Es sind schon wiede zwei wochen vergangen seit dem Letzten Post hier. Nun meine Frage an Moritz: Wie kommst du voran mit dem Projekt?
Ist das nicht ein bisschen Kackendreist hier nach Fortschritt zu fragen, und selbst seit Wochen auf der Kiste Schöneberg zu sitzen, ohne sich zurück zu melden, obwohl im zugehörigen Thread mittlerweile über eine Anzeige diskutiert wird??
Cool, wenn es soweit ist, würde ich auch einen uRuler nehmen.
würde bei 2€/stück auch 5 stück nehmen :)
Hallo Leute, Bestellungen bitte hier eintragen. http://www.mikrocontroller.net/articles/Mcruler L.G. Micha
Ich komme so gelegentlich etwas voran, allerdings habe ich noch genügend anderes zu tun. Und jetzt liegt hier auch erstmal die Transistortester-Sammelbestellung, die verschickt werden möchte. Das Footprint erstellen dauert einfach seine Zeit, wenn es ordentlich werden soll. Allerdings habe ich die Gelegenheit genutzt, bei meinem Fertiger mal ein paar Samples mitzuordern, um die Lesbarkeit und ähnliches zu testen. Die Dinger sind 5x5cm groß. Falls jemand Interesse hat, ich habe davon noch 9 Stück über; für die Produktion der 10 Stück habe ich knapp 20€ gezahlt. 2€/Stück + Verpackung/Versand 2€ wer noch ein kleines Nikolausgeschenk sucht ;) Ich sehe mit der Lesbarkeit der Lineal-Skala bei ENIG kein Problem, und habe jetzt auch belastbare Referenzen was die Lesbarkeit von Silkscreen/PCB-Print in invertiert/nicht invertiert mit und ohne Stopplack angeht :) Und ja, das Bild ist absichtlich so groß, damit man die Details erkennt. Bevor hier irgendwelche selbsternannten Bandbreitensparer ankommen, aus der Kamera kam es mit 20MB :P Grüße Moritz
Sieht super aus :-). Grüsse, René
Moritz A. schrieb: > Falls jemand Interesse hat, ich habe davon noch 9 Stück über; für die > Produktion der 10 Stück habe ich knapp 20€ gezahlt. 2€/Stück + > Verpackung/Versand 2€ wer noch ein kleines Nikolausgeschenk sucht ;) > > Grüße > Moritz Ich! bitte 2 reservieren, bekommst gleich mehl
Hallo Moritz, ich habe eben im Wiki gesehen, dass bei den Vorbestellungen die 500er Marke geknackt ist. Sinkt damit der Stückpreis? Wenn ja, dann würde ich eventuell meine Bestellmenge noch erhöhen. L.G. Micha
Hi, Michael R. schrieb: > ich habe eben im Wiki gesehen, dass bei den Vorbestellungen die 500er > Marke geknackt ist. > Sinkt damit der Stückpreis? ich weiß gar nicht mehr ob die Preisschätzung von mir stammte, aber ich habe sowieso noch kein konkretes Angebot eingeholt bzw Kalkulation durchgeführt. Im Moment habe ich ja erstmal auch noch anderes zu tun. Aber es ist wohl durchaus im Bereich des möglichen ;) Grüße Moritz
So, es geht voran, es sind wieder ein paar mehr Footprints dazugekommen: https://raw.github.com/maugsburger/ucruler/master/ucruler_top.png Über das schönere Anordnen muss ich mir bei Gelegenheit auch noch einmal ein paar Gedanken machen :)
Moritz A. schrieb: > So, es geht voran, es sind wieder ein paar mehr Footprints dazugekommen: > https://raw.github.com/maugsburger/ucruler/master/ucruler_top.png > > Über das schönere Anordnen muss ich mir bei Gelegenheit auch noch einmal > ein paar Gedanken machen :) Hallo Moritz, das letzte Muster ist wirklich sehr schön und ich habe mich auch schon eingetragen. Werden die Lineale unterm Weihnachtsbaum liegen können?
F. Fo schrieb: > das letzte Muster ist wirklich sehr schön und ich habe mich auch schon > eingetragen. > Werden die Lineale unterm Weihnachtsbaum liegen können? 2014 auf jeden Fall ;) Dieses Jahr könnte es eventuell klappen, jenachdem wie ich vorankomme, was ich im Moment noch nicht absehen kann. Gerade bei den Wertetabellen – manchmal hat man sofort was sinnvolles, teilweise darf man einen halben Tag das Internet durchforsten.
Moritz A. schrieb: >> Werden die Lineale unterm Weihnachtsbaum liegen können? > Dieses Jahr könnte es eventuell klappen, jenachdem wie ich vorankomme, > was ich im Moment noch nicht absehen kann. 500 Lineale in 3 Wochen inkl. Fertigung, Verpackung, Versand UND Weihnachtsstress? Da würde ich wenn das überhaupt hinhauen sollte für die Ungeduldigen ja fast Expressaufschlag verlangen. ;-) Die Musterplatinen sind toll, insbesondere gefreut haben mich die Bohrlöcher, die ja nun doch durchkontaktiert sind. Meine Verneigung für dein Engagement.
Marco André schrieb: > 500 Lineale in 3 Wochen inkl. Fertigung, Verpackung, Versand UND > Weihnachtsstress? Da würde ich wenn das überhaupt hinhauen sollte für > die Ungeduldigen ja fast Expressaufschlag verlangen. ;-) Oops, ist schon wieder Weihnachten? Aber mittlerweile bin ich auch davon überzeugt, dass es bis dahin nichts wird. > Die Musterplatinen sind toll, insbesondere gefreut haben mich die > Bohrlöcher, die ja nun doch durchkontaktiert sind. Ehrlich gesagt hatte ich das einfach nicht spezifiziert und bei einseitiger Platine auch nicht damit gerechnet. Mit entsprechenden Bohrern "nachgemessen" zeigt sich, dass manche gerade so leicht verkantet durchgehen, andere hingegen nicht, in das 0,1mm größere Loch passen aber alle problemlos und haben leichtes seitliches Spiel. So langsam ist die Vorderseite dann auch voll: https://raw.github.com/maugsburger/ucruler/master/ucruler_top.png Ich denke etwas (T)SSOP, sobald ich hierfür eine geeignete Darstellungsform gefunden habe, dann eventuell die Pin-Spacing-Lehren am rechten Rand noch etwas länger + mit Zählhilfe versehen, und dann kommt der Textteil.
So, die Front würde ich dann mal als fertig betrachten. Statt TQFP-Gehäusen habe ich jetzt für diverse Pin-Abstände Zählhilfen angebracht, für 1.27mm/2.54mm lässt sich ja problemlos das zöllige Lineal verwenden.
Im Prinzip könntest bei den Alu-Elkos platz sparen wenn du die kleineren in die grösseren packst, dürfte auch bei den DPAKs gehen. Verbesserungen: - bei dem Hühnerfutter die Bauteile Rechtsbündig ausrichten. - SMA,SMB,SMC untereinander - PLCC auch untereinander das sieht besser aus.
K. J. schrieb: > Im Prinzip könntest bei den Alu-Elkos platz sparen wenn du die kleineren > in die grösseren packst, dürfte auch bei den DPAKs gehen. Hatte ich testweise schon gemacht, aber da ich die inneren um 90° drehen musste, sah das beschissen und unübersichtlich aus. Falls mir wieder erwarten noch irgendwelche Packages einfallen denke ich evtl. nochmal darüber nach, aber so direkt sehe ich keine Notwendigkeit. Bei den DPAKs hingegen funktioniert das überhaupt nicht, die haben ja auch untendrunter Kupfer (die grünen Flächen). > Verbesserungen: Generell kommt da noch etwas Finetuning mit der Ausrichtung, siehe auch die Punkte gleich; es ist mir insgesamt teils zu chaotisch. > - bei dem Hühnerfutter die Bauteile Rechtsbündig ausrichten. Das ist generell noch eine "Fleißarbeit", ich wollte bei allen Teilen noch einmal die Aufhängepunkte von der Mitte an den Rand verschieben, um sie ordentlicher Ausrichten zu können. > - SMA,SMB,SMC untereinander Da sie auch keine Einheitliche Breite haben macht das keinen wirklichen Unterschied; aber es bringt mich in Konflikte bei anderen Footprints, da ich die Beschriftung konsequent rechts/über/im Bauteil haben möchte. > - PLCC auch untereinander das sieht besser aus. Jenachdem wie es am Ende vom Platz her passt, ja. Wer selber mal damit spielen möchte findet die Eagle-Datei auch unter https://raw.github.com/maugsburger/ucruler/master/ucruler.brd (Datei->Speichern unter). Grüße Moritz
Gefällt mir bis jetzt sehr gut! Werde auf jeden Fall bei meiner Vorbestellung bleiben und evtl. sogar auf 10 erhöhen! Finde ich echt gut was du machst! :)
Wie sieht es nun eigentlich aus? Keinesfalls als drängeln empfinden, wollte einfach nur mal nachgefragt haben ;-)
Es sieht so aus, wie es im Wiki verlinkt ist ;) Ich bezweifel auch, dass sich das bis Mitte Januar groß ändern wird, ich genieße erstmal meinen Urlaub und Zeit mit der Familie.
Moritz A. schrieb: > Es sieht so aus, wie es im Wiki verlinkt ist ;) > > Ich bezweifel auch, dass sich das bis Mitte Januar groß ändern wird, ich > genieße erstmal meinen Urlaub und Zeit mit der Familie. Der Urlaub sei dir auch gegönnt! :-) Das Teil sieht aber schon richtig geil aus. Was werden die wohl kosten? Muss bis Mitte 2014 mal ein bisschen auf die Bremse treten, weil ich noch eine ziemlich teure Ausbildung bezahlen muss, aber wenn die nicht so teuer werden, dann verdoppel ich glatt noch mal.
Habe die Anzahl der Vorbestellungen auf Mcruler soeben auf (geprüfte) 666 Stück erhöht. Bin gespannt aufs Ergebnis!
Maik Fox schrieb: > Habe die Anzahl der Vorbestellungen auf Mcruler soeben auf > (geprüfte) 666 Stück erhöht. Bin gespannt aufs Ergebnis! Du 'Teufelskerl', aber das konnte wohl jemand nicht so stehen lassen. Bestimmt ein Kirchgänger.
Müsste 160mm lang sein. Dann wäre auch Europaformat mit drin. Sehen wirklich toll aus. Momentan bin ich wohl Spitzenreiter :-P Will mal euren Ehrgeiz ankurbeln.
So, ich habe mich als Interessent auch mal noch eingetragen. Sieht gut aus!
Bin auch auf der Liste ;) Hab im übrigen mal kurz "meinen Lieferanten" gefragt, da kosten die ab 800 1,50€ pro Stück und bei 1000 1,45€ inkl. allem außer E-Test ;) Mit so 1-5 Cent mehr^^. Wie viel hattet ihr denn? MfG
Gibt es schon Planungen zur Bestellung?
T.roll schrieb: > Gibt es schon Planungen zur Bestellung? Ich warte lieber, bis das gute Stück fertiggestellt ist. Wer will schon ein halbfertiges Lineal...
Hier ein Link zu einem alternativen Ruler-Projekt: https://github.com/hemalchevli/Open-Source-PCB-Ruler Dort liegt der Fokus wohl mehr auf den großen Footprints. Tabellen und Leiterbahnstärken sind gar keine drauf. Den Sinn der großen Rasterfläche auf der Rückseite habe ich noch nicht ganz verstanden. Aber vielleicht kann man noch den einen oder anderen Footprint dort borgen.
Naja wenn man einige von den Dingern da hat und mal schnell was probieren will. Man kann es dann halt nichtmehr als Lineal nutzen.
Das Projekt wurde wohl eingestellt, oder?
T.roll schrieb: > Das Projekt wurde wohl eingestellt, oder? Da sagste was. Würde mich auch sehr interessieren, ob es noch weiter geht.
Ich habe es nicht aufgegeben, aber im Moment diverse Projekte die mir persönlich wichtiger sind, und nur Tage mit beschränkt viel Zeit.
Gerd E. schrieb: > Den Sinn der großen Rasterfläche > auf der Rückseite habe ich noch nicht ganz verstanden. Ich denke das ist eine Prototyp Area mit Lötpunkten - auch für SMD. Direkt daneben ist Micro-USB Buchse in SMD. Peter
Moritz A. schrieb: > Ich habe es nicht aufgegeben, aber im Moment diverse Projekte die mir > persönlich wichtiger sind, und nur Tage mit beschränkt viel Zeit. Schön zu lesen, dass der Gedanke nicht gestorben ist.
Und um ehrlich zu sein, hat mich hier auch die Haltung mancher angekotzt. Bis auf eine Person hat sich niemand bereit erklärt, irgendwo zu helfen, aber andererseits wurde gleich geschrien, dass man es doch für 1,50€/Stück produzieren kann und dann doch auch nicht mehr dafür verlangen darf. Ich habe die Eagle-Files veröffentlicht. Wer meint, es billiger machen zu können, darf das gerne machen (CC-BY-SA), aber ich behalte mir vor für meine Arbeit einen kleinen Obulus zu behalten. Reich werde ich davon nicht, aber meine Freundin richtig gut zum Essen ausführen sollte schon drin sein.
Was ist los damit ? Geht es weiter ? Kann ich helfen ? Gruß
Würde mich auch interessieren, ob das Projekt gestorben ist...
Da liegt man aber bei schlappen 18,50 EUR Versandkosten... Das Adafruit-Lineal gabs IIRC auch bei Watterott? Mit freundlichen Grüßen Thorsten Ostermann
Habe das Vorbestellung im Wiki aktualisiert, mit meiner Vorbestellmenge.
Hat denn jemand hier vorher Geld verlangt?
Ich glaube ich war schon weiter als ich es in Erinnerung hatte, wenn ich mir das so ansehe. Dann kann ich sie ja vielleicht doch mal zwischendrin reinschieben. Eigentlich fehlte nur noch die Tabelle Luft-/Kriechstrecke, die ich noch irgendwie brauchbar reduzieren muss, damit sie auch draufpasst. Da hatte mir elektr-hobbyist schonmal netterweise was zusammengesucht, wobei es natürlich auch noch Leiterbahnabstände und http://www.h-team.eu/Dokumente/Tabellen/Wieland%20factsdata_1411-1447.pdf gibt.
1 | Tabelle Luft- Kriechstrecken: |
2 | |
3 | U-/ V 15 29 59,4 75 138,5276 475 |
4 | U~/ V 12 24 48 60 115 230 400 |
5 | L 0,15 0,18 0,23 0,25 0,38 0,74 1,27 |
6 | Gr.A a 0,2 0,23 0,31 0,35 0,48 0,92 1,58 |
7 | b 0,3 0,37 0,46 0,5 0,67 1,2 2,12 |
8 | L 0,4 0,47 0,62 0,7 0,95 1,5 2,5 |
9 | Gr.B a 0,6 0,73 0,92 1,0 1,25 1,89 3,17 |
10 | b 0,8 0,93 1,18 1,3 1,89 2,84 4,25 |
11 | L 0,8 0,93 1,12 1,2 1,54 2,36 3,67 |
12 | Gr.C a 1,2 1,4 1,62 1,7 2,12 2,87 4,75 |
13 | b 1,7 1,9 2,18 2,3 2,89 3,84 6,33 |
14 | __________________________________________ |
15 | L=Luft, a/b=Kriech |
16 | __________________________________________ |
17 | |
18 | Zu a/b |
19 | |
20 | Gruppe Kriechstrom- Kriechstrecke |
21 | festigkeit |
22 | (Mindestwert) ohne Rippen mitRippen |
23 | I KB 100 b (a+b)2 |
24 | II KB 380 (a+b)2 a |
25 | III KB> 600 a a |
Hier war ich jetzt noch am Überlegen, wie ich das sinnvoll zusammenfasse – sowohl die Gruppen I-III und A-C sind ohne weitere Referenz imho eher unbrauchbar, eigentlich hätte ich nur gerne Faustwerte für "Normalbetrieb" (<2000m, Haushalt indoor) für Luft- und Kriechstrecken, wer andere Situationen hat muss sowieso im Zweifelsfall das ganze anderweitig nachsehen. Was ich auf jeden Fall noch drauf packen will ist AWG/mm. Grüße Moritz
Ich hätte noch eine Frage: Was hat es mit den fontsize Angaben aufsich? Wo benötigt man so was? Danke :)
Fer T. schrieb: > Was hat es mit den fontsize Angaben aufsich? > Wo benötigt man so was? Ganz einfach: Beim Beschriften der Platine als Referenz, was wie gut lesbar ist ;)
Kann man denn hier noch Interesse anmelden? Oder sind die Bestellung schon durch.
Hallo, Juli V. schrieb: > Kann man denn hier noch Interesse anmelden? Oder sind die Bestellung > schon durch. Ja, Nein. Hier eintragen: http://www.mikrocontroller.net/articles/Mcruler#Vorbestellungen Mit freundlichen Grüßen Guido
Gibt es auch eine Information, in welchem Zeitrahmen das dann stattfinden wird? Habe dazu nichts im Wiki gefunden.
Vielleicht ja dieses Jahr vor Weihnachten ;-) Freue mich schon drauf :)
Hallo, Juli V. schrieb: > Gibt es auch eine Information, in welchem Zeitrahmen das dann > stattfinden wird? meines Wissens gibt es derzeit keinen Zeitrahmen. Wenn Du Moritz in der Sache unterstützt geht es schneller ;-) Fer T. schrieb: > Vielleicht ja dieses Jahr vor Weihnachten ;-) Wäre nicht schlecht. Aber ich bin in der Sache geduldig. Es ist ja schließlich nur ein "Elektronik-Gadget". Mit freundlichen Grüßen Guido
Werden die Kupferflächen irgendwie veredelt? Mit chem. Gold oder so? Kupfer würde ja mit der Zeit grün werden und dann sieht das nicht mehr so schön aus!
oiuztr schrieb: > Werden die Kupferflächen irgendwie veredelt? Mit chem. Gold oder > so? > Kupfer würde ja mit der Zeit grün werden und dann sieht das nicht mehr > so schön aus! https://www.mikrocontroller.net/articles/Mcruler#Spezifikationen Siehe Wikieintrag: ENIG Gold
Fer T. schrieb: > oiuztr schrieb: >> Werden die Kupferflächen irgendwie veredelt? Mit chem. Gold oder >> so? >> Kupfer würde ja mit der Zeit grün werden und dann sieht das nicht mehr >> so schön aus! > > https://www.mikrocontroller.net/articles/Mcruler#Spezifikationen > Siehe Wikieintrag: ENIG Gold Danke! Wer lesen kann ...
Sorry fürs pushen, aber wie geht es hier weiter? Wann wird es diese Lineale geben? Wird es sie irgendwann geben? Wie machen wir das mit dem Versand und der Bezahlung? Kümmert sich momentan noch irgendwer darum? In dem Github ist seit 8 Monaten nichts passiert!
Falls Moritz kein Interesse mehr an den Linealen hätte könnten wir am aktuellen Layout einige Sachen ändern und eine schnelle Runde bestellen? Vielleicht finden wir eine kleine Gruppe damit wir mal eine erste Runde bestellen.
Dennis X. schrieb: > Falls Moritz kein Interesse mehr an den Linealen hätte könnten wir am > aktuellen Layout einige Sachen ändern und eine schnelle Runde bestellen? Was würdest du denn ändern wollen? Ihr dürft auch gerne über andere offene Punkte, die ich oben beschrieben habe, diskutieren. Jedes bisschen Konsenz, das hier entsteht, so dass ich mich da nicht ewig tief reingraben muss, spart Zeit und beschleunigt. Vor Mitte Oktober wird es bei mir aber mit der Bestellung definitiv nichts werden, danach habe ich es aber mittlerweile fest vorgemerkt. Das Layout kann natürlich davor schon fertig werden (s.o.…) und für eigene Bestellungen verwendet werden.
Moritz A. schrieb: > Was würdest du denn ändern wollen? Im Wiki stand noch was von TQFP wenn noch Platz ist -> Platz ist ja auf jeden Fall noch. Und evtl. die E-Reihen.
Moritz A. schrieb: > > Vor Mitte Oktober wird es bei mir aber mit der Bestellung definitiv > nichts werden, danach habe ich es aber mittlerweile fest vorgemerkt. Das > Layout kann natürlich davor schon fertig werden (s.o.…) und für eigene > Bestellungen verwendet werden. Klingt nach einem Prima Weihnachtsgeschenk =) Weiter so.
@Moritz: Wenn du dir den Aufwand für die Versandabwicklung nicht antun willst, kann ich das evtl. auch über meine Firma abwickeln. Dann könnte man evtl. auch Rechnungen mit MwSt.-Ausweis machen. Allerdings müsste dass dann so kalkuliert werden, dass ich nicht drauf lege, sprich auch so Kleinkram wie Briefumschläge und sonstiger Overhead müssten einkalkuliert werden. Vor allem würde ich an einer Mindestmenge festhalten, damit der Aufwand nicht zu groß wird. Oder die Mengen 2-4 müssten entsprechend teurer ausfallen. Mit freundlichen Grüßen Thorsten Ostermann
Dennis X. schrieb: > Im Wiki stand noch was von TQFP wenn noch Platz ist -> Platz ist ja auf > jeden Fall noch. Den Platz sehe ich im Moment ehrlich gesagt nicht. Die Vorderseite ist voll https://raw.githubusercontent.com/maugsburger/ucruler/master/ucruler_top.png, bis auf den Platz für einen Sponsor (ja, da kann noch was sinnvolles hin, war nur für's Auge damit da nicht so leer ist:D). IMHO frisst TQFP nur viel Platz, insb. da es hier verschiedene Pin-Abstände gibt, die alle wieder einen eigenen Footprint verlangen. Daher habe ich hier die Zählreihen rechts vorgesehen, Bauteil anlegen, schauen dass der Abstand passt, Pinzahl ablesen. > Und evtl. die E-Reihen. Die könnte man wohl noch unter die Tabellen quetschen, so wie es ausschaut passt das bis E24. Ich habe gerade eine Änderung gepusht, das Design passt noch nicht ganz (Invertierung Überschrift etc), aber der Platz ist schonmal reserviert ;)).
Wenn man im zölligen Raster routet wählt man meist auch die Leiterbahnen zöllig. Ich fände daher ein paar Bohrungen und Leiterbahnbreiten mit Inch Maßen noch ganz hilfreich. Oder eine kleine Umrechnungstabelle. Oder ist das auf der Unterseite schon drauf? Wie sieht die aktuell aus? Mit freundlichen Grüßen Thorsten Ostermann
Thorsten Ostermann schrieb: > Wenn man im zölligen Raster routet wählt man meist auch die Leiterbahnen > zöllig. Ich fände daher ein paar Bohrungen und Leiterbahnbreiten mit > Inch Maßen noch ganz hilfreich. Das Zoll-Lineal enhtält Bohrungen im 2,54mm- und 1,27mm-Raster. > Oder eine kleine Umrechnungstabelle. > Oder ist das auf der Unterseite schon drauf? Wie sieht die aktuell aus? Befindet sich auf der Rückseite, die Grafiken sind im Wiki verlinkt unter 'aktueller Stand': http://www.mikrocontroller.net/articles/Mcruler#Infos
Thorsten Ostermann schrieb: > Wenn du dir den Aufwand für die Versandabwicklung nicht antun > willst, kann ich das evtl. auch über meine Firma abwickeln. Dann könnte > man evtl. auch Rechnungen mit MwSt.-Ausweis machen. Allerdings müsste > dass dann so kalkuliert werden, dass ich nicht drauf lege, sprich auch > so Kleinkram wie Briefumschläge und sonstiger Overhead müssten > einkalkuliert werden. Das habe ich sowieso auch alles immer mit einkalkuliert, das reine verschicken ist sogar halbwegs flott gemacht. Da habe ich durch den Transistortester sowieso schon fertige Skripte für Bestellabwicklung über Google-Docs bis hin zum Etikettendruck mit Adresse und Inhalt, so dass sich an dieser Stelle kaum noch Zeit sparen lässt. Aber Danke für dein Angebot.
So, ich glaube das unfassbare ist geschehen: Ich habe gerade ein paar Stündchen Zeit gefunden, um endlich mal fertig zu werden ;) Ihr dürft gerne nochmal draufschauen, und wenn ich nicht irgendwo noch unübersehene Fehler habe kommt die nächsten Tage dann auch die richtige Sammelbestellung dazu. Ich empfehle übrigens die PDF-Version, da sind die Details einfach um Welten besser sichtbar! Grüße Moritz
Moritz A. schrieb: > So, ich glaube das unfassbare ist geschehen: Ich habe gerade ein paar > Stündchen Zeit gefunden, um endlich mal fertig zu werden ;) Vielen Dank daß Du da drangeblieben bist! Gefällt mir in der Form wirklich besser als die Varianten vom EEVblog oder Adafruit. Darf man noch Verbesserungsvorschläge machen? Auf der Zoll-Seite sind ja Lochreihen für 2,54mm und 1,27mm vorgesehen. Wäre das nicht auch sinnvoll auf der metrischen Seite für 2mm-Raster? Findet man ja hin und wieder und dann ist es praktisch das schnell von was anderem abgrenzen zu können. Die Tabelle für Spacing auf FR4 auf der Rückseite ist in mm angegeben, korrekt? Magst Du da noch irgendwo "mm" dazuschreiben daß es klar ist? Dann ist mir noch aufgefallen, daß der Block mit den Fontsizes doppelt ist, also auf der Vorder- und Rückseite. Ist das Absicht? Ne sinnvolle Tabelle die mir statt dessen noch einfiele, wäre AWG zu mm Durchmesser zu mm².
Gerd E. schrieb: > Darf man noch Verbesserungsvorschläge machen? Auf der Zoll-Seite sind ja > Lochreihen für 2,54mm und 1,27mm vorgesehen. Wäre das nicht auch > sinnvoll auf der metrischen Seite für 2mm-Raster? Findet man ja hin und > wieder und dann ist es praktisch das schnell von was anderem abgrenzen > zu können. Da stimme ich dir zu, kommt rein. > Die Tabelle für Spacing auf FR4 auf der Rückseite ist in mm angegeben, > korrekt? Magst Du da noch irgendwo "mm" dazuschreiben daß es klar ist? Hmm, könnte schwer werden, da ist schon wirklich sehr voll. Aber eigentlich sind konsistent alle Angaben in mm, wieso sollte ich an dieser Stelle also davon abweichen? Ich behalte es aber im Hinterkopf falls sich eine Gelegenheit ergibt. > Dann ist mir noch aufgefallen, daß der Block mit den Fontsizes doppelt > ist, also auf der Vorder- und Rückseite. Ist das Absicht? Ne sinnvolle > Tabelle die mir statt dessen noch einfiele, wäre AWG zu mm Durchmesser > zu mm². Ja, er ist einmal in Kupfer, einmal in Silkprint, da ich die Erfahrung gemacht habe dass die Lesbarkeit auf Kupfer durch die Reflektion teilweise merkbar schlechter ist. Die AWG/mm/mm²-Tabelle wäre aber durchaus sinnvoll, das Problem hatte ich auch schon öfter. Ich schaue mal ob ich irgendwo was umstellen kann.
Echt prima, bin dabei. Danke Dir Moritz, für Deine Zeit, Deine Arbeit und Deine Geduld!
Moritz A. schrieb: > Da stimme ich dir zu, kommt rein. Vielen Dank. > Ja, er ist einmal in Kupfer, einmal in Silkprint, da ich die Erfahrung > gemacht habe dass die Lesbarkeit auf Kupfer durch die Reflektion > teilweise merkbar schlechter ist. ok, daran hatte ich nicht gedacht - macht natürlich Sinn so. > Die AWG/mm/mm²-Tabelle wäre aber durchaus sinnvoll, das Problem hatte > ich auch schon öfter. Ich schaue mal ob ich irgendwo was umstellen kann. Du scheinst ja noch Platz gefunden zu haben - Vielen Dank. Ich muß ehrlich sagen daß ich die Kabeldickentabelle doch recht oft brauche, ich kann mir diese AWG-Geschichten nie merken, leider findet man aber in vielen Stecker-Datenblättern etc. ausschließlich AWG. Vor allem auch noch die kleineren Maße. Ich würde dafür von der Gewindetabelle M1 bis M1,6 rauswerfen, das ist so fein daß es eher selten zu finden ist. Dafür dann die Kabeldickentabelle bis AWG 34 oder AWG 36 erweitern, je nachdem wieviel dann hinpasst.
Gerd E. schrieb: > Ich würde dafür von der > Gewindetabelle M1 bis M1,6 rauswerfen, das ist so fein daß es eher > selten zu finden ist. Dafür dann die Kabeldickentabelle bis AWG 34 oder > AWG 36 erweitern, je nachdem wieviel dann hinpasst. Das macht alleine schon von der Größe der Überschrift her Probleme. Ich könnte natürlich die 500~/600= bei Clearance/Creepage entsorgen, und damit die Bohrlochtabelle weiter nach rechts rücken, so dass mehr Platz für die AWG kommt. Wobei ich persönlich bisher mit derartig kleinen Größen eher weniger zu tun hatte. Ich frage mich gerade sowieso, was die 380~ sollen, wenn ich im Nachhinen darüber nachdenke, da mache ich wohl lieber 400~ draus. Ich habe mittlerweile mal die Kosten ausgerechnet, es wird sich wohl bei 2,50€ pro Lineal einpendeln. Das ist zwar etwas mehr als die initialen 2€ für das "Original", aber die Fläche meines Entwurfs ist auch fast doppelt so groß. Grüße Moritz
Wie ist das jetzt aktuell, wenn man noch mitbestellen möchte, einfach eintragen? Wie lange denkst du wird es ab heute noch ca. dauern bis zur Bestellung?
Mike Mike schrieb: > Wie ist das jetzt aktuell, wenn man noch mitbestellen möchte, einfach > eintragen? Du musst dich nicht extra eintragen, das ist mittlerweile so lange her dass ich der Liste nur noch begrenzt Vertrauen schenke. Und ca 100 Leute oder wie viele das da mittlerweile sind per Hand anschreiben, da fehlt mir der Mechanical Turk zu. Ich werde dann einen neuen Thread eröffnen, in dem alles drin steht. Der wird natürlich hier erwähnt, also für's erste dieses Topic abonnieren sollte reichen. > Wie lange denkst du wird es ab heute noch ca. dauern bis zur > Bestellung? Spätestens zum Wochenende sollte es soweit sein. Grüße Moritz
Moritz A. schrieb: > Du musst dich nicht extra eintragen, das ist mittlerweile so lange her > dass ich der Liste nur noch begrenzt Vertrauen schenke. Vielleicht nicht der Liste, aber mir. :-) Meine Bestellung bleibt so.
Okay danke. Bin auf jeden Fall auch mit dabei.
Moritz A. schrieb: > Gerd E. schrieb: >> Ich würde dafür von der >> Gewindetabelle M1 bis M1,6 rauswerfen, das ist so fein daß es eher >> selten zu finden ist. Dafür dann die Kabeldickentabelle bis AWG 34 oder >> AWG 36 erweitern, je nachdem wieviel dann hinpasst. > > Das macht alleine schon von der Größe der Überschrift her Probleme. Du könntest die z.B. auf "Metric Threads" oder abkürzen, oder ist das Problem an einer anderen Stelle? > so dass mehr Platz > für die AWG kommt. Wobei ich persönlich bisher mit derartig kleinen > Größen eher weniger zu tun hatte. Die ganzen dünnen Datenkabel sind gerne so fein. Oder auch die einzelnen Drähte in Transformatoren wenn es um hohe Windungszahlen geht. > Ich frage mich gerade sowieso, was die 380~ sollen, wenn ich im > Nachhinen darüber nachdenke, da mache ich wohl lieber 400~ draus. ;)
Metric Threading M5, hast n punkt vergessen
Moritz A. schrieb: > So, mehr AWG und weniger Löcher. Und der Pacman passt immer noch drauf! Danke, ist gut so. Mir ist gerade noch aufgefallen daß mit den Pinzählungen bei SSOP und TSSOP was nicht stimmt, der 8er sitzt jeweils bei Pin 10. Der 28er ist dann auch falsch. Bei SOIC stimmen der Strich für den 20er bis 28er auch nicht ganz. Ich vermute Du hast das irgendwann mal verschoben aber der Silk ist aus versehen nicht mitgekommen oder so ähnlich. Noch ne Kleinigkeit: beim 1mm/1mm Trackmuster ist der oberste Track nicht ganz bündig. Könntest Du vielleicht auch noch den Abstand zwischen den 0.5mm / 0.6mm / 0.8mm Trackmustern ein klein wenig vergrößern und den Platz nach unten zum Zoll-Maß ausnutzen? Dann kann man die besser auseinanderhalten. Wie ist das eigentlich bei den Pinrastermustern gedacht? Da gibt es jeweils eine 0-Linie und dann 9 Pins negativ und der Rest positiv. Was ist der Clou dahinter daß das nicht alles positiv hochgezählt wird?
Hallo, Gerd E. schrieb: > Wie ist das eigentlich bei den Pinrastermustern gedacht? Da gibt es > jeweils eine 0-Linie und dann 9 Pins negativ und der Rest positiv. Was > ist der Clou dahinter daß das nicht alles positiv hochgezählt wird? hierzu auch von mir eine Frage. Die Nulllinien sitzen zwischen den PADs. Das finde ich in Ordnung. Wäre es jedoch nicht besser die Linien mit den Ziffern auf die Höhe der entsprechenden PADs zu setzen, d.h. diese Linie nicht zwischen die PADs zu setzen. Vielleicht verstehe ich auch nicht ganz die Funktionsweise der Muster. Mit freundlichen Grüßen Guido
Guido C. schrieb: > Wäre es jedoch nicht besser die Linien mit den > Ziffern auf die Höhe der entsprechenden PADs zu setzen, d.h. diese Linie > nicht zwischen die PADs zu setzen. Ich finde das so schon gut gemacht: Du setzt nen IC drauf, die eine Seite an die Nulllinie und dann schaust Du, wie weit der geht und liest dort die Zahl ab. Der IC sitzt zwischen den beiden Strichen, daher ist der eben nicht auf dem Pad, sondern im Zwischenraum.
F. Fo schrieb: > Moritz A. schrieb: >> Du musst dich nicht extra eintragen, das ist mittlerweile so lange her >> dass ich der Liste nur noch begrenzt Vertrauen schenke. > > Vielleicht nicht der Liste, aber mir. :-) Meine Bestellung bleibt so. Meine auch. Gruesse Andreas
Gerd E. schrieb: > Wie ist das eigentlich bei den Pinrastermustern gedacht? Da gibt es > jeweils eine 0-Linie und dann 9 Pins negativ und der Rest positiv. Was > ist der Clou dahinter daß das nicht alles positiv hochgezählt wird? Der Clou ist, dass du dich nicht dappig zählst ;) Du setzt ihn auf 0 an, nach Links überstehend -> passt nicht. Du setzt ihn auf 10 an, nach Links überstehend -> passt. Links von der Nulllinie 4 abgelesen, rechts hast du die 10, das addierst du schnell -> 14 Pins pro Seite. Gerd E. schrieb: > Mir ist gerade noch aufgefallen daß mit den Pinzählungen bei SSOP und > TSSOP was nicht stimmt, der 8er sitzt jeweils bei Pin 10. Der 28er ist > dann auch falsch. Bei SOIC stimmen der Strich für den 20er bis 28er auch > nicht ganz. Ich vermute Du hast das irgendwann mal verschoben aber der > Silk ist aus versehen nicht mitgekommen oder so ähnlich. Öh, Danke für den Hinweis. Da kümmere ich mich gleich rum, das wäre peinlich geworden! Die Striche sind eigentlich direkt in der Library drin, da hat bisher wohl keiner genau hingeschaut. Die gibt es ja nicht erst seit gestern. Gerd E. schrieb: > Noch ne Kleinigkeit: beim 1mm/1mm Trackmuster ist der oberste Track > nicht ganz bündig. Könntest Du vielleicht auch noch den Abstand zwischen > den 0.5mm / 0.6mm / 0.8mm Trackmustern ein klein wenig vergrößern und > den Platz nach unten zum Zoll-Maß ausnutzen? Dann kann man die besser > auseinanderhalten. Ja, ich schiebe gleich nochmal etwas rum. Guido C. schrieb: > hierzu auch von mir eine Frage. Die Nulllinien sitzen zwischen den PADs. > Das finde ich in Ordnung. Wäre es jedoch nicht besser die Linien mit den > Ziffern auf die Höhe der entsprechenden PADs zu setzen, d.h. diese Linie > nicht zwischen die PADs zu setzen. Vielleicht verstehe ich auch nicht > ganz die Funktionsweise der Muster. Wenn der Pin drüber ist siehst du die Linie aber nicht. Siehe auch die Beschreibung oben. Du hast deinen IC draufsitzen, und siehst sowohl die 10er- als auch die 4-er-Linie -> Pincount bekannt. Grüße Moritz
Moritz A. schrieb: > Gerd E. schrieb: >> Mir ist gerade noch aufgefallen daß mit den Pinzählungen bei SSOP und >> TSSOP was nicht stimmt, der 8er sitzt jeweils bei Pin 10. Der 28er ist >> dann auch falsch. Bei SOIC stimmen der Strich für den 20er bis 28er auch >> nicht ganz. Ich vermute Du hast das irgendwann mal verschoben aber der >> Silk ist aus versehen nicht mitgekommen oder so ähnlich. > > Öh, Danke für den Hinweis. Da kümmere ich mich gleich rum, das wäre > peinlich geworden! Die Striche sind eigentlich direkt in der Library > drin, da hat bisher wohl keiner genau hingeschaut. Die gibt es ja nicht > erst seit gestern. Nein, jetzt fällt mir wieder ein, was das sollte: Die Striche sind genau auf der Höhe, die das Package mit der entsprechenden Anzahl an Pins als Größe hat. Es sieht also vielleicht verwirrend aus, wenn man die Pins zählt – aber ist so durchaus korrekt und intuitiv, sobald man das konkrete Package auflegt.
Gerd E. schrieb: > Moritz A. schrieb: >> So, mehr AWG und weniger Löcher. So, ich habe in imperialer Manier die führenden Nullen weggelassen, gibt eine nutzbare Stelle mehr. > Und der Pacman passt immer noch drauf! Danke, ist gut so. Ohne meinen Pacman sage ich nichts ;) So ein bisschen Auflockerung sollte sein, damit wir hier kein schöndes Formelbuch haben. Mal wieder eine aktualisierte Version im Anhang, primär sind die Leiterbahnbreiten jetzt etwas entzerrt.
Meine "Bestellung" steht auch noch. Danke für die viele Arbeit, das ist wirklich gut geworden. Gruß Thomas
Hallo, Moritz A. schrieb: > Der Clou ist, dass du dich nicht dappig zählst ;) > > Du setzt ihn auf 0 an, nach Links überstehend -> passt nicht. > > Du setzt ihn auf 10 an, nach Links überstehend -> passt. > > Links von der Nulllinie 4 abgelesen, rechts hast du die 10, das addierst > du schnell -> 14 Pins pro Seite. Ich glaube jetzt verstehe ich den Gedankengang dahinter. Moritz A. schrieb: > Wenn der Pin drüber ist siehst du die Linie aber nicht. Siehe auch die > Beschreibung oben. Du hast deinen IC draufsitzen, und siehst sowohl die > 10er- als auch die 4-er-Linie -> Pincount bekannt. Die Bilder im Anhang verdeutlichen worauf ich hinaus wollte. Derzeit ist die Beschriftung zwischen den PADs. Für mich wäre ein Ablesen einfacher wenn die Beschriftung direkt an den PADs wäre. So ist die Zuordnung Beschriftung PAD eindeutiger. Mit freundlichen Grüßen Guido PS.: Meine Bestellung steht natürlich auch noch. Unabhängig davon, ob die Beschriftung zwischen oder an den PADs stehen wird.
Guido C. schrieb: > Die Bilder im Anhang verdeutlichen worauf ich hinaus wollte. Derzeit ist > die Beschriftung zwischen den PADs. Für mich wäre ein Ablesen einfacher > wenn die Beschriftung direkt an den PADs wäre. So ist die Zuordnung > Beschriftung PAD eindeutiger. Doh. Ich war mental festgefahren auf "Package von unten Anlegen". Sorum gefällt mir die Variante mit Beschriftung am Pad dann auch besser :D
Hallo, ich sehe schon, für das Ding braucht's noch eine Anleitung :-D Mit freundlichen Grüßen Guido
Die Anleitung gibt's dann auf einem zweiten Lineal ;-)
Also wenn es noch möglich ist, würde ich ebenfalls 5 Stück nehmen
Schönes nützliches Teil geworden. Moritz: Du machst noch einen Bestellthread auf, sagtest du? Ansonsten, meine 5 stehen bereits im Wiki.
Nehme auch 5 Stück, aber nur, wenn die Teile noch während der aktuellen Legislaturperiode des Bundestages ausgeliefert werden.
cooles Projekt, würde auch gerne 2 Stück mitbestellen.
Bei einer Bestellung wäre ich auch dabei.
Moritz A. schrieb: > Moritz A. schrieb: >> Gerd E. schrieb: >>> Mir ist gerade noch aufgefallen daß mit den Pinzählungen bei SSOP und >>> TSSOP was nicht stimmt, der 8er sitzt jeweils bei Pin 10. >> >> Öh, Danke für den Hinweis. Da kümmere ich mich gleich rum, das wäre >> peinlich geworden! > > Nein, jetzt fällt mir wieder ein, was das sollte: Die Striche sind genau > auf der Höhe, die das Package mit der entsprechenden Anzahl an Pins als > Größe hat. > > Es sieht also vielleicht verwirrend aus, wenn man die Pins zählt – aber > ist so durchaus korrekt und intuitiv, sobald man das konkrete Package > auflegt. Ich habe mal die aktuelle Version von Github genommen, das PNG in 1bit-schwarz/weiß konvertiert damit kein Raster stört, ausgedruckt und einen TSSOP 8 draufgelegt. Für meine Begriffe passt das noch nicht. Wobei man sagen muß das echtes TSSOP 8 selten ist, die meisten ICs sind dann etwas schmaler und nennen sich dann MSOP8 oder so. Aber auch für die passt der Strich so nicht. Noch was ganz anderes: die in den PNGs grün dargestellten Flächen sind Kupfer mit Lötstopp drüber, richtig? Bei schwarzem Lötstopp hatte ich bisher öfters mal Probleme die Leiterbahnen durch den Lötstopp zu erkennen. Lässt Du vorher von dem Hersteller, den Du nachher für die Produktion verwendest, ein Muster machen? Damit könnte man solche Probleme ausschließen.
Gerd E. schrieb: > Ich habe mal die aktuelle Version von Github genommen, das PNG in > 1bit-schwarz/weiß konvertiert damit kein Raster stört, ausgedruckt und > einen TSSOP 8 draufgelegt. Für meine Begriffe passt das noch nicht. > > Wobei man sagen muß das echtes TSSOP 8 selten ist, die meisten ICs sind > dann etwas schmaler und nennen sich dann MSOP8 oder so. Aber auch für > die passt der Strich so nicht. Ich habe in der Library (auch auf github) eigentlich immer vermerkt, aus welchem Datenblatt ich die Maße habe, aber kontrolliere das auch gerne nochmal morgen am Rechner. Kannst du noch ein Bild senkrecht von oben machen, stimmt die obere Grenze? > Noch was ganz anderes: die in den PNGs grün dargestellten Flächen sind > Kupfer mit Lötstopp drüber, richtig? Bei schwarzem Lötstopp hatte ich > bisher öfters mal Probleme die Leiterbahnen durch den Lötstopp zu > erkennen. Da ist die Grafik nicht ganz korrekt, im Moment wird nur Kupfer mit Cream, also Pads, golden dargestellt. Das war schon Arbeit genug, das Eagle so beizubringen, da die fraglichen Stop-Layer ja invertiert sind. Alles grünes Kupfer, das nicht unter einem Gehäuse liegt, ist ohne Stopplack. Also sowohl die Linealstriche als auch die ganzen Breitenraster. > Lässt Du vorher von dem Hersteller, den Du nachher für die Produktion > verwendest, ein Muster machen? Damit könnte man solche Probleme > ausschließen. Das bin ich gerade am klären, wie und was da zu welchen Kosten möglich ist. Moritz
Moritz A. schrieb: > Ich habe in der Library (auch auf github) eigentlich immer vermerkt, aus > welchem Datenblatt ich die Maße habe, aber kontrolliere das auch gerne > nochmal morgen am Rechner. Danke. > Kannst du noch ein Bild senkrecht von oben machen, stimmt die obere > Grenze? Bild anbei. Da ist noch etwas Luft zwischen der oberen Grenze und dem IC. Aber oben ist das ja lang nicht so kritisch wie unten. Hier auch noch der Link zum Datenblatt meines Test-ICs: http://www.st.com/web/en/resource/technical/document/datasheet/CD00002171.pdf > Alles grünes Kupfer, das nicht unter einem Gehäuse liegt, ist ohne > Stopplack. Also sowohl die Linealstriche als auch die ganzen > Breitenraster. Ok, also sowohl die im PNG golden als auch grün dargestellten Flächen sind nachher ohne Stopplack und folglich golden - es gibt da in der Produktion keinen Unterschied, der Unterschied ist nur im PNG-Export aus Eagle. Ich würde mir dann noch überlegen, ob Du nicht aus den Pinraster-Testflächen den Lötstopp ganz entfernst. Diese ganz feinen Lötstopp-Streifen zwischen den Pads lösen sich in der Produktion gerne mal ab und geben dann unschöne Streifen und Flecken. >> Lässt Du vorher von dem Hersteller, den Du nachher für die Produktion >> verwendest, ein Muster machen? Damit könnte man solche Probleme >> ausschließen. > > Das bin ich gerade am klären, wie und was da zu welchen Kosten möglich > ist. Wenn ich mir die Stückzahl aus den Vorbestellungen im Wiki so anschaue wäre das glaube ich echt keine schlechte Idee, selbst wenn es einmalig 150 EUR kostet (und damit den Endpreis erhöht) und den Zeitplan um 2 Wochen verschiebt.
Hier zum Vergleich noch eine etwas gängigere Bauform, ein TSSOP 16. Auch ein anderer Hersteller, hier TI. Auch hier sieht man, daß die Linien oben und unten nicht ganz stimmen. Hier aber nicht mehr ganz so daneben wie beim 8er. Ich bin diesmal auch etwas näher rangegangen damit man das Gehäuse besser sehen kann.
Hallo Moritz, habe auch mal bestellt. Wollte nur kurz nachfragen wegen der Lesbarkeit der Font Size im oberen Block ob das nur ein render Fehler ist? z.b. Font size 1.8 ist die halbe 8 schwarz die andere Hälfte wohl Enig. Und warum hast du den Font Size Block zweimal denn im unteren Block ist die Lesbarkeit wegen der nur teilweise vorhandene Kupferfläche etwas schlecht optisch Lesbar? Gruss Chris
Bin auch wie im wiki eingetragen mit 5 dabei (auch schon über die google seite) :-)
Gerd E. schrieb: > Ok, also sowohl die im PNG golden als auch grün dargestellten Flächen > sind nachher ohne Stopplack und folglich golden - es gibt da in der > Produktion keinen Unterschied, der Unterschied ist nur im PNG-Export aus > Eagle. Jein. Die "nicht sichtbaren" Pads sind auch unter Lötstopplack, ich habe zur Verdeutlichung mal ein bild aus den Gerber-Dateien manuell erzeugt. > Ich würde mir dann noch überlegen, ob Du nicht aus den > Pinraster-Testflächen den Lötstopp ganz entfernst. Diese ganz feinen > Lötstopp-Streifen zwischen den Pads lösen sich in der Produktion gerne > mal ab und geben dann unschöne Streifen und Flecken. Damit hatte ich noch keine Probleme, wobei der Hersteller das auch immer gar nicht erst produziert hat, wenn es unter die sauber beherrschbare Größe ging. Da es bei 0,4mm aber nicht passt, ist es konsistent, es bei den anderen auch wegzulassen. Chris K. schrieb: > Wollte nur kurz nachfragen wegen der Lesbarkeit der Font Size im oberen > Block ob das nur ein render Fehler ist? > z.b. Font size 1.8 ist die halbe 8 schwarz die andere Hälfte wohl Enig. > > Und warum hast du den Font Size Block zweimal denn im unteren Block ist > die Lesbarkeit wegen der nur teilweise vorhandene Kupferfläche etwas > schlecht optisch Lesbar? Ja, das ist teilweise ein Fehler im Rendering, Sinn ist dass der Font in Bestückungsaufdruck/Kupfer jeweils normal/invertiert, und dann zur Hälfte mit/ohne Lötstopplack ist. Ich habe mal ein Bild der Frontseite angehängt, wo das evtl. besser sichtbar wird. Grüße Moritz
Gerd E. schrieb: > Hier zum Vergleich noch eine etwas gängigere Bauform, ein TSSOP 16. Auch > ein anderer Hersteller, hier TI. Auch hier sieht man, daß die Linien > oben und unten nicht ganz stimmen. Hier aber nicht mehr ganz so daneben > wie beim 8er. Die Gehäuseform ist ein Arschloch ;) Ich bin jetzt mal genau nach http://www.analog.com/en/technical-library/packages/sop-small-outline-package/tssop-thin-1_2mm/index.html gegangen, und habe jeweils die obere und untere Grenze eingezeichnet für Pin1 oben links. Und das kam bei raus, die Striche zeigen von links nach rechts die Höhe bei 8, 14, 16, 20, 24, 28 Pins an. Schön sieht das aber nicht aus.
So genau braucht man es doch auch nicht. Mittel das aus und fertig. Kritischer finde ich den Hinweis von Gerd oben, dass der Strich mit der 8 an der Position ist wo eigentlich ein 12-Beiner aufhört. Mit freundlichen Grüßen Thorsten Ostermann
Moritz A. schrieb: > Ich bin jetzt mal genau nach > http://www.analog.com/en/technical-library/packages/sop-small-outline-package/tssop-thin-1_2mm/index.html > gegangen, und habe jeweils die obere und untere Grenze eingezeichnet für > Pin1 oben links. ich verwende meistens das als "Referenz": http://www.nxp.com/packages (vielleicht siehts damit "schöner" aus?)
Moritz A. schrieb: > Die Gehäuseform ist ein Arschloch ;) Da kann ich voll zustimmen - sie will uns das Konzept verhageln. Was lernen wir daraus: die Hersteller haben ein einigermaßen einheitlichen Pin-Abstand (in beide Dimensionen), das Gehäuse obendrauf ist aber ziemlich variabel. Warum halten wir uns dann nicht an das, was einheitlich ist: die Pins?
Michael Reinelt schrieb: > ich verwende meistens das als "Referenz": > > http://www.nxp.com/packages > > (vielleicht siehts damit "schöner" aus?) Ich habe http://www.microchip.com/stellent/groups/techpub_sg/documents/packagingspec/en012702.pdf eigentlich auch ganz gerne. Gerd E. schrieb: > Was lernen wir daraus: die Hersteller haben ein einigermaßen > einheitlichen Pin-Abstand (in beide Dimensionen), das Gehäuse obendrauf > ist aber ziemlich variabel. > > Warum halten wir uns dann nicht an das, was einheitlich ist: die Pins? Nach der Logik könnte man sich die kompletten Footprints sparen und alles über die Zählleisten machen. Aber es geht hierbei ja auch genau um die Dimensionen!
Moritz A. schrieb: > Ich habe > http://www.microchip.com/stellent/groups/techpub_sg/documents/packagingspec/en012702.pdf > eigentlich auch ganz gerne. Da habe ich schon lange nach gesucht. Danke!
Hallo, F. Fo schrieb: > Da habe ich schon lange nach gesucht. Danke! dergl. gibt's auch von OnSemi http://www.onsemi.com/pub_link/Collateral/CASERM-D.PDF Mit freundlichen Grüßen Selbsternannter Weltverbesserer
Selbsternannter Weltverbesserer schrieb: > F. Fo schrieb: >> Da habe ich schon lange nach gesucht. Danke! > > dergl. gibt's auch von OnSemi > http://www.onsemi.com/pub_link/Collateral/CASERM-D.PDF Ich habe mal alle mir bekannten Quellen unter Footprints vereint.
Ich habe gerade http://mayhewlabs.com/3dpcb entdeckt und damit eine Vorschau erzeugt. Gleichzeitig habe ich ebenso selber versucht, über gerbv das ganze realistisch darzustellen. Leider kann Eagle immer noch keine G36/G37 Polygons, sondern macht ein penplotfill (http://www.artwork.com/gerber/274x/rs274x.htm), so dass vermutlich irgendwelche Floating-Point-Abweichungen in gerbv diese Zwischenlinien erzeugen. Aber ich denke, man bekommt einen ganz guten Eindruck vom fertigen Aussehen.
Hat es eigentlich einen besonderen Grund, dass die Bohrlöcher mit 1/20"-Abstand näher am Platinenrand sitzen als die mit 1/10"- und 2mm-Abstand? Prinzipiell gefällt mir der Abstand der 1/20" besser.
mir fällt gerade auf, die Löcher links, sehen zentriert aus und die Löcher rechts, sehen rechtsbündig aus. Vielleicht kann man das auch korrigieren, zentriert sieht es besser aus.
es heißt Micromelf, nicht Mikromelf
Dirk W. schrieb: > Hat es eigentlich einen besonderen Grund, dass die Bohrlöcher mit > 1/20"-Abstand näher am Platinenrand sitzen als die mit 1/10"- und > 2mm-Abstand? Stabilität. Die Löcher sind (zumindest bei den zölligen Abständen) genau so positioniert, dass eine doppelreihige Pinleiste noch einsteckbar ist. Bei der 2mm-Reihe hatte ich darauf nicht mehr geachtet, daher ist sie nun etwas nach oben gewandert. Thomas O. schrieb: > mir fällt gerade auf, die Löcher links, sehen zentriert aus und die > Löcher rechts, sehen rechtsbündig aus. Vielleicht kann man das auch > korrigieren, zentriert sieht es besser aus. Die Löcher rechts sind genauso zentriert gewesen, bis auf das 2,2mm-Loch. Nun sind alle zentriert. melf schrieb: > es heißt Micromelf, nicht Mikromelf Es gibt beide Schreibweisen, Herr Oberlehrer Witzigmelf. Aber Micro scheint weiter verbreitet zu sein.
Von Dave Jones gibt es eine neue Version: http://www.eevblog.com/forum/projects/new-uruler/ Er hat weiterhin keine Footprints drauf - da gefällt mir unser Design besser. Nur eine sinnvolle Spalte bei den Tabellen hat er noch mit drauf: bei den Kabelstärken AWG, mm, mm² hat er auch noch mOhm/m dabei. Hmm, kriegen wir das auch noch drauf? Wird langsam ein wenig eng. Man könnte evtl. die beiden Via-Tabellen zu einer zusammenfassen, dann fiele eine Durchmesser-Spalte raus. Und dann noch die Durchgangslöcher für M1,6 weglassen, dann könnte es draufpassen.
> http://www.eevblog.com/forum/projects/new-uruler/
Da ist ja ein Haufen Platz für nutzlosen Bilderquatsch verschwendet
worden.
Naja, geht halt mehr in Richtung Werbeartikel. :-)
Übrigens Moritz, vielen lieben Dank auch von meiner Seite, für die Viele
Mühe und Zeit, die Du für dieses Projekt aufgewendet hast.
L.G.
Micha
So, jetzt passen aber echt keine Wünsche mehr drauf. Es werden jetzt auch keine Inhaltsänderungen mehr angenommen, irgendwann ist mal fertig. Damit ist auch zu 99% Prozent die Version gegeben wie sie in die Produktion geht, wenn gibt es nur noch minimale kosmetische Änderungen.
Michael R. schrieb: > Naja, geht halt mehr in Richtung Werbeartikel. :-) ja, das geht wirklich in die Richtung. Moritz A. schrieb: > So, jetzt passen aber echt keine Wünsche mehr drauf. Es werden jetzt > auch keine Inhaltsänderungen mehr angenommen, irgendwann ist mal fertig. Du hast Recht, irgendwann ist Schluss, ich bleib jetzt still. Vielen Dank daß Du meine Vorschläge eingearbeitet hast.
Hallo, @Moritz Wie spricht man/du "ε²ruler" aus? [ ] e e ruler [ ] e squared ruler [ ] epsilon epsilon ruler [ ] epsilon squared ruler [ ] __________________ Mit freundlichen Grüßen Guido
Guido C. schrieb: > Wie spricht man/du "ε²ruler" aus? Ieh-Quadrat-Ruler! Eh-Zwo-Ruler, analog zu Ieh-Zwo-Zeh (I2C). E-E-Ruler. Oder wie auch immer du möchtest. Ich habe mich da absichtlich nicht festgelegt, am Ende wird doch sowieso "Wo ist mein verfluchtes Platinenlinealdingsi schon wieder" draus ;)
Hallo, Moritz A. schrieb: > Ich habe mich da absichtlich nicht festgelegt, am Ende wird doch sowieso > "Wo ist mein verfluchtes Platinenlinealdingsi schon wieder" draus ;) Ne, ne geflucht wird bei mir nicht ;-) Auch auf die Gefahr hin, dass Du mich gleich verfluchst, vielleicht wäre es sinnvoll die Beschriftung für die Bohrungen (1.4 mm bis 0.3 mm) auf der linken Seite etwas weiter nach links zu verschieben (s. Anhang). [Edit] Du musst natürlich darauf achten, dass der Bestückungsdruck noch genügend Abstand zum Rand des Lötstopplaminats besitzt (vermutlich 0.1 bis 0.2 mm). [/Edit] Mit freundlichen Grüßen Guido
Guido C. schrieb: > Auch auf die Gefahr hin, dass Du mich gleich verfluchst, vielleicht wäre > es sinnvoll die Beschriftung für die Bohrungen (1.4 mm bis 0.3 mm) auf > der linken Seite etwas weiter nach links zu verschieben (s. Anhang). Sind jetzt konsistent rechts und links 0.25mm ;)
Hallo, Moritz A. schrieb: > Sind jetzt konsistent rechts und links 0.25mm ;) Danke. Mit freundlichen Grüßen Guido
Namensvorschlag: Micrµla (Micro+Regula(Lineal)) oder GadgSheep. (gadget+sheep)
Frank G. schrieb: > Namensvorschlag: > Micrµla (Micro+Regula(Lineal)) Dabei fällt mir spontan "µRacoli" ein ;-) Ich sollte wohl gleich mal was essen gehen....
Hallo an alle Besteller! Moritz hat sich sehr viel Arbeit und Mühe gemacht. Seid doch so nett und packt ein bis 3 Euro oben drauf. Ich habe das auch gemacht. Er möchte das zwar nicht, aber wenn für ihn ein Essen dabei raus springt oder was er sonst so machen will, finde ich das nur mehr als gerecht und angemessen. Vielen Dank!
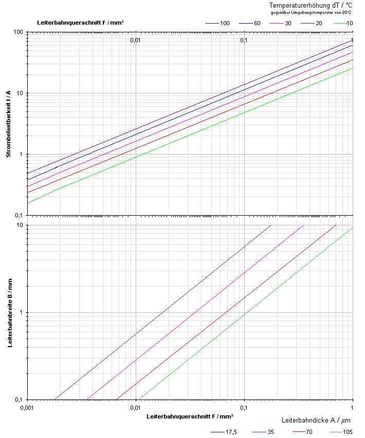
Da hier scheinbar der Diskussionsthread zu dem e²ruler ist folgende Frage zu einer Tabelle. Es geht um die Strombelastbarkeit der Leiterbahnen nach IPC-2221A bei 35µm. Für mich passt da Leiterbahnbreite und der Querschnitt nicht zusammen. Ich hätte spontan einfach Höhe mal Breite gerechnet, aber das stimmt nicht überein. Also bin ich von einem effektiven Querschnitt oder ähnlichem ausgegangen und habe etwas recherchiert. Man findet allerlei Diagramme wie beispielsweise das im Anhang von http://www.andus.de/leiterplatte/strombelastbarkeit.php Die Imax Werte bei dem jeweiligen Querschnitt stimmen auch grob überein, aber die Leiterbahnbreiten passen da nicht wirklich dazu... Der Querschnitt liegt da immer immer ein bischen mehr als 0,001mm² unter meinem berechneten Wert. Das macht bei den größeren Werten nichts aus, aber bei 0,002mm² (die eigentlich 0,0035mm² sein sollten?) ist das ja ein Fehler von 75%??? Kann mich da jemand aufklären? Wo ist mein Fehler?
Christan H. schrieb: > Kann mich da jemand aufklären? Wo ist mein Fehler? Ich meine das liegt an der Überätzung, also daran, dass die Leiterbahnen im Querschnitt nicht so aussehen:
1 | +-------+ |
2 | | | |
3 | ---+-------+--- |
Sondern eher so:
1 | _____ |
2 | / \ |
3 | ___/_______\___ |
Die Werte stammen alle aus http://www.saturnpcb.com/pcb_toolkit.htm
Guten Abend, ist der Ruler noch bestellbar ? Danke & Beste Grüsse, Konstantin
Nein, die Aktion lief letztes Jahr, aber vieleicht will ja jemand die Ruler in verbesserter Version 3 neu Auflegen....
falls jemand eine Neuauflage startet, dann würde ich ein 30cm Lineal vorschlagen, da kann man etwas mehr drauf bringen und muss auch nicht alles so eng machen, aber es sollte auf jeden Fall dicker sein. Mit der Belastbarkeit muss man aber auch die Wärmeabgabe an das Board bzw. Luft beachten. Die Werte unten sind zwar beide gleich trotzdem wird die breitere Bahn mehr Wärme abführen können und ist ergo belastbarer. 0,35µm x 4mm = 140µm² 0,70µm x 2mm = 140µm²
Bitte melde dich an um einen Beitrag zu schreiben. Anmeldung ist kostenlos und dauert nur eine Minute.
Bestehender Account
Schon ein Account bei Google/GoogleMail? Keine Anmeldung erforderlich!
Mit Google-Account einloggen
Mit Google-Account einloggen
Noch kein Account? Hier anmelden.




















