viel mißt mißt viel Mist. > Meßtechnik ist ein wichtiges Kapitel in der Ausbildung aber nichts ohne > Grundlagenkenntnisse. Du sagst es. Deshalb auch die Kontrollmessung mit einem 470K Widerstand. Den Strom vom Backlight hätte ich in dem Bereich erwartet. Was für einen Fehler im Messaufbau vermutest du?
:
Bearbeitet durch User
Steffen K. schrieb: > Joachim B. schrieb: >> wer mißt mißt Mist und wer viel mißt mißt viel Mist. >> Meßtechnik ist ein wichtiges Kapitel in der Ausbildung aber nichts ohne >> Grundlagenkenntnisse. > > Du sagst es. Deshalb auch die Kontrollmessung mit einem 470K Widerstand. > Den Strom vom Backlight hätte ich in dem Bereich erwartet. > Was für einen Fehler im Messaufbau vermutest du? Du hast vermutlich keinen Fehler im Messaufbau. Eine LED ist nicht mit einem ohmischen Widerstand vergleichbar. Eine LED beginnt ab einer bestimmten Spannung an zu leiten, u.a. abhängig von der Leuchtfarbe. Der Strom steigt ab dann an, und das in einer steilen Kennlinie. Bei 3 weißen LEDs in Serie und 5 Volt Versorgungsspannung wirst Du keinen Strom messen können.
Steffen K. schrieb: > Kann das sein dass ein Backlight mit ~300mA Stromaufnahme @ ca. 10V bei > 5V dagegen im Nanoampere Bereich liegt? Ja, das ist durchaus im normalen Bereich.
Jörg R. schrieb: > Du hast vermutlich keinen Fehler im Messaufbau. Eine LED ist nicht mit > einem ohmischen Widerstand vergleichbar. Eine LED beginnt ab einer > bestimmten Spannung an zu leiten, u.a. abhängig von der Leuchtfarbe. Der > Strom steigt ab dann an, und das in einer steilen Kennlinie. Ja richtig. > Bei 3 > weißen LEDs in Serie und 5 Volt Versorgungsspannung wirst Du keinen > Strom messen können. Wenn durch die LEDs 300mA fliessen bei 10V hätte ich erwartet dass bei 5V vielleicht ein zehntausendstel oder wenigstens ein hunterttausendstel davon fliesst. Deshalb die Messung mit dem 470K Widerstand ob der Messaufbau das messen kann. Aber ok. Soll mir so recht sein. :)
:
Bearbeitet durch User
Steffen K. schrieb: > Wenn durch die LEDs 300mA fliessen bei 10V hätte ich erwartet ... dass es eine Raumbeleuchtung ist, 3 Watt. Was ist das für ein Display? Nehme 3 weiße LEDs samt 470 Ohm in Reihe und messen deren Strom bei verschiedenen Spannungen. Vielleicht geht Dir dann ein Licht auf, dass bei 5V nichts leuchtet und ab etwa 9 Volt der Strom deutlich stärker als die Versorgungsspannung steigt: Jörg R. schrieb: > Eine LED ist nicht mit einem ohmischen Widerstand vergleichbar. > Eine LED beginnt ab einer bestimmten Spannung an zu leiten,
Manfred P. schrieb: > ... dass es eine Raumbeleuchtung ist, 3 Watt. Was ist das für ein > Display? 3W sind bei 9-10" Displays ganz normal.
Steffen K. schrieb: >> Strom steigt ab dann an, und das in einer steilen Kennlinie. > > Ja richtig. Die Betonung liegt auf "steil". Ich würde sogar "sehr steil" sagen, denn LEDs haben im Vergleich zu anderen Dioden durchaus schon eine sehr steile Kennlinie, bzw. einen ziemlich scharfen "Knick". >> Bei 3 >> weißen LEDs in Serie und 5 Volt Versorgungsspannung wirst Du keinen >> Strom messen können. > > Wenn durch die LEDs 300mA fliessen bei 10V hätte ich erwartet dass bei > 5V vielleicht ein zehntausendstel oder wenigstens ein hunterttausendstel Tja, ausgetrickst. Manchmal sind die Dinger "idealer" als man denkt.
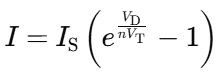
Steffen K. schrieb: > Kann das sein dass ein Backlight mit ~300mA Stromaufnahme @ ca. 10V bei > 5V dagegen im Nanoampere Bereich liegt? Einfache Mathematik der Shockley-Gleichung Wenn bei 10V 300m fliessen, werden es bei 5V ca. 55nA sein.
Wenn man Leds unterhalb dem Betriebsstrom laufen lassen will, nimmt man die vorgeschlagenen Spannung plus einen Widerstand in Reihe. zB bei einer 20mA roten LED : 5V & 10k Ohm
Welchen Bürdenwiderstand hat denn der Shunt des verwendeten Messgerätes? Bei 3 in Serie geschalteten weissen LEDs an 9V sollte eigentlich ein signifikanter Strom messbar sein. Vielleicht sind die LEDs auch schon Schrott. Aktuelle LEDs können schon mal eine VF von 2,8V bei Nennstrom haben...
Steffen K. schrieb: > Kann das sein dass ein Backlight mit ~300mA Stromaufnahme @ ca. 10V bei > 5V dagegen im Nanoampere Bereich liegt? Ja, im Winter. Probier das gleiche nochmal im Sommer...
Pandur S. schrieb: > einen Widerstand in Reihe. zB bei > einer 20mA roten LED : 5V & 10k Ohm Das magst Du mal erklären oder zugeben, dass es Quatsch ist: 20mA mal 10kOhm ergibt wieviel Spannung? Diese Spannung mal Strom gibt wie viele Watt? Oder willst Du 10 kOhm an 5 Volt, wieviel Strom ergibt das?
Jörg R. schrieb: > Eine LED beginnt ab einer bestimmten Spannung an zu leiten, u.a. > abhängig von der Leuchtfarbe. Eine "weiße" LED ist in diesem Sinne eine blaue LED. Das hat nichts damit zu tun, dass weiß keine Farbe ist. Steffen K. schrieb: > ich erwartet dass bei 5V vielleicht ein zehntausendstel oder wenigstens > ein hunterttausendstel davon fliesst. Warum erwartest du das? Hast du dir die Kennlinien angesehen? Warum misst du nicht die UI-Kennlinie aus? In der Kennlinie siehst du den Verlauf, so dass der Wert für den Strom bei 5V nicht überraschend kommt, sondern sich über eine stetige Stromabnahme ankündigt, falls du bei der Messung die Spannung immer weiter reduziert. Den 470k Widerstand kannst du zur Kontrolle deines Aufbaus bei jeder Messung einmal parallel zur Hintergrundbeleuchtung schalten.
:
Bearbeitet durch User
Michael B. schrieb: > Shockley-Gleichung Die haben wir im Beitrag "Re: Diode mit scharfem "Knick"" mal exemplarisch durchgekaspert.
Mir kommt ein Strom im nA-Bereich auch sehr niedrig vor, hätte da eigentlich schon etwas mehr Leckstrom erwartet. Zum Bestätigen dass die Messung korrekt ist kannst du als Messgerät mal ein Multimeter im Spannungsbereich probieren, da hat man üblicherweise einen Eingangswiderstand von ca. 10 Megaohm (abhängig vom Modell, sollte man gegebenenfalls mit einem zweiten Multimeter vorher messen), ein Strom von einem nA entspräche also einer Spannung von 0.01 V.
So, jetzt nochmal Messung wiederholt: Vergleichsmessung: 470K + 4,7M (in Serie) an +5V. Strom berechnet: 967 nA. Spannung an 470K berechnet: 0.455V Spannung an 470K mit DMM und Messbereich 200mV: 0,320V. Displays und dicker Schaumstoff auf Heizkörper gelegt und dann Backlight statt dem 4,7M Widerstand eingefügt. Bei allen gemessenen Displays war der Messwert ~0,001V, zappelnd zwischen 0,000 und 0,001V. Also an der Auflösungsgrenze der Messanordnung. Kurioserweise ist der Rückwärtsstrom anscheinend größer, ca. 0,003, aber auch hier kein stabiler Wert, da an der Auflösungsgrenze der Messanordnung.
Ein Thermometer auf dem Heizkörper misst eine Temperatur von ca. 40°C.
Steffen K. schrieb: > Ein Thermometer auf dem Heizkörper misst eine Temperatur von ca. 40°C. Also heizt er, und zwar nicht gerade wenig.
Steffen K. schrieb: > Vergleichsmessung: > 470K + 4,7M (in Serie) an +5V. > Strom berechnet: 967 nA. > Spannung an 470K berechnet: 0.455V Passt! Der Sinn erschließt sich wohl nur Dir. > Spannung an 470K mit DMM und Messbereich 200mV: 0,320V. 320mV im 200mV-Bereich geht nicht. Und schaue mal in die Anleitung, was die zur Eingangsimpedanz des DMM sagt, so ziemlich alle Handmultimeter haben im unteren Bereich einen geringeren Innenwiderstand - 320mV würde zu 1 MegOhm passen. Einen Bereich höher ist die Auflösung geringer, aber vermutlich zeigt es dann 0,43 Volt entsprechend Ri 10 MegOhm.
Manfred P. schrieb: >> Spannung an 470K mit DMM und Messbereich 200mV: 0,320V. > > 320mV im 200mV-Bereich geht nicht. Dokumentationsfehler. Es ist der 2000mV Bereich.
Jedenfalls ist die Erkenntnis, dass der Strom auch bei 40°C deutlich unter 10nA liegen dürfte. Und damit für den Standby-Verbrauch nicht relevant.
Bitte melde dich an um einen Beitrag zu schreiben. Anmeldung ist kostenlos und dauert nur eine Minute.
Bestehender Account
Schon ein Account bei Google/GoogleMail? Keine Anmeldung erforderlich!
Mit Google-Account einloggen
Mit Google-Account einloggen
Noch kein Account? Hier anmelden.
