Hallo! Wie der eine oder andere bereits mitbekommen hat, beschäftige ich mich schon seit mehr als 25 Jahren mit der Umsetzung experimenteller Physikprojekte. Vieles habe ich schon mehr oder weniger erfolgreich umgesetzt, einiges geistert mir noch im Kopf herum. Zu letzterem zählt auch ein Startosphärenballon. Ich bekomme nachwievor echte Gänsehaut, wenn ich Aufnahmen von Stratosphärenballons anderer Bastler sehe, welche erstens die Erdkrümmung und zweitens den tiefschwarzen Weltraum zeigen. Genau so etwas wäre ein echter Traum von mir. Von daher unterscheide ich mich wohl in keinster Weise von einem 5 jährigen Kind ;-) Was mich immer davon abhalten ließ, war die in meinen Augen große Gefährlichkeit eines solchen Stratosphärenballons. Denn ich möchte niemals im schlimmsten Fall für einen Flugzeugabsturz verantwortlich sein. Da würde es mir auch ehrlich gesagt nichts helfen, wenn ich durch die notwendigen und eingebrachten Genehmigungen rechtlich unschuldig wäre. AATiS hat ja mit ihrem AS825 Phönix ein Miniballonprojekt in ihrem Portfolio: https://aatis.de/content/bausatz/AS825_Phoenix-Der_Stratosph%C3%A4renfl%C3%BCsterer Vom Gewicht her dürfte dieses eigentlich keinerlei Gefahr für den Flugverkehr bedeuten und wäre so weit ich das überblicke sogar genehmigungsfrei. Man bräuchte halt eine Amateurfunklizenz. Einziges Manko: Die aufgezeichnete Position, Druck und Temperatur sind nur ein schwacher Erssatz für Bilder des Weltraums und der Erdkrümmung. Könnte man das AATiS-Projekt mit einer federleichten Drohenkamera ergänzen und so noch weiterhin weitestgehend "genehmigungsfrei" bleiben? Wohl nicht oder? Und was mich zum Schluß auch noch brennend interessieren würde: Hat jemand von euch bereits einen Stratosphärenballon gestartet? Falls ja, was waren die Erfahrungen daraus bzw. welche Tipps könnte er/sie einem Inspiranten wie mir geben? Ich hatte sogar einmal im Rahmen einer sog. Fachbereichsarbeit für die Matura/Abitur das Thema Stratosphärenballon. Leider legte sich der Schüler nicht wirklich ins Zeug und so blieb es letztlich nur bei einem Ballonstart an der Schnur im Schulhof mit Heliumballon und meinem Handy zur Videoaufnahme. Das Thema war aber ehrlich gestanden auch zu komplex für einen Schüler und mich, da ich diesbezüglich auch auf keinerlei Erfahrungen zurückgreifen konnte...
Christoph E. schrieb: > Und was mich zum Schluß auch noch brennend interessieren würde: Hat > jemand von euch bereits einen Stratosphärenballon gestartet? Falls ja, > was waren die Erfahrungen daraus bzw. welche Tipps könnte er/sie einem > Inspiranten wie mir geben? Nein. Bin nicht wirklich der Experte, aber ich habe erst kürzlich einen Artikel gelesen, bei dem es auch um das Thema geht. https://spectrum.ieee.org/explore-stratosphere-diy-pico-balloon
Christoph E. schrieb: > Vom Gewicht her dürfte dieses eigentlich keinerlei Gefahr für den > Flugverkehr bedeuten und wäre so weit ich das überblicke sogar > genehmigungsfrei. Sieht für mich nicht danach aus: https://www.gesetze-im-internet.de/luftvo_2015/__20.html In der EU-Durchführungsverordnung, auf die dort verwiesen wird, steht dann drin, was bei der Kategorie "light" einfacher ist: "An unmanned free balloon, other than a light balloon used exclusively for meteorological purposes and operated in the manner prescribed by the competent authority, shall not be operated across the territory of another State without authorisation from the other State concerned." Quelle: https://eur-lex.europa.eu/legal-content/EN/TXT/?uri=CELEX%3A02012R0923-20250501 Du bräuchtest also weiterhin eine Genehmigung, bloss nicht zusätzlich von anderen Staaten, die überflogen werden. Aber ich bezweifle, dass das, was Du vorhast, unter "exclusively for meteorological purposes" fällt.
Es gibt auch ein Video, wo etwas zu sehen ist: https://www.youtube.com/watch?v=e0HLbov2EO8 Die Teile hätten bei einem Zusammenstoß mit einem Flugzeug auf dem Weg bis nach oben und beim wieder Herunterkommen ein nicht unerhebliches Schadenspotential. Das ungünstigste Szenario wäre, wenn im Cockpit eine Scheibe defekt ginge. Durch den Unterdruck würde auch niemand mehr die Cockpit-Tür öffnen können. Da nutzt es nichts mehr, wenn die Piloten die Verriegelung lösen könnten. Als kleine Aufgabe könntest Du ja mal die Klasse ausrechnen lassen, welche Kraft auf einer Tür mit 70x160cm bei 100mbar lasten. Mit dem Hebelgesetz welche Kraft am Türgriff notwendig wäre, wäre auch eine schöne Aufgabe. Aus diesem Grunde würde ich so einen Flug immer anmelden, Es gibt bestimmt auch Auflagen, wieviel Aluminiumfolien oder versilbertes Drahtgeflecht für genügend Radarrückstrahlung vorhanden sein muss. Beim Nachfragen zum Anmeldeverfahren wird diese Information bestimmt abgegriffen werden können.
:
Bearbeitet durch User
> Und was mich zum Schluß auch noch brennend interessieren würde: Hat > jemand von euch bereits einen Stratosphärenballon gestartet? Falls ja, > was waren die Erfahrungen daraus bzw. welche Tipps könnte er/sie einem > Inspiranten wie mir geben? Frag mal unter den Funkamateuren, die machen das öfters. Ein paar Tipps auf die Schnelle: * bei der Flusicherung anmelden, die Freigabe ist an einem bestimmten Bedeckungsgrad gebunden, den sollte man abschätzen können * Handschuh anziehen, die abgleitende Schnur hat schon manche Striemen hinterlassen * Das Bergungsteam erst losschicken wenn der Ballon tief gefallen ist, der ändert im Fallen schon mal wegen der vertikalen Wirbel die Position. Die Landung zu beobachten ist eher illusiorisch. *Wenn der Peilsender nicht einschaltet weil falsche bedingung programmiert wird suchen langwierig. *beim APRS führen in großere Höhe viele Hops eher zu Beschwerden wegen Mehrfachpaketen; in geringer Höhe ist man froh das man eine Station sieht an die man das Paket los wird. * https://www.heise.de/ratgeber/Einen-eigenen-Wetterballon-basteln-und-starten-10250817.html * https://www.darc.de/der-club/distrikte/c/ortsverbaende/19/stratosphaerenballon/
Dieter D. schrieb: > Das ungünstigste Szenario wäre, wenn im Cockpit eine Scheibe defekt > ginge. Durch den Unterdruck würde auch niemand mehr die Cockpit-Tür > öffnen können. Du hast noch vergessen, dass beide Piloten durch das Loch gesaugt werden, während Crew und Passagiere verzweifelt an der Cockpittür rütteln. Paranoide Wahnvorstellungen durch zuviel RTL? Die Realität sieht natürlich anders aus. Hier der Bericht (mitsamt Fotos) zu einer Kollision mit einem Wetterballon im vergangenen Jahr: https://www.flightradar24.com/blog/wp-content/uploads/2025/11/Report_DCA26LA012_201877_11_20_2025-2_59_20-PM.pdf "The cabin pressurization remained stable, with no fluctuations throughout the flight." "Windshields are certified to withstand the impact of a four-pound bird without penetration, to be capable of withstanding the maximum cabin pressurization loads with the failure of a single pane, and the internal pane must be non-splintering."
* https://www.u08.de/archive/479 (war dabei) * https://sfz-bw.de/wp-content/uploads/2024/03/Abgabe-Jufo.pdf (dabei nicht) * Beitrag "Stratosphären-APRS-Ballon gerade gestartet" im Forum dokumentiert * Beitrag "(S) Sachen fuer Funkamateure Ballon" (noch mehr aus alten Forumszeiten) * Beitrag "Stratosphärenballon" (frag mal den Feinmechaniker)
:
Bearbeitet durch User
Keine Ahnung ob das was taugt bin da gerade zufällig drübergestolpert als ich auf Heise war: https://www.heise.de/news/Wetterballon-im-Selbstbau-c-t-uplink-11201154.html https://www.heise.de/news/c-t-Videoreihe-Wir-starten-einen-eigenen-Wetterballon-11166579.html https://www.heise.de/news/c-t-Videoreihe-Wir-basteln-unseren-Wetterballon-zusammen-Teil-2-11200245.html https://www.heise.de/news/c-t-Videoreihe-Wir-verfolgen-unseren-Wetterballon-Teil-3-11208785.html https://www.heise.de/news/c-t-Videoreihe-Das-haben-wir-aus-unserem-Wetterballon-Flug-gelernt-Teil-4-11217818.html
Hmmm schrieb: > Du hast noch vergessen, dass beide Piloten durch das Loch gesaugt > werden, Oh ja, die sind aber meistens auch angeschnallt. Warum eigentlich? ;) > Hier der Bericht (mitsamt Fotos) zu einer Kollision mit einem Wetterballon im vergangenen Jahr: Um so einen Schaden zu begleichen, ist Christophs Taschengeldbudget einfach viel zu klein. Oder bist Du da anderer Ansicht?
Vielen Dank einmal für eure Antworten und links. Österreich ist halt auch ein ziemlich ungünstiges Land für solch ein Projekt. Erstens gibt es hier in den Alpen sehr viele, schwer zugängliche Orte u.a. Mit Funkloch und zweitens ist der Ballon bald einmal außer Landes. Ich hatte vor gut 18 Jahren schon einmal so einen GPS tracker mit Sim-Karte gekauft. Der schlummert seitdem in einer meiner Physikkisten. Das gibt es heute mit Sicherheit deutlich kleiner und leichter... P.S.: Schäden am Linienflugzeug zahle ich aus meiner Portokassa 😉 Aber im Ernst: Bei schwereren Stratosphärenballons ist eine Haftpflichtversicherung vorgeschrieben. Ich könnte wohl nicht einmal den Verlust des Pilotenkoffers begleichen...
:
Bearbeitet durch User
Ich habe das schon dreimal gemacht. Hat wirklich Suchtpotential: https://youtube.com/playlist?list=PLvhZUtKHKChwbAkUqxiH3drvAtvwRBWAX Ein Einstieg könnte diese Seite hier sein: https://www.stratoflights.com/ Ist zwar letztendlich ein Shop für alles was man so braucht. Aber es gibt viele praktische Tipps und Infos. Es gibts neben der Technik leider auch relativ viel Papierkram. Man braucht eine Genehmigung und muss Eine Versicherung nachweisen. Der Ballon oder besser die Nutzlast muss gewisse Kriterien erfüllen. Sonst gibt's keine Genehmigung. Und Abstand zu Flughäfen muss auch eingehalten werden. Aber das ist alles machbar. Die Technik sollte gut getestet sein und vor allem die Positionsmeldung sollte redundant sein. Einmal ist uns der Ballon beim start kurz in einem Baum hängen geblieben wodurch Teile der Technik ihre Stromversorgung eingebüßt hatten. Zum Glück hatten wir aber ein zweites GPS Modul an Bord, dass mit einem kleinen Arduinoboard gekoppelt war. Das hatte noch autark Strom und hat die Position munter weiter verschickt. So haben wir den Ballon dann auch wieder gefunden.
Christoph E. schrieb: > Hat jemand von euch bereits einen Stratosphärenballon gestartet? Falls > ja, was waren die Erfahrungen daraus Nein, aber von einem gehört. Der brauchte eine Aufstiegsgenehmigung, gab eine NOTAM heraus und meldete das bei der Flugsicherung DFS. Das geht auch als Privatperson. Keine Ahnung, ob der Ballon bestimmte Regeln einhalten musste, Radarreflektoren oder so.
> Österreich ist halt auch ein ziemlich ungünstiges Land für solch ein > Projekt. Erstens gibt es hier in den Alpen sehr viele, schwer > zugängliche Orte u.a. Also in der Haupstadt Niederbayerns, in Landshut, war der Aufwand überschaubar. Je nach Ort in Österreich ist Landshut als Startpunkt nicht soweit weg... so 2h von Linz oder Salzburg. Aber sicher sollte auch was direkt in Österreich gehen. > Ich hatte vor gut 18 Jahren schon einmal so einen GPS tracker mit > Sim-Karte gekauft. Der schlummert seitdem in einer meiner Physikkisten. > Das gibt es heute mit Sicherheit deutlich kleiner und leichter... Statt GSM-SIM nimmt man APRS. OK, dafür sollte eine amateurfunklizenz haben und da sollte sich auch in Österreich genügend finden lassen. https://aprs.at/
:
Bearbeitet durch User
Solange die Statosphärenballone nicht so weit fliegen, dass die Nichtscheibenform der Erde zu gut sichbar wird, ist alles in Ordnung. ;) Christoph E. schrieb: > Ich hatte vor gut 18 Jahren schon einmal so einen GPS tracker mit > Sim-Karte gekauft. Der schlummert seitdem in einer meiner Physikkisten. Den kannst Du wahrscheinlich nicht mehr lange nutzen, weil der sicherlich noch nicht LTE-tauglich ist und 2G abgeschaltet wird. Früher hättest Du durch einbringen des Trackers (oder nur der Platine daraus wegen des Gewichts) bei so einem Projekt mitmachen können.
Vielen Dank für eure Kommentare. Ich könnte natürlich auch einmal versuchen, mich bei einem bereits organisierten Ballonstart dranzuhängen und zu fragen, ob sie etwa gegen eine Spende eine Minikamera mitnehmen würden. Problem ist, ich möchte in der Regel so gut wie alles alleine auf die Beine stellen. Bin nicht wirklich ein Teamplayer, war schon bei meinen Studien so. Lerngruppen etc. gab es bei mir absolut nicht, alles alleine umgesetzt. Aber in diesem Fall wäre es wohl sinnvoller, sich mit anderen, z.B. Amateurfunkern, kurzzuschließen. Gerade eben noch den uralten GPS-Tracker hervorgekramt. Ob das Ding noch funktioniert, müsste ich prüfen. Aber die gibt es ja neu auch um kleines Geld...
:
Bearbeitet durch User
Dieter D. schrieb: > Den kannst Du wahrscheinlich nicht mehr lange nutzen, weil der > sicherlich noch nicht LTE-tauglich ist und 2G abgeschaltet wird. Insbesondere ist es in der Schweiz bereits abgeschaltet – falls der Ballon in diese Richtung fliegen sollte. Christoph E. schrieb: > Aber die gibt es ja neu auch um kleines Geld... Du solltest dich insbesondere kundig machen, bis zu welcher maximalen Höhe die jeweiligen Geräte funktionieren. Bei zivilen Geräten sind in der Regel Grenzen implementiert, damit sie nicht militärisch genutzt werden können. Ein Beispiel: https://portal.u-blox.com/s/question/0D52p0000CIel9sCQB/are-all-ublox-gnss-receivers-able-to-operate-at-altitudes-above-60000-feet-without-modifications-in-the-distant-past-gps-receivers-were-inoperative-above-that-altitude-due-to-dod-concerns
Christoph E. schrieb: > Einziges Manko: Die aufgezeichnete Position, Druck und Temperatur sind > nur ein schwacher Erssatz für Bilder des Weltraums und der Erdkrümmung. > Könnte man das AATiS-Projekt mit einer federleichten Drohenkamera > ergänzen und so noch weiterhin weitestgehend "genehmigungsfrei" bleiben? > Wohl nicht oder? Das hängt meines wissens vom Gewicht ab. Aber es ist auch je nach Land unterschiedlich. Im Amateurfunk starten viele ihre Ballone mit Horus transponder (Umprogrammierte kommerzielle Radiosonde), das sind wenige gramm Nutzlast. https://amateur.sondehub.org/ Zur Live-Bildübertragung wird wenet verwendet: https://github.com/projecthorus/wenet Aber da braucht es jemanden mit Amateurfunkkonzession im Team. Viele Hilfsbereits Leute gibt es in den Telegram-Gruppen "horus_flights", "Radiosonde D-A-CH" und auf dem Discord-Server von sondehub.
Jörg W. schrieb: > Du solltest dich insbesondere kundig machen, bis zu welcher maximalen > Höhe die jeweiligen Geräte funktionieren. Bei zivilen Geräten sind in > der Regel Grenzen implementiert, damit sie nicht militärisch genutzt > werden können. Da muss man ggf. probieren, ob die chinesischen GPS-Module das genau so machen
Christoph E. schrieb: > Ich bekomme nachwievor echte Gänsehaut, wenn ich Aufnahmen von > Stratosphärenballons anderer Bastler sehe, welche erstens die > Erdkrümmung und zweitens den tiefschwarzen Weltraum zeigen. Wenn der Horizont genau durch die Bildmitte geht, ist von der Krümmung aber irgendwie nichts mehr zu erkennen. Die Krümmungen kommen eher von den Weitwinkel-Optiken der Cams.
Christoph E. schrieb: > Problem ist, ich möchte in der Regel so gut wie alles alleine > auf die Beine stellen. Bin nicht wirklich ein Teamplayer, war schon bei > meinen Studien so. Lerngruppen etc. gab es bei mir absolut nicht, alles > alleine umgesetzt. Diesen Ansatz solltest Du in der Fliegerei ueberdenken: Einen Ballon auf FL1000 (ca. 30km) zu bringen, der nicht einfach auseinander faellt, ohne Andere zu gefaehrden, anschliessend wieder bergen bei einer Aussenlandung, ist schon ein Team-Effort. Allein wenn Dein Ballon abtreibt und die Diskussion mit AT, Slowenien, Ungarn, Versicherungsfragen. Ich wuerde auf alle Faelle einen Verein suchen, die schon mal Wetterballons gestartet haben. Und vergiss nicht: Du musst nicht alle Fehler selbst machen, benutze die Erfahrung Deiner Vorgaenger.
Hier bekommst Du alles, was für eine erfolgreiche Durchführung notwendig ist: https://www.stratoflights.com/ Um das Gas, die Aufstiegsgenehmigung, die Versicherung und natürlich das Team für den Start und die Verfolgung mußst Du Dich selber kümmern. Viele Schulprojekte zeigen, dass sämtliche Probleme durchaus von Nichtfachleuten lösbar sind.
:
Bearbeitet durch User
Christoph E. schrieb: > Und was mich zum Schluß auch noch brennend interessieren würde: Hat > jemand von euch bereits einen Stratosphärenballon gestartet? Falls ja, > was waren die Erfahrungen daraus bzw. welche Tipps könnte er/sie einem > Inspiranten wie mir geben? Ja, habe bereits mehrfach welche gestartet. In Deutschland ist die Genehmigung recht einfach zu bekommen, im Vergleich zu Österreich, darum habe ich damals immer in DE gestartet. Die Genehmigung kam vom Luftfahrtamt Südbayern, dazu brauchte es das Einverständnis des Grundstückbesitzers (ein Bekannter OM), der Gemeinde (war per E-Mail kein Problem) sowie einen Versicherungsnachweis. Bei Peschke gibt es eine eigene Versicherung für solche Aktionen, die ca. 100 Euro kostet. https://www.peschke-muc.de/versicherungen/luftfahrtversicherungen/angebot-wetterballonversicherung/ Schau unbedingt, dass du laut SERA in die Klassifikation "leicht" fällst, sonst wird die Bewilligung viel komplexer. https://www.stratoflights.com/downloads/SERA-Anlage2-Ballone.pdf Generell wird vor allem hier im Forum sehr viel Blödsinn spekuliert, sobald es um Ballone geht, da wird dann von ITAR GPS, irgendwelchen fiktiven Batterieproblemen etc. gesprochen, alles halb so wild, der DWD startet in Deutschland jeden Tag dutzende Ballone, das ist Standardelektronik mit Lithiumbatterien. https://www.weather.gov/media/upperair/Documents/RS41-NG%20Datasheet%20B212114EN-A.pdf https://github.com/bazjo/radiosonde_hardware/tree/master/Vaisala_RS41 Die RS41 ist derzeit in Europa Standard für Wettermessungen, im Endeffekt ein STM32 Devboard mit ein paar Sensoren. Als Tracker habe ich genau so eine RS41 verwendet, die habe ich selbst "gefangen" und dann die Frequenz umprogrammiert auf einen "freien" slot, die Genehmigung zum Betrieb im "Wettersondenband" (ca. 403MHz) hat keine 20,- gekostet einmalig. Damit hat man dann den Vorteil, dass der eigene Ballon auf den ganzen Wettersonden Trackingseiten aufscheint, weil es ja eine "echte" Sonde ist und kein Eigenbau. https://radiosondy.info/ Die RS41 hat auch ein sog. "xdata interface" im Endeffekt ein UART, da kann man eigene Daten einspeisen, die dann von der Sonde mitgeschickt werden, ich habe damals noch ein paar Housekeepingwerte meiner eigenen Elektronik mitgeschickt. Die RS41 habe ich einfach außen an meine Styroporkiste geklebt. mfg
Bradward B. schrieb: > Die Landung zu beobachten ist eher illusiorisch. Eine Drohne sollte den runter kommenden Ballon anhand seiner GPS- und Barometerdaten schnell genug anfliegen können und dann kann man per FPV zugucken. Jörg W. schrieb: > Bei zivilen Geräten sind in der Regel Grenzen implementiert, damit sie > nicht militärisch genutzt werden können. Manche Hersteller interpretieren diese CoCom Grenzwerte als UND-verknüpft, andere als ODER. Für Ballontauglichkeit muss der verwendete GPS Empfänger Höhengrenzwert (60000 ft) und Geschwindigkeitsgrenzwert (515 m/s) als UND-verknüpft bewerten. Von der UK High Altitude Society gibt es eine Empfehlungslist. https://ukhas.org.uk/doku.php?id=guides:gps_modules Andi M. schrieb: > Der Ballon oder besser die Nutzlast muss gewisse Kriterien erfüllen. Auch darf die Bruchlast der Schnur zwischen Fallschirm und Nutzlast aus Sicherheitsgründen einen Wert von 230 N nicht überschreiten. https://edocs.tib.eu/files/e01fb20/1703404912.pdf
Hier sind die Startplätze und Zeiten in Österreich, an denen die Wettersonden gestartet werden: http://radiosondes.la-radio.eu/RS00-D/RS02Q-D.html Vielleicht kannst du dich vor Ort mal mit denen treffen. In Wien kann man sicher dabei sein, an den anderen Startpunkten freuen sich die Meteos aber bestimmt auch, wenn du Interesse zeigst, und sie klären dich sicher gerne auf, erst recht, wenn du das als Schulprojekt deklarierst. Auf der Seite https://www.wettersonde.net/index.php kannst du dir einen Eindruck machen, wie weit so eine Wettersonde fliegt, (oder sagt man beim Wetterballon auch "fährt"?). Ich tracke die auch ab und an mal. Manche fahren sehr weit, manche dümpeln nur vor sich hin, andere fahren Z-förmig, weil es in verschiedenen Höhen eben auch verschiedene Windrichtungen und -geschwindigkeiten gibt. Theoretisch kann es schon möglich sein, dass du da was leichtes huckepack mitnehmen lassen kannst, denn die schicken ja auch ab und an Zusatzsensoren, wie z. B. Ozonmessgeräte mit. Das Problem ist, dass du die Sonde vor den Sondenjägern finden musst, oder sie ein ehrlicher findet, der die Kamera dann an dich zurückschickt. Wenn da "Schulprojekt" draufsteht, ist die Wahrscheinlichkeit höher, dass du sie zurückbekommst.
:
Bearbeitet durch User
Vielen Dank für eure Informationen, alles sehr spannend. Was machen eigentlich meteorologische Stationen, sammeln sie die gelandeten Wetterballone eigentlich wieder ein oder kümmern sie sich nicht mehr um diese? Einen GPS-Tracker habe diese aber bestimmt alle oder? Denn sie wollen ja die Messwerte auch einem Ort zuordnen können. Von daher wüssten sie eigentlich, wo der Ballon gelandet ist. Diese Information bräuchte ich natürlich auch, denn sonst kann ich ganz Österreich oder noch schlimmer, Bayern abgrasen ;-)
Da haben Bekannte von mir mit Materialspenden mitgeholfen: War eine reine Schul-AG. https://lessing-gymnasium-karlsruhe.de/cm3/index.php/neues/316-projekt-stratos
Christoph E. schrieb: > Vielen Dank für eure Informationen, alles sehr spannend. > > Was machen eigentlich meteorologische Stationen, sammeln sie die > gelandeten Wetterballone eigentlich wieder ein oder kümmern sie sich > nicht mehr um diese? Einen GPS-Tracker habe diese aber bestimmt alle > oder? Denn sie wollen ja die Messwerte auch einem Ort zuordnen können. > Von daher wüssten sie eigentlich, wo der Ballon gelandet ist. Diese > Information bräuchte ich natürlich auch, denn sonst kann ich ganz > Österreich oder noch schlimmer, Bayern abgrasen ;-) Nein, die werden nicht eingesammelt, Ausnahme sind Sondermessgeräte wie zB. Ozon/Partikel, die werden eingesammelt. 99% der normalen Sonden, nicht, ja, sie haben alle GPS (ich hab dir eh das Datenblatt der Sonde und sogar den Schaltplan verlinkt) und nein, damit alleine kann man die Sonde nicht finden. Der "Funkkontakt" zur Sonde reißt meist bei mehreren hundert Metern über Grund ab, wenn man nicht in der Nähe ist, in diesen paar hundert Metern kann die Sonde noch weit fliegen, wenn du da nicht innerhalb von 1-2h nach der Landung ungefähr vor Ort bist, findest du die Sonde kaum. Das Teure am Start ist das Helium, der Ballon und die Arbeitszeit, die Sonde selber ist ein Wegwerfprodukt, früher als die Gummistiefel noch aus Holz waren, hat man die Sonden gesammelt und neu kalibrieren lassen, macht man seit 25 Jahren nicht mehr. mfg
Christoph E. schrieb: > Vielen Dank für eure Informationen, alles sehr spannend. > > Was machen eigentlich meteorologische Stationen, sammeln sie die > gelandeten Wetterballone eigentlich wieder ein oder kümmern sie sich > nicht mehr um diese? Eine Menge Leute (inkl. mir selber) haben es sich zum Hobby gemacht, diese einzusammeln. Hier kannst du die Flüge in Echtzeit verfolgen (Die meisten Starts gibt es um 0 Uhr und 12 Uhr: https://sondehub.org Es gibt diverse Firmwares um diese Sonden für Amateurzwecke umzuprogrammieren. Für die bei uns am meisten verbreitete RS41 Sonde von Vaisala gibt es RS41ng: https://github.com/mikaelnousiainen/RS41ng Für die teuren Sonden (Ozonmessgerät) bekommt man oft etwas Geld wenn man sie einschickt.
F. M. schrieb: > Nein, die werden nicht eingesammelt, Ausnahme sind Sondermessgeräte wie > zB. Ozon/Partikel, die werden eingesammelt. Auch die sonden mit Sondermessgeräten werden nicht direkt eingesammelt, aber es wird gebeten, sie zurückzuschicken, so meine letzte Info. Die normale Sonde von Vaissala kostet mit Ballon so ca 300 €. Was den Funkkontakt betrifft, der reicht weit. Ich empfange die im Brenztal (Giengen an der Brenz) im Tal mit einer 2 m/70 cm-Kombiblumentopfantenne, also quasi nur ein RG50-Koaxialkabel, an dem ich einen Teil der Schirmung abgenommen habe, wenn die Sonde 5...7 km über Stuttgart aufgestiegen ist. Ab da kann ich die Daten decodieren, und bekomme Steig-/Fallgeschwindigkeit, Luftdruck, Feuchte, Temperatur, Fahrtgeschwindigkeit, Richtung, Koordinaten, Entfernung ebenerdig und auch mit dem eingerechneten Höhenwinkel. Die Seriennummer der Sonde wird ebenso übertragen, wie auch die aktuelle Batteriespannung, und wann sie sich endgültig abschaltet. Eine Sonde ist mal drei km von meinem Wohnort gelandet. habe sie noch länger auf ca 700 m Höhe empfangen, ohne dass sie ihre Position verändert hat, also lag sie laut GPS-Daten von der Sonde auf einem Acker an der AS Giengen-Herbrechtingen der BAB7, der ist ca 700 m über MSL. Du kannst ja mal nach RS41Tracker googeln, das ist die Software. Die hat ein Italiener entwickelt, daher nicht wundern, dass die Homepage mit .it endet. Die Software ist kostenlos, aber Englisch. Da kannst du deinen Standort und Höhe eingeben, dann erscheint der auf der Karte. somit bekommst du auch den Abstand zur Sonde ständig angezeigt, aber auch die Lage derselben. Ebenfalls kannst du auch nen GPS-Empfänger an einen Laptop anschliessen, an dem auch ein SDR-Stick steckt, und die Sonde mit dem Auto verfolgen, also den Abstand so gering wie möglich halten. Das geht aber eigentlich nur, wenn sie in deiner Nähe schon weit unten ist, denn weiter oben zieht die da öfter mit mehr als 200 km/h rüber. Was mir noch aufgefallen ist: Mit der Koaxantenne ist der Empfang logischerweise kaum noch vorhanden, wenn die Sonde in einem Umkreis von 5 km über meinem Standort fährt. Aber das Zugspitzrelais DB0ZU empfange ich hervorragend. Die Inspiration bekam ich von der Seite https://www.richy-schley.de/ Ich habe auch schon mal kurz auswertbare Signale von einer Wettersonde nahe dem Gardasee empfangen, trotz meiner schlechten Tallage. Auf der oben verlinkten Seite Wettersonde.eu kannst du alle Sonden in Europa und tlw auch in den USA in Quasiechtzeit verfolgen, und wenn du die dann anklickst, bekommst du auch die Daten einschliesslich der Empfänger, die die Daten dann auf die Seite übertragen, die sind tlw über 500 km entfernt, arbeiten dann aber nicht mit Koaxantennen :-) Eine Sonde, oder zwei täglich wird auch von einer Bohrinsel vor Norwegen aufgelassen.
Hab grad nicht die zeit den ganzen Threadverlauf zu lesen... @Christoph: Wir haben hier in den 90ern und 2000ern Ballonprojekte realisiert. Organisiert und durchgeführt immer von lizensierten Funkamateuren. Es war oft ein ATV Sender (Amateur TV) an Bord, neben anderen Anwendungen wie GPS, Temperatur, Druck etc. Das Livebild per ATV war immer das Beste an der Sache. Sogar mit einer Luftdruckgesteuerten Umschaltung, die in großer Höhe dann den Ballon filmt, wenn er platzt (!). Vorher war die Kamera nach unten bzw. auf den Horizont gerichtet. Neure Ballonmissionen, von denen ich lese habe eigentlich nie mehr ATV an Bord, was ich schade finde. Warum das so ist weiß ich nicht. Insofern stimme ich Dir zu. Ein Livebild ist ja das wichtigste. Man hat dann eher das Gefühl, man wäre selbst an Bord...
Vielen Dank für eure Informationen. Live-Bild wäre natürlich der absolute Traum, aber ich wäre schon mit einer mitgeführten Minikamera mehr als zufrieden, deren Video dann im Nachhinein betrachtet werden kann. Vorausgesetzt man findet den Ballon nach der Landung, das ist natürlich Glückssache. Wenn so ein Ballon zum Beispiel 100 km abdriftet, dann kann er bei mir in Österreich schon einmal im hochalpinen Gelände landen und deshalb ggf. nicht mehr geortet bzw. gefunden werden. Ich lasse mir einmal alles durch den Kopf gehen. Im Moment bleibt es vorerst bei Träumereien, aber die sind ja bekanntlich auch sehr wichtig für uns Menschen ;-) Danke aber nochmals für die rege Beteiligung und die wervollen Informationen!
Bradward B. schrieb: > * Beitrag "Stratosphärenballon" (frag mal den > Feinmechaniker) ja, frag mal ;-) Demnächst gibt es auch wieder eine Mission bei uns.
> Neure Ballonmissionen, von denen ich lese habe eigentlich nie mehr ATV > an Bord, was ich schade finde. Vermutlich weil: > ich wäre schon mit > einer mitgeführten Minikamera mehr als zufrieden, deren Video dann im > Nachhinein betrachtet werden kann. Sehr viel einfacher ist (fertig käufliche Lösung, GoPro o.ä.)
Georg S. schrieb: > Vermutlich weil: > >> ich wäre schon mit >> einer mitgeführten Minikamera mehr als zufrieden, deren Video dann im >> Nachhinein betrachtet werden kann. > > Sehr viel einfacher ist (fertig käufliche Lösung, GoPro o.ä.) Ist sicher ja auch keine schlechte Lösung. Besonders die Aufnahmequalität ist dabei optimal. Beim ATV Livebild lag der Reiz auch darin, dass viele Leute von zu Hause live zuschauen konnten. Für den Empfang brauchte man ja nur einen analogen SAT Receiver und einen Empfangsvorverstärker (23cm Band). Afu Lizenz ist für den Empfang nicht nötig. Das alte analoge PAL-Bild ist für heutige Augen sicher nicht mehr so attraktiv.
Stefan M. schrieb: > Beim ATV Livebild lag der Reiz auch darin, dass viele Leute von zu Hause > live zuschauen konnten. > Für den Empfang brauchte man ja nur einen analogen SAT Receiver und > einen Empfangsvorverstärker (23cm Band). Heutzutage kann man wenet mit einem 20€ RTLSDR empfangen. Ist halt mehr Diashow als Video. https://www.youtube.com/watch?v=Euo4BGB6wUU
Res schrieb: > Heutzutage kann man wenet mit einem 20€ RTLSDR empfangen. Ist halt mehr > Diashow als Video. Tja, in gewisser Weise ist das für mich kein nennenswerter Ersatz für ATV. Es gibt ja mittlerweile auch digitales ATV basierend auf DVB-S. Da darf es aber keinen Mehrwegeempfang (Reflexionen) geben. Die sind allerdings bei terestrischer Sendung vorprogrammiert. Ich habe nie verstanden, warum man (wenn denn unbedingt alles digital sein muss) man auf dieses Pferd gesetzt hat. DVB-T wäre da von Anfang an besser gewesen. Gibts auch als ATV, ist aber irgendwie ein Exot geblieben. Noch besser wäre ATV, basierend auf der heutigen Drohnentechnik. Ich habe aber keine Ahnung was das für ein Datenstrom ist, der die HD Bilder auf den Monitor der Fernsteuerung zaubert. Und wahscheinlich kann man auch nur einen Empfänger jeweils koppeln (?). Das wäre ein Thema für einen anderen Thread. Falls sich jemand genau damit auskennt... bitte melden.
> Du solltest dich insbesondere kundig machen, bis zu welcher maximalen > Höhe die jeweiligen Geräte funktionieren. Bei zivilen Geräten sind in > der Regel Grenzen implementiert, damit sie nicht militärisch genutzt > werden können. Da gibt es üblicherweise zwei Begrenzungen (Höhe, Geschwindigkeit) die sicherstellen sollen, das die GPS-Gerätschaften nicht in Raketen verwendet werden. Einige Module haben eine ODER-Verknüpfung implentiert (entweder zu hoch (18,000 m) oder zu schnell (1,900 km/h)), andere eine UND-verknüpfung. Nur letzteres trifft auch auf Raketen zu. > Live-Bild wäre natürlich der absolute Traum, aber ich wäre schon mit > einer mitgeführten Minikamera mehr als zufrieden, deren Video dann im > Nachhinein betrachtet werden kann. Also üblich sind eher Standbilder aller paar Sekunden auf die SD-card des mitfliegenden RasPi o.ä. gespeichert. Auch das ist nicht ohne, da der Ballon ziemlich schlingert sind viele Fotos Schrott (überbelichtet, zeigen den Ballon aber keine Erde, ...) Bessere Ausbeute hat man ab dem Zeitpunkt des Zerplatzens -> da es dann keinen Ballon mehr gibt der sich vor die Linse drängt und die Gerätschaft dank der Gravitation eine Vorzugsrichtung einnimmt. Manche lösen das Problem des Schlingerns durch einen Gimbal/kardanische Aufhängung o.ä.
:
Bearbeitet durch User
Bradward B. schrieb: > Also üblich sind eher Standbilder aller paar Sekunden auf die SD-card > des mitfliegenden RasPi o.ä. gespeichert. Auch das ist nicht ohne, da > der Ballon ziemlich schlingert sind viele Fotos Schrott (überbelichtet, > zeigen den Ballon aber keine Erde, ...) Bessere Ausbeute hat man ab dem > Zeitpunkt des Zerplatzens -> da es dann keinen Ballon mehr gibt der sich > vor die Linse drängt und die Gerätschaft dank der Gravitation eine > Vorzugsrichtung einnimmt. Manche lösen das Problem des Schlingerns durch > einen Gimbal/kardanische Aufhängung o.ä. Kann ich nicht nachvollziehen. Schon gar nicht, dass der Ballon sich vor die Linse draengt. Wenn die Geraetebox mit >>10m Schnur am Ballon haengt, dann ist das Gewackel beim Aufstieg deutlich geringer, als beim Abstieg am Fallschirm. Eigentlich gibts nur eine Rotation um die Aufhaenge-Achse und ein sehr langsames Schaukeln (Periode > 10 Sekunden). Das kann man auch bei den von mir weiter oben verlinkten Videos ganz gut nachvollziehen. Allgemein gilt je hoeher, desto ruhiger. Der Druck auf 30km Hoehe liegt irgendwo bei 10mbar. Das ist gefuehlt schon Vakuum. D.h. der Wind spielt da nicht mehr wirklich eine grosse Rolle. Direkt nach dem Platzen gibts daher auch erst mal einen "Hoellenritt" weil der Fallschirm bei dem geringen Druck noch nicht wirklich bremsen will und es anfangs nahezu im freien Fall nach unten geht (siehe Videos). Ich wollte immer mal eine rotierende Masse mit rein packen, um die Bewegung weiter zu daempfen. Aber dazu kam es dann doch nicht mehr. Zusatzmasse ist auch eher unerwuenscht und eine zuverlaessige Konstruktion, die die schweren Batterien als Schwungmasse verwendet, wollte mir noch nicht einfallen.
Noch ein Aspekt zum Thema Kommunikation per GSM (Handynetz): Meine mitgeschickten GPS Tracker und Smartphones wurden eigentlich immer recht schnell (ab 1-2 km ueber Grund) aus dem Netz geworfen. Vermutlich weil im Netz erkannt wurde, dass ein Endgeraet ploetzlich zahlreiche Funkmasten sieht und das moegen die Netzbetreiber nicht so. Jedenfalls ist das Unangenehme daran, neben dem Verlust der Kommunikation, dass der Rauswurf aus dem Netz auch nach der Landung fuer bis zu eine Stunde anhalten kann. D.h. der GPS Tracker meldet sich nach der Landung u.U. erst mal nicht. Das erzeugte jedes Mal ziemlichen Stress. Auch erfolgte die Landung bei mir oft in nahezu weissen Flecken der Netzabdeckung. Sprich bei der Bergung hatte man stets schlechten Handyempfang am Landeplatz. Das hilft nicht gerade die Situation zu verbessern. Daher ist ein Positionstracking ueber alternative Kommunikationswege SEHR zu empfehlen. Ich habe gute Erfahrungen mit SigFOX gemacht. Damit kann/konnte man im billigsten Tarif alle 15 Minuten eine Nachricht mit ein paar Bytes versenden. Reicht immerhin fuer die Position. Und es beruhigt extrem die Nerven, wenn man alle Viertelstunde eine Nachricht ueber den Verbleib des Ballons erhaelt. SigFox scheint nach Insolvenz der franzoesischen Mutter irgendwie heutzutage nicht mehr so doll supported zu werden. Aber das gleiche per LoRaWAN sollte auch funktionieren.
Andi M. schrieb: > Das kann man auch bei den von mir weiter oben verlinkten > Videos ganz gut nachvollziehen. Gerade „Juri im Weltraum“ angesehen, wirklich sehr beeindruckend! Wie lange dauert der Aufstieg bis der Ballon platzt? Und wie lange der Abstieg?
Ganz grob: Flugzeit in der Summe etwa 4 Stunden. 2 Stunden hoch, 2 Stunden runter.
Wulf D. schrieb: > Wie lange dauert der Aufstieg bis der Ballon platzt? > Und wie lange der Abstieg? Hier mal die Messdaten von einer meiner Missionen.
Andi M. schrieb: > Daher ist ein Positionstracking ueber alternative Kommunikationswege > SEHR zu empfehlen. Nutzt hier keiner die 400MHz bake der Dinger zum Finden? Kann ich mir kaum vorstellen.
Joe G. schrieb: > Hier mal die Messdaten von einer meiner Missionen. Interessant, den Temperaturverlauf mit einem Minimum um 9000m hätte ich nicht erwartet. Ist eigentlich schade, dass man den Ballon platzen lässt: eine Art Abblasventil oder Reißleine ist wahrscheinlich zu aufwändig.
Die Latex-Hülle wird ja da oben mächtig groß (10m Durchmesser). Ich bin mir nicht sicher inwieweit die plastische Verformung zurückbleibt. Dann gibt es noch ein weiteres technisches Problem. Die leere Hülle flattert unkontrolliert bei der Landung und verheddert sich schnell mit der Nutzlast und dem Fallschirm. Aus diesem Grunde trennen wird nach dem Platzen sofort Hülle und Nutzlast über eine kleine Ladung welche elektrisch gezündet wird und öffnen dann erst den Fallschirm. Ohne diese Maßnahme ist bei einem Versuch das gesamte Gespann fast abgestützt und konnte erst kurz vor knapp den Fallschirm öffnen.
>> der Ballon ziemlich schlingert sind viele Fotos Schrott (überbelichtet, >> zeigen den Ballon aber keine Erde, ...) Bessere Ausbeute hat man ab dem >> Zeitpunkt des Zerplatzens -> da es dann keinen Ballon mehr gibt der sich >> vor die Linse drängt und die Gerätschaft dank der Gravitation eine >> Vorzugsrichtung einnimmt. > Kann ich nicht nachvollziehen. Schon gar nicht, dass der Ballon sich vor > die Linse draengt. Wenn die Geraetebox mit >>10m Schnur am Ballon > haengt, dann ist das Gewackel beim Aufstieg deutlich geringer, als > beim Abstieg am Fallschirm. Hintergrundifo, der Ballon musste eine Zusatzlast tragen ("Kasimir, der Bucher Astronaut“), die dem ganzen, von den Funkamateuren ausgetüftelten Gebild 'ne ziemliche Schlagseite verpasste. https://www.u08.de/wp-content/uploads/255.jpg Lt. Vortrag der Amateurfunker waren von den All-Bildern nur zwei, drei brauchbar. eventuell hatte sich auch noch beim Start einiges "verwickelt". Aber was willste machen, wenn der Bürgermeister darauf besteht "selbst das Ding hochgehen zu lassen". ;-)
> Ist eigentlich schade, dass man den Ballon platzen lässt: eine Art > Abblasventil oder Reißleine ist wahrscheinlich zu aufwändig. Neee, das nennt man konstruktive Sicherheit, das Ding soll ja nicht ewig Raum da oben vermüllen. So ein Ventil oder sonstige Auslösevorrichtung kann und wird versagen. Ist halt ein Beispiel für das elegante Prinzip der "Sollbruchstelle".
.● Des|ntegrator ●. schrieb: > interessant wäre mal, > einen Ballon zum Sonnenuntergang zu starten Dem widerspricht leider, dass man bei der Genehmigung i.d.R. die Auflage bekommt, dass nur bei Sichtweiten über X km gestartet werden darf.
> interessant wäre mal, > einen Ballon zum Sonnenuntergang zu starten Da würde ich zuerst mal bei der Flugsicherung nachfragen, nicht das es heisst, es müßen Sichtflugbedingungen eingehalten werden und es gilt ein Nachtflugverbot. Und wenn schon Jagd auf sensationelle Fotos dann könnte man auch einen Start zum Zweck der Beobachtung von Polarlichtern starten. Vielleicht erwischt man ja auch einen "red sprite" oder einen "blue jet" ;-) https://de.wikipedia.org/wiki/Sprite_(Wetterph%C3%A4nomen) Da mal das Formular für den Antrag bei der FS: https://www.stratoflights.com/downloads/vo923_2012_SERA_page_71-75.pdf
:
Bearbeitet durch User
Bradward B. schrieb: > Da gibt es üblicherweise zwei Begrenzungen (Höhe, Geschwindigkeit) die > sicherstellen sollen, das die GPS-Gerätschaften nicht in Raketen > verwendet werden. Einige Module haben eine ODER-Verknüpfung implentiert > (entweder zu hoch (18,000 m) oder zu schnell (1,900 km/h)), andere eine > UND-verknüpfung. Nur letzteres trifft auch auf Raketen zu. Ja Rainer W. schrieb: > Manche Hersteller ... Mit "üblicherweise" hat das allerdings nichts zu tun. Das es diese beiden Begrenzungen gibt, ist eine ziemlich harte Vorgabe aus Zeiten des kalten Krieges. Seitdem die Monopolstellung des NAVSTAR GPS aufgebrochen ist und GPS-Empfänger nicht nur aus dem westlich Machtblock kommen, haben diese Exportbeschränkungen allerdings an Schärfe verloren. Über die vom Hersteller der Empfängers implementierten Grenzwerte, die auch von den CoCom-Vorgaben abweichen können, solange sie auf der sicheren Seite sind), findet man sehr verschiedene Werte (18000 km, 60000 ft, 1000 kn, 1200 mph, 512 m/s u.a.). Die in dem Wikipedia-Artikel genannte Grenzhöhe von nur 12000 m tanzt sehr aus der Reihe und ist wohl eher falsch. https://en.wikipedia.org/wiki/Coordinating_Committee_for_Multilateral_Export_Controls#GPS_%22CoCom_limits%22 Für Höhenballons ist die UND-Verknüpfung entscheidend, damit nicht alleine die Überschreitung der Grenzhöhe die Datenausgabe des Empfängers blockiert.
:
Bearbeitet durch User
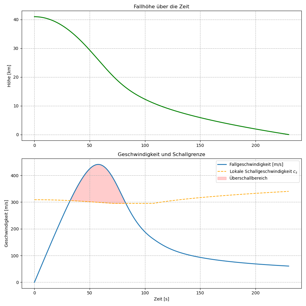
Danke für die rege Beteiligung... Wer mit Schülern dann auch noch etwas Theorie machen will, der kann mit Excel den Stratosphärensprung von Felix Baumgartner inkl. Luftwiderstand nachstellen. Man sieht sehr schön die anfängliche Beschleunigung mit -g und dann zum Schluss die gleichförmige Bewegung (v = konstant).
Christoph E. schrieb: > Wer mit Schülern dann auch noch etwas Theorie machen will, ... Den Schülern sollte man dabei aus didaktischen Gründen ganz heftig auf die Finger klopfen, wenn sie solche Diagramme abliefern. Der richtig Umgang mit Einheiten fängt bei vernünftiger Achsenbeschriftung an. Und die seit Ewigkeiten veraltete Schreibweise "[m/s]" hat in der Schule nichts zu suchen, allenfalls als warnendes Beispiel. Diese Schreibweise, die in Widerspruch zur DIN EN ISO 80000-1 steht, sollten sich die Schüler gar nicht erst angewöhnen. https://de.wikipedia.org/wiki/Einheitenzeichen
:
Bearbeitet durch User
Da gebe ich dir völlig recht, Rainer. Die Excel-Diagramme ohne Achsbeschriftung sind aber eine völlige Ausnahme bei mir, passiert mir eigentlich (fast) nie. Dachte mir noch beim Hochladen, ob ich das noch ändern soll. Habe dann aber einfach den alten screenshot genommen, man verzeihe es mir ;-)
:
Bearbeitet durch User
> Das ungünstigste Szenario wäre, wenn im Cockpit eine Scheibe defekt > ginge. Durch den Unterdruck würde auch niemand mehr die Cockpit-Tür > öffnen können. Da nutzt es nichts mehr, wenn die Piloten die > Verriegelung lösen könnten. Warum soll das ein Problem sein? Abgesehen davon, dass die Tür ohne Code nicht von außen zu öffnen ist, haben die Piloten genug Sauerstoff dabei. Bei einem plötzlichen Druckabfall sagt die non-normal Checklist: Emergency decent, Check MCP alt is 10000 feet or MOCA - also 3000m oder minimum obstacle clearance altitute. Bei 3000m kann ein nicht schwer-lungenkranker gut atmen. > Als kleine Aufgabe könntest Du ja mal die Klasse ausrechnen lassen, > welche Kraft auf einer Tür mit 70x160cm bei 100mbar lasten. Mit dem > Hebelgesetz welche Kraft am Türgriff notwendig wäre, wäre auch eine > schöne Aufgabe. Ist nicht schwer. Eine übliche Reiseflughöhe is FL340; dort herrschen 250 hPa, im Flugzeug liegt die CA (cabin altitute) bei 730hPa, macht also 0,5 bar Druckdifferenz. Da die Cockpit-Tür ca. 1m² hat, sind es 54kN bzw. 5,4 Tonnen. Da die Turbinen aber gar nicht dazu in der Lage sind, durch die Zapfluft 500mBar Überdruck aufrecht zu erhalten, entweicht der Kabinendruck sehr schnell durch das Belüftungssystem. Bis also der Druck abgebaut ist, dauert es zwischen 3 und 7 Sekunden (bei angenommenem 0,5m² Glasfläche (bei offener Cockpit-Tür, in der Praxis eher länger, weil die Luft durch die Kanäle dringen muss). Gehen wir aber mal davon aus, dass just in dem Moment, als das Glas birst, jemand die Tür aufmacht und der Druckabfall daher recht schlagartig erfolgt. Kann das jemanden heraussaugen? Die Antwort ist: ja. Der Massenstrom liegt zu Beginn bei um die 100kg/s. Das ist eine Kraft, der man unvorbereitet nicht entgegenstehen kann. Steht also der Pilot direkt vor der Scheibe, wird er ziemlich sicher herausgesaugt. Er steht aber nicht davor, er sitzt unter der Scheibe. Der größte Volumenstrom wird also über seinen Kopf hinweg ziehen. Lediglich der Venturi-Effekt wird in "ansaugen". Und hier wirken nur Bruchteile der Kräfte; im Größenordnungsbereich von 10-20%. Es wirkt also eine "Saugkraft" von um die 30-100kg. Sind Piloten deshalb aber auch angeschnallt? Kurzum: Nein. Sie sind angschnallt, weil sie nicht absolute Vollidioten sind. Turbulenzen können jederzeit auftreten und selbst dort auftauchen, wo andere Flugzeuge wenige Minuten vorher ohne großartige Störungen geflogen sind. Und weil es nur zwei Menschen gibt, die das Ding vor dem Absturz bewahren, wäre es dumm, wenn genau diese beiden Menschen mit ihrem Hirn in die Konsole krachen. Abschnallen, nur weil man die Reiseflughöhe erreicht hat, machen nur Menschen, die kein Interesse an ihrer Gesundheit haben. > Aus diesem Grunde würde ich so einen Flug immer anmelden, Es gibt > bestimmt auch Auflagen, wieviel Aluminiumfolien oder versilbertes > Drahtgeflecht für genügend Radarrückstrahlung vorhanden sein muss. Beim > Nachfragen zum Anmeldeverfahren wird diese Information bestimmt > abgegriffen werden können. Jeder Gegenstand, der über 150/300m steigt (in Flugplatz/Flughafennähe abweichend!) muss zwingend angemeldet werden.
Nachtrag: Was meine Art der Achsbeschriftung angeht, bleibe ich aber aus guten Gründen bei meiner Schreibweise, z.B. U [V] und nicht wie es die DIN "vorschreibt" U / V. Denn dies ist mMn viel missverständlicher. Was wäre, wenn ich anstelle der Stromstärke I den Quotienten U/R auftrage. Dann ist meine Schreibweise U/R [V/Ohm] oder U/R [Ampere] mMn deutlich einleuchtender als U/R / V/Ohm... Ansonsten finde ich es hochdeutsch, Korinthenkacken zu betreiben. Es geht hier primär um die Inhalte und nicht so sehr ums drumherum! Manchmal habe ich den Eindruck, bei etlichen ist es genau umgekehrt. Dass ich im konkreten Fall keine Achsbeschriftung hatte, passiert mir wie schon erwähnt ein Mal in 1000 Fällen. Aber ist irgendwie auch klar, dass sich dann jemand darauf stürzt und nicht auf die angesprochene Physik antwortet...
Christoph E. schrieb: > Nachtrag: Was meine Art der Achsbeschriftung angeht, bleibe ich aber aus > guten Gründen bei meiner Schreibweise, z.B. U [V] und nicht wie es die > DIN "vorschreibt" U / V. Denn dies ist mMn viel missverständlicher. Sehe ich nicht so. Stell es dir als Gleichung vor, um bei deinem Beispiel zu bleiben:
1 | U = 10 V |
Die Gleichung teilst du jetzt durch Volt, so das daraus wird:
1 | U / V = 10 |
Die "U / V" steht als Achsenbeschriftung dran und die (dimensionslosen) Zahlen werden auf der Achse dargestellt und auch an die Teilstriche geschrieben. Deine persönliche Meinung ändert nichts daran, dass die Schüler als erstes die genormte Schreibweise lernen sollten. > Aber ist irgendwie auch klar, > dass sich dann jemand darauf stürzt und nicht auf die angesprochene > Physik antwortet... Naja, die Physik dahinter ist noch überschaubar. Das braucht man nicht nummerisch zu rechnen. In der Schule sollte gerade so etwas auch noch analytisch machbar sein.
:
Bearbeitet durch User
Beitrag #8028448 wurde vom Autor gelöscht.
Beitrag #8028449 wurde vom Autor gelöscht.
> erstes die genormte Schreibweise lernen sollten.
Wäre nicht die erst Norm die keiner benutzt. Siehe auch die DIN für die
rechteckigen Logikgatter die seit Jahrzehnten vor sich hin verstaubt und
die nur von Leuten benutzt wird die durch einen Firmenprozess dazu
gezwungen werden.
Georg S. schrieb: > Siehe auch die DIN für die rechteckigen Logikgatter die seit Jahrzehnten > vor sich hin verstaubt und die nur von Leuten benutzt wird die durch > einen Firmenprozess dazu gezwungen werden. Widerspruch. Ich fand die runden Dinger immer völlig unlogisch (:-) und benutze sie, seit die IEC sie genormt hat. ;-) Aber das hat jetzt mit dem Ballonflug herzlich wenig zu tun.
Christoph E. schrieb: > den Stratosphärensprung von Felix Baumgartner inkl. Luftwiderstand > nachstellen Ich habe mal das Modell der International Standard Atmosphere (ISA) mit eingebaut :-) Der Kerl flog fast eine Minute mit Überschall.
@ Rainer: Ich weiß schon, welcher Gedanke hinter der Norm steckt. Und gerade deshalb finde ich "meine" Vorgehensweise weitaus intuitiver, siehe die Physikgröße U/R... Zitat Rainer: "Naja, die Physik dahinter ist noch überschaubar. Das braucht man nicht nummerisch zu rechnen. In der Schule sollte gerade so etwas auch noch analytisch machbar sein." An dieser Aussage merkt man gut, dass du so gut wie gar nichts von der Simulation nach dem simplen Eulerverfahren verstanden hast. Da geht zum Beispiel der höhenabhängige Luftdruck (barometrische Höhenformel) und die höhenabhängige Luftdichte (für den Luftwiderstand) ein und wer möchte kann dann auch noch mittels der Temperaturabhängigen Schallgeschwindigkeit die momentane Machzahl bestimmen. Aber du kannst mir gerne per persönlicher Nachricht deinen Ansatz für eine analytische Lösung nähebringen. Wäre sehr gespannt... Analytisch kann man mit Schülern lediglich die stark vereinfachten Start- (F_Luftwiderstand = 0, a = -g) und Endbedingungen (v = konstant, F_g = F_Luftwiderstand) durchnehmen. Aber auch das zu durchschauen, ist für sie sehr lehrreich...
Christoph E. schrieb: > wer möchte kann dann auch noch mittels der Temperaturabhängigen > Schallgeschwindigkeit die momentane Machzahl bestimmen. Da hatten wir ja die gleiche Idee :-) Machzahl 1.48
:
Bearbeitet durch User
> Warum soll das ein Problem sein? Abgesehen davon, dass die Tür ohne Code > nicht von außen zu öffnen ist, haben die Piloten genug Sauerstoff dabei. > Bei einem plötzlichen Druckabfall sagt die non-normal Checklist: > Emergency decent, Check MCP alt is 10000 feet or MOCA - also 3000m oder > minimum obstacle clearance altitute. Ungünstig wenn man gerade über das Tibetisches Hochland fliegt wie bei Sichuan Airlines Flight 8633, die mussten erstmal ne Weile ohne Cockpitscheibe fliegen bis sie genügend Luft für nen Abstieg unter dem Flieger hatten: https://en.wikipedia.org/wiki/Sichuan_Airlines_Flight_8633 > Der Kerl flog fast eine Minute mit Überschall. "Fiel" nicht "flog". Und so "richtiger Überschall" war es meines Erachtens auch nicht. Ja, der Machzahl nach, aber ein Strömungsmechaniker bestimmt die Überschreitung der Schallgeschwindikeit anhand der Ausbildung eines Machschen Kegels samt Überschallknall weil eben bei einer solchen Geschwindigkeit die sonst kompressible Luft sich wie ein nicht-komprimierbares Medium verhält. Joseph Kittinger, der Mensch der 50 Jahre vor den Österreichern durch die Stratosphäre fiel, berichtete jedenfalls, das der Stoff seines Anzugs lange nicht flatterte weil einfach zuwenige Luft in dieser Höhe vorhanden war, https://de.wikipedia.org/wiki/Manhigh Andererseits berichtete Armstrong wie er in der X15 in ca 100000 ft. Höhe von der Atmosphäre "abprallte": https://youtu.be/fY6nxm89uKM?t=174
:
Bearbeitet durch User
Um die Position des Ballons auszumachen, wäre doch ein ADS-B Transmitter die richtige Lösung. Du brauchst dafür keine AFu-Lizenz, alle Flugzeuge und Tower im Umkreis sehen das Ding (als Ballon hast Du Vorfahrt!) und Du musst Dich nicht um den Empfang kümmern, da es hunderte Menschen gibt, die das empfangen und im Netz bereit stellen. Kennung müsste man klären. Ich hatte sowas auch mal vor. Meine Idee war damals, dass der Ballast selbst ein kleiner Segler ist, welcher bei der Rückkehr zur Erde möglichst wieder an dem Punkt landet, wo es los gegangen ist. Dazu müsste der Ballon bzw. seine Reste vom Segler abgekoppelt werden können. Gruß Jobst
Jobst M. schrieb: > Um die Position des Ballons auszumachen, wäre doch ein ADS-B > Transmitter die richtige Lösung. Dürfte nur "einiges" an Strom ziehen
Beitrag #8031083 wurde von einem Moderator gelöscht.
> Um die Position des Ballons auszumachen, wäre doch ein ADS-B Transmitter > die richtige Lösung. > Du brauchst dafür keine AFu-Lizenz, alle Flugzeuge und Tower im Umkreis > sehen das Ding (als Ballon hast Du Vorfahrt!) und Du musst Dich nicht um > den Empfang kümmern, da es hunderte Menschen gibt, die das empfangen und > im Netz bereit stellen. ?? Naja ADS ist Flugfunk, es stimmt schon das man dafür keine Amateurfunklizenz braucht, aber eben eine Betriebsgenehmigung von der Flugsicherung. * https://www.daec.de/media/files/2023/Fachbereiche/Luftraum_und_Flugbetrieb/DAeC_Sense_and_Avoid.pdf Und bzgl. "Ballon hat Vorfahrt" - selten so einen Stuß gelesen. Wahrscheinlich stammt das Wissen von einem gewissen Kriegsschiff der US-Navy ... https://de.wikipedia.org/wiki/Leuchtturm_und_Kriegsschiff_(Moderne_Sage)#Beispiel
:
Bearbeitet durch User
Bradward B. schrieb: > Und bzgl. "Ballon hat Vorfahrt" - selten so einen Stuß gelesen. Ballonfahrer leiten natürlich ein abruptes Ausweichmanöver ein, indem sie ganz einfach die Leinen kappen.
Stephan S. schrieb: > Dürfte nur "einiges" an Strom ziehen Stimmt. Dann muss man eben "einiges" an Strom aufbringen. Das ist ja nicht unmöglich. Benötigt Gewicht, ich weiß. Bradward B. schrieb: > Naja ADS ist Flugfunk, es stimmt schon das man dafür keine > Amateurfunklizenz braucht, aber eben eine Betriebsgenehmigung von der > Flugsicherung. Naja, es gibt Drohnen mit ADS-B. Und ja, die Betriebsgenehmigung bekommt man! Man nimmt ja auch am Flugverkehr teil! Bradward B. schrieb: > Und bzgl. "Ballon hat Vorfahrt" - selten so einen Stuß gelesen. Hättest Du Dich bei Deiner Recherche um den Ballon und nicht um Dein Kriegsschiff gekümmert, hättest Du nicht so einen Stuss geschrieben. Ballons können weder bremsen, noch ausweichen. Sollte einleuchten, warum es diese Regelung gibt. Gruß Jobst
Bradward B. schrieb: > Und bzgl. "Ballon hat Vorfahrt" - selten so einen Stuß gelesen. Dann erzähl mal, wie so ein Ballon ausweichen soll. Da gilt das Recht des Stärkeren. Was meinst du wohl, warum beispielweise die Bruchlast für die Verbindung zwischen Ballon und Nutzlast mit 230 N gedeckelt ist. Das soll Schäden bei einer Kollision gering halten. p.s. Warum zitierst du eigentlich nie vernünftig, sondern manipulierst grundsätzlich den von der Forensoftware erstellten Link, so dass deine Zitate ohne Quellenangabe da stehen? Bradward B. schrieb: >> Um die Position ...
Stephan S. schrieb: > Jobst M. schrieb: >> Um die Position des Ballons auszumachen, wäre doch ein ADS-B >> Transmitter die richtige Lösung. > > Dürfte nur "einiges" an Strom ziehen Der GNSS-Empfänger läuft sowieso und ab und zu einmal einen ADS-B Datensatz mit einer Dauer von etwa 120µs zu senden, schlägt nicht so wirklich auf den mittleren Strom. Selbst bei einer Aussendung der Position im normalen Sekundenrhythmus liegt das Tastverhältnis für den ADS-B Sender bei nur etwa 0,00012.
Kann man den einen ADS-B Transmitter irgendwo günstig kaufen oder selbst bauen? Die Preise bei oberflächlicher Suche liegen jenseits von Gut und Böse ..,
Wulf D. schrieb: > Kann man den einen ADS-B Transmitter irgendwo günstig kaufen oder selbst > bauen? Wer erstellt für Deinen Selbstbau ein EASA-Zertifikat?
Wulf D. schrieb: > Kann man den einen ADS-B Transmitter irgendwo günstig kaufen oder selbst > bauen? Dein Hauptproblem dürfte nicht der Preis, sondern das Gewicht sein. Es werden ADS-B Transmitter für Drohnen und Heißluftballons abgeboten. Bei einem Selbst stehen die Kosten der Zulassung in einem nicht angemessenen Verhältnis.
FLARM transponder sind lizenzfrei, billiger und brauchen weniger Energie als Mode-S.
Res schrieb: > FLARM transponder FLARM hat eine Reichweite von ein paar Kilometern. Alleine die vertikale Entfernung in die Stratosphäre ist schon an der Grenze der Reichweite (laut meiner schnellen Recherche). Es ging bei dem Vorschlag mit ADS ja um die Positionsbestimmung des Ballons, nicht um die Kollisionsvermeidung.
Ich empfange FLARM-Signale aus über 100 km Entfernung und das mit einer Rundstrahlantenne. Mit einer Yagi ginge bestimmt noch mehr.
ADS-B als auch FLARM sind völlig unnötig für einen Wetterballon. Alleine in Deutschland werden täglich 40-50 Wetterballons gestartet, seit Jahrzehnten; keiner davon hat ADS-B, keiner FLARM und GPS-Probleme, haben die auch nicht. Als Tracker verwendet man am besten eine "echte" Radiosonde, die dafür ausgelegt ist, mit 2 AA-Batterien läuft, und die Daten werden auch direkt in die Sondentracker-Websites wie radiosondy.info eingespeist. Entweder man sammelt sich selber eine ein, oder man kauft die um 20-30,- von einem anderen Sondensucher. Zwei neue Batterien rein und los geht's. Frequenzteilung ins "Wetterhilfenfunkdienst" Band bei ca. 400 MHz kostet einmalig ca. 20,-.
F. M. schrieb: > Alleine in Deutschland werden täglich 40-50 Wetterballons gestartet, > seit Jahrzehnten; keiner davon hat ... GPS-Probleme, > haben die auch nicht. Warum sollten sie GPS-Probleme haben? Für regelmäßig startende Ballons werden die Betreiber für den GPS-Empfang einen Modultyp gewählt haben, dessen Software nicht alleine auf Grund der Flughöhe die Datenausgabe blockiert.
Rainer W. schrieb: > F. M. schrieb: >> Alleine in Deutschland werden täglich 40-50 Wetterballons gestartet, >> seit Jahrzehnten; keiner davon hat ... GPS-Probleme, >> haben die auch nicht. > > Warum sollten sie GPS-Probleme haben? > Für regelmäßig startende Ballons werden die Betreiber für den > GPS-Empfang einen Modultyp gewählt haben, dessen Software nicht alleine > auf Grund der Flughöhe die Datenausgabe blockiert. Das ist mir absolut klar, ich habe mehrfach solche Ballone gestartet, ich wollte es nur gesagt haben, da der Punkt ja oft kommt.
Res schrieb: > Ich empfange FLARM-Signale aus über 100 km Entfernung und das > mit einer Rundstrahlantenne. Mit einer Yagi ginge bestimmt noch mehr. Wenn du das sagst. Ich habe Angaben von etwa 10 km gefunden, habe aber keine praktische Erfahrung damit.
Moin, FLARM und ADS-B etc sind Dinge, die in ein Flugzeug gehören, aber nicht in einen Ballon. Wer entsprechende Lizenz hat, kann aprs reinpacken und einen GPS Tracker für das spätere Auffinden der Box. GPS selber macht eigentlich (evtl.) nur bei Minusgraden Probleme - das ist aber eher nicht so schlimm, da sie ja bis zur finalen Landung wieder "aufgetaut" sind. Und genau zu dem Zeitpunkt wäre ein Signal ganz hilfreich ;-) Hat jemand von euch mal über SSTV nachgedacht - als live Standbilder aus der Sonde an die Bodenstation zu schicken. Wir planen nämlich tatsächlich auch grad so ein Projekt und ich möchte unbedingt etwas haben, was man sich auch von unten als Zuschauer anschauen kann. Neben aprs (GPS Daten nebst Temperatur und Luftdruck) eben auch Standbilder quasi live aus dem Ballon. Viele Grüsse und schöne Ostertage
Thomas schrieb: > FLARM und ADS-B etc sind Dinge, die in ein Flugzeug gehören, aber nicht > in einen Ballon. Es gibt genug Heißluftballons, die zumindest FLARM benutzen.
Thomas schrieb: > FLARM und ADS-B etc sind Dinge, die in ein Flugzeug gehören, aber nicht > in einen Ballon. Eigentlich sind die Lotsen froh über jedes Objekt am Himmel, das sie sehen können. Sogar die Autos auf dem Flugplatz haben ADS-B. Wenn Du offiziell am Flugverkehr teilnehmen möchtest, kann es nicht schaden so ein Ding an Board zu haben. Thomas schrieb: > bei Minusgraden Probleme Man kann den Innenraum thermisch isolieren und heizen. Dann beschlägt auch die Kamera beim Abstieg nicht. Thomas schrieb: > Hat jemand von euch mal über SSTV nachgedacht Man müsste klären, ob ein .jpg mit weniger Energieverbrauch übertragen werden kann. Frage ist in beiden Fällen immernoch die Funkverbindung. Hier einen Funkamateur im Team zu haben ist sicherlich von Vorteil. Ich habe hier noch einen Sack LiIon Zellen mit 6Ah - Gewicht 105g das Stück Gerne gebe ich beiden Teams welche davon ab, wenn's hilft. Gruß Jobst
Rainer W. schrieb: > Thomas schrieb: >> FLARM und ADS-B etc sind Dinge, die in ein Flugzeug gehören, aber nicht >> in einen Ballon. > > Es gibt genug Heißluftballons, die zumindest FLARM benutzen. ja ok - die gehören für mich gedanklich natürlich auch dazu
Jobst M. schrieb: > Thomas schrieb: >> FLARM und ADS-B etc sind Dinge, die in ein Flugzeug gehören, aber nicht >> in einen Ballon. > > Eigentlich sind die Lotsen froh über jedes Objekt am Himmel, das sie > sehen können. Sogar die Autos auf dem Flugplatz haben ADS-B. > Wenn Du offiziell am Flugverkehr teilnehmen möchtest, kann es nicht > schaden so ein Ding an Board zu haben. > Thomas schrieb: >> bei Minusgraden Probleme > > Man kann den Innenraum thermisch isolieren und heizen. > Dann beschlägt auch die Kamera beim Abstieg nicht. > Thomas schrieb: >> Hat jemand von euch mal über SSTV nachgedacht > > Man müsste klären, ob ein .jpg mit weniger Energieverbrauch übertragen > werden kann. Frage ist in beiden Fällen immernoch die Funkverbindung. > Hier einen Funkamateur im Team zu haben ist sicherlich von Vorteil. > Ich habe hier noch einen Sack LiIon Zellen mit 6Ah - Gewicht 105g das > Stück > Gerne gebe ich beiden Teams welche davon ab, wenn's hilft. > Gruß > Jobst Moin, SSTV würde ich im PD120 Mode machen - dauert allerdings auch circa 120 Sekunden. Das ganze wahrscheinlich mit einer ESP32-CAM und einem Sendemodul. Bei dem Modul bin ich mir nicht wirklich sicher - es gibt ein SA818V. Das Teil sendet auf 2m mit wenigen mWatt, aber ob und wie das alles konkret funktioniert, weiß ich noch nicht so ganz genau.
Thomas schrieb: > Bei dem Modul bin ich mir nicht wirklich sicher - es gibt ein SA818V. Ich kenne das DRA818V, das macht immerhin 1 W. Sollte bei Freiraumausbreitung selbst ohne senderseitige Richtantenne so weit reichen, wie man den Ballon noch über dem Horizont sehen kann. Oberwellenmäßig waren diese Module aber nicht so toll. Sollte man mit nachgeschaltetem Band- oder Tiefpass betreiben.
.● Des|ntegrator ●. schrieb: > Wenn der Horizont genau durch die Bildmitte geht, > ist von der Krümmung aber irgendwie nichts mehr zu erkennen. > Die Krümmungen kommen eher von den Weitwinkel-Optiken der Cams. Unsinn, bei einer längeren Brennweite ist der Horizont ebenfalls krumm, auch wenn der Horizont durch die Bildmitte geht. Das ist eine Frage der Flughöhe, genauer des Verhältnisses von Objektradius zu Abstand. https://www.nasa.gov/image-detail/amf-art002e014066/ https://www.nasa.gov/image-detail/amf-art002e010014/
:
Bearbeitet durch User
Rainer W. schrieb: > .● Des|ntegrator ●. schrieb: >> Wenn der Horizont genau durch die Bildmitte geht, >> ist von der Krümmung aber irgendwie nichts mehr zu erkennen. >> Die Krümmungen kommen eher von den Weitwinkel-Optiken der Cams. > > Unsinn, bei einer längeren Brennweite ist der Horizont ebenfalls krumm, > auch wenn der Horizont durch die Bildmitte geht. Das ist eine Frage der > Flughöhe, genauer des Verhältnisses von Objektradius zu Abstand. > https://www.nasa.gov/image-detail/amf-art002e014066/ > https://www.nasa.gov/image-detail/amf-art002e010014/ was verlinkst Du denn da für Bilder? zig tausende und hunderttausende km von den Himmelskörpern entfernt im All. Und Du redest von Unsinn. Wie hoch fliegt der Ballon?
Ich hatte das vor geraumer Zeit mal ausgerechnet. Bei einer Flughöhe von 30km, einem horiz. Öffnungswinkel der Kamera von 30° und einer horiz. Auflösung von 1920px, dann ergibt sich eine theoretische Sichtweite von ~619km. Wenn man mal die Brechung der Atmosphäre außer Betracht lässt. Zudem liegen – wenn der Horizont durch die Bildmitte geht – die beiden äußersten Pixel weniger als ein Pixel unterhalb derjenigen in der Bildmitte. Also gebogen ja, wahrnehmbar wohl kaum mit bloßem Auge. Ad: Schlecht formuliert, die Sichtweite hat natürlich mit der Kamera nichts zu tun.
:
Bearbeitet durch User
Jetzt muss ich mich noch einmal selbst korrigieren. Habe gerade nachgesehen, falsche Erinnerung, das Alter. Asche -> Haupt Bei einer 16:9 (1920×1080) Auflösung beträgt das Pixeldelta (Mitte zu Seite) in der Höhe ziemlich genau 7 Pixel. Man sollte also beim etwas genaueren Hinsehen doch einen (sehr sanften) Bogen erkennen können. Scusa. ;-)
> Bei einer 16:9 (1920×1080) Auflösung beträgt das Pixeldelta (Mitte zu > Seite) in der Höhe ziemlich genau 7 Pixel. > Man sollte also beim etwas genaueren Hinsehen doch einen (sehr sanften) > Bogen erkennen können. Wird schwierig, auch weil es recht "dunstig" ist (keine streng linienförmige Begrenzung). Da mal Pics aus 18 km Höhe (MiG-29 Passenger Flug): https://29mig.com/strato/ Ab 30 km Höhe sollte die Krümmung "gut sichtbar sein", manche lassen aus dieser Höhe Eier fallen: https://youtu.be/BYVZh5kqaFg?t=1333 Da Artikel zu Mad mike der sich mal selbst anschauen wollte, das es keine Krümmung gibt: * https://www.stern.de/panorama/wissen/kosmos/flat-earther--mann-will-mit-selbstgebauter-rakete-beweisen--dass-die-erde-flach-ist-7758176.html * https://www.heise.de/news/Flache-Erde-Bastler-Mike-Hughes-in-selbstgebauter-Rakete-toedlich-verunglueckt-4666393.html
Norbert schrieb: > 30° Das sind 70mm Brennweite an Kleinbild - das ist schon ein leichtes Teleobjektiv. Ich würde -auch wenn man dann Krümmung sieht- ein Weitwinkel bevorzugen, um nicht nur einen kleinen Ausschnitt der Aussicht zu erhalten, der dann auch noch viel mehr wackelt. 24mm Brennweite an Kleinbild hat etwa 70°, das oder noch weitwinkliger würde ich wählen. Edit: Hier kann man Brennweiten ausprobieren: https://lenssimulator.academy.canon.de/de/ Gruß Jobst
:
Bearbeitet durch User
Jobst M. schrieb: > 24mm Brennweite an Kleinbild hat etwa 70°, Ergäbe ca. 18.4px drop an den Seiten. Wird natürlich mit zunehmendem Weitwinkel immer schlimmer.
Rechenaufgabe: Um wie viel Grad muss man das Objektiv vom Horizont nach unten neigen, damit sich Erdkrümmung in 30km Höhe und Objektivverzerrungen bei 24mm KB aufheben? ;-) Gruß Jobst
Hab gerade auch mal etwas gerechnet: Unter der Annahme, dass die Erde eine Kugel mit einem Durchmesser von 12742 km ist, sieht die Horizontlinie mit einer Raspberry Pi Cam V1 (horizontales Sichtfeld: 53,5°) in 30 km Höhe mit waagerechter Blickrichtung wie in RPi-Cam-30km-Kugel.png aus. Wäre die Erde hingegen eine ebene Scheibe mit einem Durchmesser von 617,5 km, würde die Horizontlinie wie in RPi-Cam-30km-Scheibe.png aussehen.
Norbert schrieb: > in der Höhe ziemlich genau 7 Pixel. > Man sollte also beim etwas genaueren Hinsehen doch einen (sehr sanften) > Bogen erkennen können. Mist, das sind zu viele Pixel für eine Scheibe. Eben, die Scheibe hat einen sanften Bogen, was sonst. ;) Es gibt aber noch eine schöne Aufgabe aus der Optik wie weit jemand von der Erdeoberfläche weg sein muss und wie weit beide Augen auseinander sein müßten um eindeutig die Kugelform der Erde sehen zu können. Das läßt sich auch schön mit drei unterschiedlich großen Modellen als Kugel und Scheibe im Klassenzimmer ausprobieren und erarbeiten. Ab einer bestimmten Entfernung kann die Kugel nicht mehr von der Scheibe unterschieden werden. Zusätzlich kann noch mit Hilfsmitteln zur Vergrößerung des Augenabstandes gearbeitet werden: Durch Prismenferngläser oder Scherenfernrohre wird der Augenabstand künstlich vergrößert, um den räumlichen Eindruck (Plastizität) zu verstärken. Dies bewirkt, dass nahe Objekte deutlicher in 3D wahrgenommen werden, da die Perspektive der beiden Augen weiter auseinanderliegt als natürlich.
Dieter D. schrieb: > Es gibt aber noch eine schöne Aufgabe aus der Optik wie weit jemand von > der Erdeoberfläche weg sein muss und wie weit beide Augen auseinander > sein müßten um eindeutig die Kugelform der Erde sehen zu können. Schade dass alle die Menschen mit nur einem verbliebenen Auge niemals die Schönheit einer Kugelform werden sehen können… … Sich Entsetzt und Kopfschüttelnd abwendend…
Norbert schrieb: > … Sich Entsetzt und Kopfschüttelnd abwendend… Es ist aber auch nichts, wenn der Globus nicht mehr ins Klassenzimmer darf aus Inklusionsgründen um Personen mit einem Handikap nicht zu diskriminieren und sich dann wundern, dass so viele glauben die Erde sei eine Scheibe. Die Personen mit einem Auge können hier aber auch mitmachen. Der einzige Unterschied ist, dass diese sich entsprechende Zahl von Zentimetern seitwärts bewegen dürfen, bis zu erkennen ist, was Scheibe oder Kugel ist. Die mit zwei sehenden Augen dürfen oder müssen sogar, das mit einem abgedeckten Auge natürlich auch versuchen.
Hallo, > Bei Peschke gibt es eine eigene Versicherung für solche Aktionen, die > ca. 100 Euro kostet. > https://www.peschke-muc.de/versicherungen/luftfahrtversicherungen/angebot-wetterballonversicherung/ Man braucht nicht zwingend eine zusätzliche Versicherung. Manche Privathaftpflichtversicherungen decken das ausdrücklich mit ab -- beispielsweise die WGV-Haftpflicht im Tarif "Optimal" oder "Plus" (jeweils bis zu 5 kg Gesamtmasse). Bei Schulprojekten muss aber m. E. die berufliche Haftpflichtversicherung mitgebucht werden, da der Ballon kein Privatvergnügen ist, sondern gewissermaßen dienstlich fliegt. Worauf ich mich nicht einlassen würde sind Diensthaftpflichtversicherungen, die generell Experimentalunterricht abdecken. Die meisten schließen nämlich explizit Flugobjekte aus (vermutlich um die Haftung für Piloten von Passagier- und Güterflugzeugen auszuschließen). Viele Grüße Peter
Bitte melde dich an um einen Beitrag zu schreiben. Anmeldung ist kostenlos und dauert nur eine Minute.
Bestehender Account
Schon ein Account bei Google/GoogleMail? Keine Anmeldung erforderlich!
Mit Google-Account einloggen
Mit Google-Account einloggen
Noch kein Account? Hier anmelden.
















