Hallo, ich habe einen Royer-Converter genau nach folgender Schaltung aufgebaut: https://www.mikrocontroller.net/articles/Royer_Converter#Leistungsoptimierung Soweit funktioniert auch alles. Allerdings möchte ich nun mit einem Spannungsregler eine feste Spannung von 3,3V erzeugen. Das Problem ist, dass die Spannung am Spannungsregler bei Belastung von ca. 100mA einbricht und am Ausgang liegen dann nur noch ca. 2,9V an. Im Leerlauf (ohne Last und Spannungsregler) hat die Schaltung am Ausgang ca. 7,5V. Wie bekomme ich nun am Ausgang vom Royer-Converter eine höhere Spannung, damit die Differenz zwischen Spannungsregler und Eingangsspannung größer wird und ich diese somit auf 3,3V regeln kann ohne Einbruch der Spannung? Die Verbesserungsvorschläge auf dieser Seite habe ich schon gelesen, jedoch verstehe ich den rechnerischen Zusammenhang Windungen zu Kondensator und der damit verbesserten Übertragung nicht. Anmerkung: bei Belastung mit 82,6mA und den 3,33V am Ausgang vom Spannungsregler hatte ich 5,07V am Eingang vom Spannungsregler. Insgesamt konnte ich Leistung von über 700mW übertragen.
@Mikrocontroller Xxx (kifab) >ich habe einen Royer-Converter genau nach folgender Schaltung aufgebaut: >https://www.mikrocontroller.net/articles/Royer_Con... Dieser Link zeigt auf keine Schaltung. >bei Belastung mit 82,6mA und den 3,33V am Ausgang vom Spannungsregler >hatte ich 5,07V am Eingang vom Spannungsregler. >Insgesamt konnte ich Leistung von über 700mW übertragen. Schon mal gut. Zeig mal ein Bild von deinem realen Aufbau und einen Link auf deine real aufgebaute Schaltung (Schaltplan mit Bauteilwerten!). Knackpunkt der Leistungsbegrenzung ist der Trafo. Wenn der zuviel Streuinduktivität hat, ist halt irgendwann Sense. allerrdings kann man die Streuinduktivität mit einem passenen Kondensator kompensieren.
Oh, da ist wohl was schief gelaufen. Hier nochmal der Link: https://www.mikrocontroller.net/articles/Royer_Converter Angehängt jetzt noch mein Aufbau. Das ist jedoch nur ein Versuchsaufbau. Später soll die Spule auf einen größeren Durchmesser ca. 60cm gebracht werden und die innere Spule wird um ein metallisches Rohr gewickelt. Der Abstand beider Spulen wird jedoch nur im mm-Bereich liegen.
@ Mikrocontroller Xxx (kifab) >https://www.mikrocontroller.net/articles/Royer_Converter Ok, also du hast DIESE Schaltung nachgebaut. https://www.mikrocontroller.net/articles/Datei:Royer_bipolar.png Und sogar die sehr unorthodoxe Trafowicklung kopiert ;-) >Angehängt jetzt noch mein Aufbau. Das ist jedoch nur ein Versuchsaufbau. >Später soll die Spule auf einen größeren Durchmesser ca. 60cm gebracht >werden und die innere Spule wird um ein metallisches Rohr gewickelt. Das klingt nach KEINER guten Idee, denn das Rohr wirkt wie eine Kurzschlußwindung! >Der Abstand beider Spulen wird jedoch nur im mm-Bereich liegen. D.h. du willst zwei ca. 60cm dicke Rohre ineinander stapeln. Was soll das werden? Egal. Die Schaltung im Artikel bringt ca. 270mA/6V mit einem Gleichrichter. Aus der Ferne betrachtet würde ich sagen, daß dein "Trafo" noch deutlich mehr Streuinduktivität hat als der im Artikel, denn deine Innenspule hat deutlich weniger Fläche als die Außenspule. Miss mal den Koppelfaktor k. Dazu betreibst du das Ding im Leerlauf mit Gleichrichter, die Formel steht im Artikel.
OK, das hast du schon. "Im Leerlauf (ohne Last und Spannungsregler) hat die Schaltung am Ausgang ca. 7,5V." Wenn du die Schaltung auch mit 12V am Sender betreibst, kommt da ein k = 0,3 raus, nochmal deutlich weniger als im Artikel. Also musst du deinen Trafo besser wicklen.
Ja ich habe mit meinen Werten sogar nur k=0,26 ausgerechnet. Was heißt besser Wickeln? Andere Windungszahl, enger Wickeln? Der Abstand wird wie gesagt später enger, was den Koppelfaktor ja etwas erhöhen wird, allerdings fällt durch das Metallrohr auch wieder Spannung ab wie du bereits gemeint hast, das habe ich im Versuch bereits gesehen. Aber daran kann ich konstruktiv leider nichts ändern.
@ Mikrocontroller Xxx (kifab) >Was heißt besser Wickeln? Andere Windungszahl, enger Wickeln? Die beiden Wickelkörper für innere und äußere Spule müssen weniger Abstand haben. Nimm KEINE Pappe, das war damals ein absoluter "es muss schnell gehen, ich hab nix besseres" Murks ;-) >Der Abstand wird wie gesagt später enger, was den Koppelfaktor ja etwas >erhöhen wird, Wie eng? Wobei man sich bei 60cm locker 10mm Abstand leisten kann, der relative Abstand ist damit immer noch klein. > allerdings fällt durch das Metallrohr auch wieder Spannung Die fällt nicht nur, die wird praktisch zu 100% kurzgeschlossen ;-) >ab wie du bereits gemeint hast, das habe ich im Versuch bereits gesehen. >Aber daran kann ich konstruktiv leider nichts ändern. Was soll es INSGESAMT werden? Area51 Geheimprojekt? https://www.mikrocontroller.net/articles/Netiquette#Klare_Beschreibung_des_Problems
Eine Spule um ein Metallrohr wickeln ist eine gaaanz schlechte Idee.
Falk B. schrieb: > Wie eng? Wobei man sich bei 60cm locker 10mm Abstand leisten kann, der > relative Abstand ist damit immer noch klein. Wenige mm. In meinem Versuch ist die Spannung durch ein Metallkern, welcher die innere Spule fast gefüllt hat, um ca. 1V gefallen also nicht komplett kurzgeschlossen. Wie sich das jedoch auf ein Rohr auswirkt habe ich nicht getestet, und was passiert, wenn das ganze dann größer ist, habe ich auch noch nicht getestet. Falk B. schrieb: > Was soll es INSGESAMT werden? Area51 Geheimprojekt? Das ist schwer zu beschreiben, weshalb ich auch nichts dazu geschrieben habe. Aber mal so viel: Man kann sich ein Metallmast Vorstellen (inneres Rohr), welcher drehbar gelagert ist. Dieser beinhaltet Elektronik, welche mit Energie versorgt werden muss. Ja ich weiß dass es Möglichkeiten wie Schleifkontakte gibt, aber es gibt Gründe, weshalb ich auf diese Lösung fokussiert bin.
@Mikrocontroller Xxx (kifab) >In meinem Versuch ist die Spannung durch ein Metallkern, welcher die >innere Spule fast gefüllt hat, um ca. 1V gefallen also nicht komplett >kurzgeschlossen. Das klappt nur, wenn das Metall ein eher schlechter Leiter ist, wie z.B. Stahl. >Aber mal so viel: Man kann sich ein Metallmast Vorstellen (inneres >Rohr), welcher drehbar gelagert ist. Dieser beinhaltet Elektronik, >welche mit Energie versorgt werden muss. Naja, ich bleibe skeptisch. Wenn es nicht funktionieren sollte, musst du die Geometrie ändern. D.h. du musst 2 oder mehrere Teilspulen außen auf das Rohr wicklen, natülich gebogen, so ähnlich wie das bei Röhrenfernsehern gemacht wurde. https://www.lernhelfer.de/sites/default/files/styles/square_thumbnail/public/lexicon/image/BWS-PHY-0015-06.gif?itok=nvMly0Qj Das Gleich dann invers für die Außenspulen. Dein inneres Rohr muss dann mit einer Ferritverkleidung belegt werden, damit das Metallrohr abgeschirmt wird. Aber zu deinem Test JETZT. Nimm eine Kunststoffflasche (nur echt mit 3 f ;-), wickle die Sekundärwicklung drauf, dann wickelst du mehrere Schichten Pappe drauf bis der gewünschte Abstand erreicht ist, mit Klebeband fixieren und danach die Primärwicklungen. So hast du einfach und solide einen Trafo gewickelt, der nicht in sich zusammenfällt.
GFK-Rohr? Oder GFK-Rohr in der Übertragungssektion?
Was mir auch noch nicht ganz klar ist, was sagt den der Koppelfaktor genau aus, bzw. was kann ich damit berechnen? Klar, er gibt Aufschluss darauf wie gut die Primärspule mit der Sekundärspule gekoppelt aber wo liegt dabei dann der Unterschied zum Wirkungsgrad? Kann ich dann sagen, dass Usek=(Uprim*Nsek)/Nprim*k ? (Aus der Formel: Uprim/Usek=Nprim/Nsek)
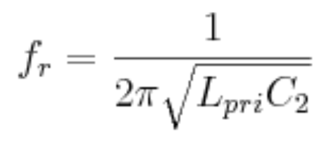
Ich habe jetzt einen anderen Aufbau gemacht. Am Ende des Rohrs habe ich nun eine Spule angebracht. Dann habe ich zu der spule eine zweite Spule (Primäre Spule) parallel montiert, sodass diese nun nicht mehr ineinander liegen, sondern parallel zueinander stehen. Somit ist das Rohr nicht mehr in der Spule, sondern die Spulen sind jetzt stirnseitig montiert. Ich hoffe das ist so verständlich beschrieben. So komme ich auf deutlich bessere Werte. Nun zwei Fragen zur Leistungsverbesserung, da die Leistung immer noch etwas vermindert wird, weil ich an der Stirnseite immer noch in der Nähe von dem Rohr bin: -Wenn ich die die Schaltung anstatt den 12V an 24 Volt betreiben möchte, muss ich nur die beiden Transistoren auswechseln, damit Vce die höhere Spannung aushält. Oder muss ich noch etwas anderes ändern? -Außerdem: Ich kann ja den Kopplungsfaktor verbessern, wenn ich den Sekundärkreis auf die Resonanzfrequenz vom Primärkreis abgleiche, indem ich im Sekundärkreis ein Kondensator parallel zur sekundär Spule einbaue. Wie genau gehe ich da nun vor? Messe ich die Resonanzfrequenz im Primärkreis und rechne dann den Kondensator über die Formel (siehe Bild) aus (Natürlich jetzt mit der Induktivität von Sekundärkreis) und löte diesen dann einfach parallel ein?
@Mikrocontroller Xxx (kifab) >Was mir auch noch nicht ganz klar ist, was sagt den der Koppelfaktor >genau aus, Er sagt aus, wieviel Prozent des Magnetfelds der Primärspule auch durch die Sekundärspule gehen. > bzw. was kann ich damit berechnen? Die Ausgangsspannung sowie die parasitären Streuinduktivitäten. Das ist der Teil des Magnetfelds, welcher an der Sekundärspule vorbei fließt. Im Trafo-Ersatzschaltbild sind das Längsinduktivitäten zwischen Primär- und Sekundärspule. >Sekundärspule gekoppelt aber wo liegt dabei dann der Unterschied zum >Wirkungsgrad? Der Koppelfaktor betrachtet nur die Verhältnisse des Magnetfelds, der Wirkungsgrad die Verhältnisse der Energie. Auch mit 50% Koppelfaktor kann man deutlich über 50% Wirkungsgrad erreichen. >Kann ich dann sagen, dass Usek=(Uprim*Nsek)/Nprim*k ? Ja. >Ich habe jetzt einen anderen Aufbau gemacht. Am Ende des Rohrs habe ich >Ich hoffe das ist so verständlich beschrieben. Warum machst du nicht einfach ein Bild? >So komme ich auf deutlich bessere Werte. Aha ;-) >-Wenn ich die die Schaltung anstatt den 12V an 24 Volt betreiben möchte, >muss ich nur die beiden Transistoren auswechseln, damit Vce die höhere >Spannung aushält. Oder muss ich noch etwas anderes ändern? Du musst ggf. die Anzahl der Windungen auf der Steuerwicklung vermindern, damit die Basen der Transistoren nicht zuviel Sperrspannung abbekommen. >-Außerdem: Ich kann ja den Kopplungsfaktor verbessern, wenn ich den >Sekundärkreis auf die Resonanzfrequenz vom Primärkreis abgleiche, indem >ich im Sekundärkreis ein Kondensator parallel zur sekundär Spule >einbaue. Ja. >Wie genau gehe ich da nun vor? Messe ich die Resonanzfrequenz im >Primärkreis Und den Koppelfaktor. >und rechne dann den Kondensator über die Formel (siehe Bild) Nein, dafür gibt es eine andere Formel, siehe Artikel. >aus (Natürlich jetzt mit der Induktivität von Sekundärkreis) und löte >diesen dann einfach parallel ein? Ja.
Vielen Dank. Das bringt mich jetzt enorm weiter. Stimmt da habe ich die falsche Formel gepostet. Noch eine Verständnisfrage: Wenn ich den Koppelfaktor für die Formel benötige, ist dass dann der Koppelfaktor vor dem Abgleich? Ändert sich der Koppelfaktor nicht durch den Abgleich? Was passiert wenn ich nicht genau auf die gleiche Resonanzfrequenz komme? Sehe ich dann trotzdem schon Verbesserungen an der Übertragung gegenüber dem nicht abgeglichenen System wie jetzt, oder sehe ich dass nur wenn ich ziemlich genau darauf liege? Denn wenn ich den Sekundärkreis belaste ändert sich ja wieder die Resonanzfrequenz im Primärkreis sodass der Abgleich ja nicht mehr genau gegeben ist.
@Mikrocontroller Xxx (kifab) >Noch eine Verständnisfrage: Wenn ich den Koppelfaktor für die Formel >benötige, ist dass dann der Koppelfaktor vor dem Abgleich? Ja sicher. > Ändert sich >der Koppelfaktor nicht durch den Abgleich? Nur der scheinbare. >Was passiert wenn ich nicht genau auf die gleiche Resonanzfrequenz >komme? Sehe ich dann trotzdem schon Verbesserungen an der Übertragung >gegenüber dem nicht abgeglichenen System wie jetzt, Ja,
Alles klar. Vielen Dank,dann werde ich das nun mal versuchen.
Bitte melde dich an um einen Beitrag zu schreiben. Anmeldung ist kostenlos und dauert nur eine Minute.
Bestehender Account
Schon ein Account bei Google/GoogleMail? Keine Anmeldung erforderlich!
Mit Google-Account einloggen
Mit Google-Account einloggen
Noch kein Account? Hier anmelden.

