Forum: Offtopic Klöpperboden berechnen


von Andy (Gast)


Lesenswert?

Hallo und einen schönen Samstag!

Ist hier zufällig jemand, der industriell mit Mikrocontrollern und 
Prozessautomation zu tun hat?

Ich wollte einen Tank mit Klöpperboden berechnen und per MCU den Inhalt 
bestimmen, jedoch ist dieses Tank mit besagten Klöpperböden ja echt eine 
Sache für sich!!!!

Es gibt zwar ein paar Seiten, wo Leute dies versuchen, jedoch zu einem 
richtigen Ergebnis, bzw. eine Formel kommt niemand so wirklich.

Dieser Boden ist ja DIN-genormt, aber mathematisch nicht so einfach zu 
beschreiben.


Kann mir da einer Infos zu geben? Ich such mich schon dumm und dämlich.


Gruß, Andy!

von ... (Gast)


Lesenswert?


von ... (Gast)


Lesenswert?


von Andy (Gast)


Lesenswert?

... schrieb:
> hast du den Link schon geschaut?:
> http://www.bs-wiki.de/mediawiki/images/Beh%C3%A4lt...

Ja, den habe ich schon gesehen, der berechnet aber die Wandstärken - da 
ist auch keine Formel mit der man den Inhalt in Abhängigkeit von 
Füllhöhe und so berechnen kann.

von Andy (Gast)


Lesenswert?

... schrieb:
> oder den:
> http://www.lv-soft.de/neuheiten/atlas8/info/b3.htm

Auf den war ich auch gestoßen, ja! Leider auch nicht so gut in der 
Beschreibung der Inhaltsberechnung, sondern eher über den mechanischen 
Aufbau.

Die Problematik besteht ja in den im Boden enthaltenen verschiedenen 
geometrischen Formen.

Ich habe damit echt schon ne Menge rumgerechnet, aber das ist so 
komplex, finde ich.

Nunja, in der Industrie wird es ja aber auch gemacht, also es geht :)

von Axel D. (axel_jeromin) Benutzerseite


Lesenswert?

wenn Du den Boden mit einer Tabelle erfasst?

also 100 l reingießen und die Höhe in einer Tabelle ablegen, dann die 
nächsten 100 l usw.


Axel

von Mike H. (-scotty-)


Lesenswert?

>Die Problematik besteht ja in den im Boden enthaltenen verschiedenen
>geometrischen Formen.

Verstehe das Problem nicht. Wenn ich den Klöpperboden in zwei
geometrische Körper aufteile und zwar in eine Kalotte(Kugelabschnitt)
und einen Zylinder und mir anstatt einer umständlichen Krämpe
einfach einen Schnittpunkt vorstelle wo sich Kalotte und Zylinder
an den Ecken berühren dürfte es doch gar nicht so schwierig zu
berechnen sein?

V(Gesamt)= V(Zylinder)+ V(Kalotte)
V(gesamt)= (d^2 x pi/4 x h)  + (0,525 x h x (0,75 x s^2 h h^2))
(Aus einem Tabellenbuch abgeschrieben)
Da d vom Zylinder und s von der Kalotte gleich sind kann man die
Gleichung sicher noch vereinfachen. Ob ich damit richtig liege
weiß ich nicht.
Bin ja mal gespannt obs verrissen wird.

von Joe (Gast)


Lesenswert?

Im ersten Link kannst dur eine EXCEL-Datei runter laden.

Unten steht das Volumen zu den oben angegebeben Parametern.#

Wenn du das Volumenfeld anklickst, dann siehst du oben die zugehörige 
Volumenformel.

Schau dir die entsprechenden Felder im Tabellenblatt an, dann siehst du, 
welche Variablen dabei berücksichtigt wurden.

Die Formel läßt sich dann einfach rausschreiben.

J.

von Andy (Gast)


Angehängte Dateien:

Lesenswert?

Axel Düsendieb schrieb:
> also 100 l reingießen und die Höhe in einer Tabelle ablegen, dann die
> nächsten 100 l usw.

Klar, auslitern ist eine Möglichkeit, aber trotzdem bräuchte ich die 
Eingaben des Tanks mit anschließender Berechnung des Inhalts.

Mike Hammer schrieb:
> Kalotte und Zylinder

Generell hast du recht, aber dieser Boden ist keine einfache 
Kugelkalotte, sondern er besteht aus zwei verschiedenen Radien - wie 
oben im Bild.

Das erschwert leider die ganze Geschichte in dem Bereich unter dem 
Beginn des Zylinders.

von Andy (Gast)


Lesenswert?

Joe schrieb:
> Schau dir die entsprechenden Felder im Tabellenblatt an, dann siehst du,
> welche Variablen dabei berücksichtigt wurden.

OK, das werde ich dann erstmal tun, danke schonmal. Dass ich da nicht 
selber drauf gekommen bin. Hoffentlich hilfts.

von Joe (Gast)


Lesenswert?

Unter

http://www.juenger.com/lieferprogramm/kloepperboeden/index.html

findest du einen einfachen Lösungsweg für den Boden.

J.

von Andy (Gast)


Lesenswert?

Joe schrieb:
> findest du einen einfachen Lösungsweg für den Boden.

HEY!!! Das sieht ja schonmal gut aus!! Dankeschön!

von Joe (Gast)


Lesenswert?

und in der DIN ebenfalls ein guter Lösungsweg.

http://www.schubarth.ch/de_index_produkte_kloepperboeden_kloepperform.htm


J.

von Andy (Gast)


Lesenswert?

Joe schrieb:
> und in der DIN ebenfalls ein guter Lösungsweg.

Ihr habt mir sehr geholfen!

von Andy (Gast)


Lesenswert?

Aber Moment - wenn ich das richtig sehe, dann habe ich stets das Volumen 
des gesamten Bodens dort angegeben, oder? Was ist nun, wenn mein 
Füllstand genau in diesem Bogen liegt?

von ... (Gast)


Lesenswert?

Andy schrieb:
> per MCU den Inhalt
> bestimmen,

welche Sensoren bekommt denn deine MCU. Davon hängt doch ab, ob du den 
Restfüllstand im Klöpperboden noch erfassen kannst.

von Andy (Gast)


Lesenswert?

... schrieb:
> welche Sensoren bekommt denn deine MCU. Davon hängt doch ab, ob du den
> Restfüllstand im Klöpperboden noch erfassen kannst.

Einen Drucksensor unten im Tank. Der misst den Druck und anhand dessen 
mithilfe der Dichte die Füllhöhe und dann in Zusammenhang mit der 
Geometrie den Inhalt.

von ... (Gast)


Lesenswert?

Andy schrieb:
> den Druck und anhand dessen
> mithilfe der Dichte

Was machst du für einen Aufstand? Mit Druck und Dichte hast du doch 
schon die Menge und das Volumen des Stoffes.

von ... (Gast)


Lesenswert?

d.H. du brauchst nur ein einziges mal Berechnen wie viel dein Behälter 
fasst.

von Joe (Gast)


Lesenswert?

Kannst du extern eine Restfüllhöhe Messen, dann kannst du vorher über 
ein Volumenintegral eine Höhe-Volumentabelle berechnen und diese 
verwenden.

Man kann sich das Volumen auch aus Kugelsegmenten zusammensetzen.

Welche Messgrößen kannst du den erfassen ?

J.

P.S. alles weitere morgen.

von ... (Gast)


Lesenswert?

Joe schrieb:
> Welche Messgrößen kannst du den erfassen ?

Andy schrieb:
> Drucksensor unten im Tank

von Magnus M. (magnetus) Benutzerseite


Lesenswert?

... schrieb:
> Andy schrieb:
>> den Druck und anhand dessen
>> mithilfe der Dichte
>
> Was machst du für einen Aufstand? Mit Druck und Dichte hast du doch
> schon die Menge und das Volumen des Stoffes.

@... :

So ein Quatsch! Wenn nur die Informationen Druck (am Tankboden) und 
Dichte vorhanden sind lässt sich ausschliesslich die Füllhöhe 
ermitteln. Diese steht unter den gegebenen Bedingungen aber nicht in 
einem proportionalen Verhältnis zum Tankinhalt!

Gruß,
Magnetus

von ... (Gast)


Lesenswert?

Magnus Müller schrieb:
> Wenn nur die Informationen Druck (am Tankboden) und
> Dichte vorhanden sind lässt sich ausschliesslich die Füllhöhe
> ermitteln. Diese steht unter den gegebenen Bedingungen aber nicht in
> einem proportionalen Verhältnis zum Tankinhalt!

Denk erst mal über deinen eigenen Quatsch nach und belese dich vorher:
http://de.wikipedia.org/wiki/Dichte

von Backflow (Gast)


Lesenswert?

@....

[] Dir ist bekannt, daß der Druck z.B. in m Wassersäule oder mm 
Quecksilbersäule angegeben werden kann?

Übrigens, möchtest Du den Druck mit der Dichte multiplizieren oder 
dividieren?

von Magnus M. (magnetus) Benutzerseite


Lesenswert?

... schrieb:
> Denk erst mal über deinen eigenen Quatsch nach und belese dich vorher:
>
> http://de.wikipedia.org/wiki/Dichte

Werde erwachsen! Der Tankinhalt könnte nur unter Zuhilfenahme des 
Gewichtes (abzüglich des Gewichtes des Behälters [Tank]) anhand der 
Dichte ermittelt werden!

Nun bist Du wieder am Zug ;)

Gruß,
Magnetus

von Simon B. (nomis)


Lesenswert?

Ich habe heute das erste Mal von Klöpperböden gehört, aber gesehen habe 
ich die schon...

Sehe ich das richtig, dass (bezogen auf das Diagramm von 
http://www.schubarth.ch/de_index_produkte_kloepperboeden_kloepperform.htm 
) in dem Bereich von h1 (also dem senkrechten Teil des Bodens) 
angeschweißt ist, und also nix zum Volumen beiträgt?

Dann stelle ich mal folgendes zur Diskussion:

Der Tank lässt sich in drei Zonen unterteilen: der zylindrische Teil, wo 
die Form des Bodens keinen Einfluss mehr hat (oberhalb von h2 + s), der 
Bereich wo der große Radius r1 die Form bestimmt und der Bereich, in dem 
der kleine Radius r2 Einfluss hat. Zudem gilt:
   Da:             (Außendurchmesser)
   s               (Materialstärke)
   r1 = Da         (großer Innenradius)
   r2 = 0.1 * r1   (kleiner Innenradius)

Zunächst bestimmen wir, bei welchem Winkel a (gegenüber der Senkrechten) 
die beiden verschiedenen Radien ineinander übergehen. Es gilt:
   r1 * sin (a) - r2 * sin(a) = Da/2 - s - r2

Einsetzen der versch. Beziehungen und Auflösen nach a ergibt:
   0.9*r1 * sin(a) = 0.4 * r1 - s
   a = arcsin ((0.4*r1 - s) / (0.9*r1))

Damit endet der unterste Bereich bei der Höhe
   h2' = (r2 + s) * cos (a)

und die Höhe h2 ergibt sich als
   h2 = (r1 + s) * (1 - sin(a)) + h2'

Damit ergibt sich der Bodenradius in Abhängigheit vom Füllstand h

für 0 < h <= h2'
   r(h) = Da/2 - (r1+s) + sqrt ((r1+s)² - h²)

und für h2' < h <= h2
   r(h) = sqrt ((r1+s)² - ((r1+s) - h2 + h)²)

und für h > h2:
   r(h) = 0

Damit ergibt sich die Fläche auf der Höhe h als
   A(h) = (Da² - (r(h))² * pi

Damit kann man dann die Fläche auf der jeweiligen Höhe bestimmen und 
(stückweise) darüber integrieren - das wird mir gerade zu lästig, sollte 
aber kein prinzipielles Problem darstellen, notfalls approximiert man 
das ein bischen.

Habe ich übertrieben?  :-)

Viele Grüße,
        Simon

von Simon B. (nomis)


Angehängte Dateien:

Lesenswert?

Ok, hier ist noch ein Plot. Grün ist der Radius des Bodens, Rot ist das 
Volumen. Hier habe ich einen Durchmesser von 3m angenommen, 
Materialstärke 1cm, Tankhöhe 0.65m  :)

Oben ist übrigens noch ein Fehler:

für 0 < h <= h2'
   r(h) = Da/2 - (r2+s) + sqrt ((r2+s)² - h²)

und
   A(h) = ((Da/2)² - (r(h))² * pi

Viele Grüße,
        Simon

von Andy (Gast)


Lesenswert?

So, guten morgen zusammen!
War gestern Abend nicht mehr am Computer, daher jetzt...

... schrieb:
> Was machst du für einen Aufstand? Mit Druck und Dichte hast du doch
> schon die Menge und das Volumen des Stoffes.

Also ich möchte mal behaupten, dass das absoluter Quatsch ist! Eine 
Menge bekommst du so nie heraus. Daher werde ich den "Aufstand" aufrecht 
erhalten!

... schrieb:
> Denk erst mal über deinen eigenen Quatsch nach und belese dich vorher:
> http://de.wikipedia.org/wiki/Dichte

Jetzt bin ich mal auf deine Erklärung gespannt...lieber Gast "..."! Ich 
weiß nicht, wie du es machst, aber ich komme damit nicht hin.

Simon Budig schrieb:
> Der Tank lässt sich in drei Zonen unterteilen: der zylindrische Teil, wo
> die Form des Bodens keinen Einfluss mehr hat (oberhalb von h2 + s), der
> Bereich wo der große Radius r1 die Form bestimmt und der Bereich, in dem
> der kleine Radius r2 Einfluss hat.

Das ist vollkommen richtig! Ausgehend von der Füllhöhe kann man so eine 
Fallunterscheidung im Controller auswerten und nur die benötigte 
Rechnung durchführen (man rechnet halt einmal das Gesamtvolumen des 
Bodens aus und gibt sie als Konstante in die Rechnung)

Unterteilt hast du die Sachen vollkommen richtig! Problematisch sind 
halt einfach die zwei beteiligten Radien.

Ich werde mir deine Rechnung nun mal anschauen - danke schonmal für die 
Mühe!

Andy

von Rufus Τ. F. (rufus) Benutzerseite


Lesenswert?

Das mit Druck und Dichte genügt nicht.

Am Boden eines 1m langen senkrecht stehenden Rohres mit 10cm Durchmesser 
herrscht der gleiche Druck wie in 1m Tiefe in einem Schwimmbecken oder 
auch dem Atlantik.
Die These, daß das Rohr das gleiche Volumen hat wie der Atlantik klingt 
bizarr.

von Andy (Gast)


Lesenswert?

Rufus t. Firefly schrieb:
> Das mit Druck und Dichte genügt nicht.

Ja eben...das berühmte Fass, das platzt...

von Horst H. (horha)


Angehängte Dateien:

Lesenswert?

Hallo,

was ist das für ein vertracktes Teil.
Die Krempe ist fast ein Viertel eines Torus+ Zylinder.
Dummerweise wird er, wie Kugelkalotte auch, nicht flach auf dem Boden 
liegend befüllt, sondern senkrecht stehend.
Oder steht der Tank senkrecht?
Also ist die Änderung der Oberflächen-Fläche alles andere als linaer.
Mir fällt als schnelle Lösung nur die Aufteilung der Krempe und Kalotte 
in mehrere Zylinderscheiben ein, optimaler wären Kegelstümpfe, aber gibt 
es dazu eine Formel für die Füllmenge in Abhängigkeit Füllhöhe, wenn 
deren Achse horizontal liegt?
Die Zylinderscheiben dabei dünner machen, damit das Volumen bei voller 
Füllung stimmt.
In der Skizze sind man 30 mm bei da= 1000 mm angenommen.

von Andy (Gast)


Lesenswert?

Horst Hahn schrieb:
> Oder steht der Tank senkrecht?

Ich müsste es einmal für einen stehenden wie aber auch für einen 
liegenden Tank berechnen...:-\

von Simon B. (nomis)


Angehängte Dateien:

Lesenswert?

So, hier ist noch das Python-Skript, mit dem ich gestern den Plot 
erzeugt habe. Sowie eine Zeichnung, die zeigt, wie ich die Benennung 
gemacht habe.

Viele Grüße,
        Simon

von Ingolf G. (harpax)


Lesenswert?

Hallo Andy,


welche Flüssigkeit soll denn eigentlich in den Tank kommen?
Gibt es da eventuell (über die Jahre) die Möglichkeit zur Verunreinigung 
z.b. bei Diesel bzw. Benzin mit Wasser?

Falls der Abfluss nicht (!) am Boden des Tanks ist, mußt Du die 2. 
Flüssigkeit dann auch berücksichtigen.

In so einem Fall wird Dir die Druckmessung am Tankboden nicht wirklich 
die Füllmenge liefern. Es gibt fertige Füllstandsmesssonden mit 
Grenzschichtschmimmern. Zusätzlich müsste dann noch eine 
Temperaturkompensation mit eingebaut sein.

Mit einem am Boden des Tanks platziertem Ultrschall-Modul müßten sich 
die Füllhöhen der 2 Flüssigkeiten aber auch auflösen lassen.

(Ich hoffe ich habe jetzt nicht zuviel Verwirrung gestiftet) :-)

Gruß...Harpax

von Wolfgang-G (Gast)


Lesenswert?

Wie groß soll denn der Tank sein, bzw. in welchem Verhältnis steht die 
Höhe des Bodens zur Gesamthöhe des Tanks.
Ich hatte einen zylindrischen Behälter mit einer Höhe von ca. 6m und 
einem D von ca. 6m, der mit einem Kegel als "Boden" ausgestattet war.
Die Einperlung zur Standmessung war am unteren Ende des Zylinders 
angebracht, da der im Kegel befindliche Inhalt so gering ist, dass sich 
diese "Restmenge verriecht". (Industriebeispiel)
Wenn es nicht um den Ergeiz der Berechnung der Klöpperbodens geht, dann 
bring die Standmessung so an, dass nur der zylindrische Teil zur Messung 
verwendet wird.
Sollte die Messung 0m anzeigen, da beträgt der Restinhalt z.B. < 2m³.
MfG

von Horst H. (horha)


Lesenswert?

Hallo,

Die Suche nach "Klöpperboden Volumen exakt" brachte mich zu matheplanet:
1
Volumen(R,H)= 0.1979319516*H^2*(3*R-H) *
2
(0.175*exp(-13.7*(H/R)^1.69)+1) *
3
(0.400*exp(-40*(H/R+0.27)^2)+1) *
4
(-0.0140*exp(-50*(H/R+0.10)^4)+1)

aus
http://www.matheplanet.com/matheplanet/nuke/html/viewtopic.php?topic=75069
und mehr Skizzen:
http://www.matheplanet.com/matheplanet/nuke/html/viewtopic.php?topic=33837

Ich wollte es mit der Keplerfassregel und Kegelstümpfen probieren, aber 
bei 0,2% "von Nichts" Genauigkeit, wie Knaaxx dort schreibt , kann man 
leben.
Mit dieser Formel kann der Theadersteller eine Wertetabelle erstellen 
und für die Umkehrung ein/mehrere Polynom/e suchen lassen.

von Frankl (Gast)


Lesenswert?

Wohl nicht die gesuchte Antwort, aber so macht man es im Schiffbau. 
Tanken mit einem Durchflussmesser. Der Tankinhalt wird mit einem 
Schwimmer und Display  dargestellt. Die getankten Liter werden je nach 
Auflösung der Tankinhaltanzeige zur Verfügung (geeicht) gestellt.

von Horst H. (horha)


Lesenswert?

Hallo,

ich habe mal spasseshalber die Krempe mal als kompletten Vierteltorus, 
also nicht nur bis zum Übergang in den Kugelabschnitt, mit Zylinder 
angenähert und in 5 Scheiben konstanter Höhendifferenz geschnitten und 
diese als Fässer/Kegel betrachtet.
w ist die Dicke der Scheibe.
r_v Radius Kegel vorne //Fassboden
r_m Radius Kegel mitte // Mitte ist bei halber Weite, deshalb r_m nähen 
an r_v,als r_v+1
Der fehlende Deckel ist der r_v des folgenden Kegels.
A sind die Flächen des Kreissegment f(r,Einfüllhöhe)
V = w *( A_v+4*A_m+A_v+1)/ 6 // Keppler Fassregel
1
Memo1
2
Volumen Zylinder     50265482.4574367
3
Volumen Vierteltorus 21833603.9045719 // Gouldin sei Dank ;-) Halbtorus/2
4
Volumen Gesamt       72099086.3620086
5
D = 1000
6
Volumen bei Höhe 1000.0000 ist: 72090698.33586
7
Kegelwerte:
8
h:   0.0000 r_v: 500.0000 r_m: 495.3939 w:  60.0000 V: 45931986.6556
9
h:  20.0000 r_v: 480.0000 r_m: 471.4143 w:  20.0000 V: 13937421.4404
10
h:  40.0000 r_v: 460.0000 r_m: 451.3219 w:  11.6515 V: 7442668.4329
11
h:  60.0000 r_v: 440.0000 r_m: 431.7807 w:   6.3281 V: 3696856.5320
12
13
h:  80.0000 r_v: 420.0000 r_m: 414.1782 w:   2.0204 V: 1081765.2751
14
h: 100.0000 r_v: 400.0000 r_m:   0.0000 w:   0.0000 V:   0.0000
Die Abweichung ist jetzt schon minimal 0,016%,
Bei 10 Abschnitten:
1
Volumen bei Höhe 1000.0000 ist: 72097964.75052
 ist Abweichung 0,00155% kleiner als 1/10<1/(2^4) von 5 Abschnitten.
Spannend ist die Frage der Abweichung beim Einfüllen nur im Bereich der 
Krempe, die ich nur abgeschätzt habe, in der Annahme die Rechnnug war 
richtig, wenn das Gesamtvolumen stimmt ;-) . Also 5120 Scheiben sei die 
Referenz.
[code]
n  Anzahl Scheiben
 5  Volumen bei Höhe 100.0000 ist: 2908865.83894
10 Volumen bei Höhe 100.0000 ist: 2909309.34740
20 Volumen bei Höhe 100.0000 ist: 2909368.93762
80 Volumen bei Höhe 100.0000 ist: 2909379.07347
...
5120 Volumen bei Höhe 100.0000 ist: 2909379.35064[code]
Abweichung bei 5 Scheiben = 0,0176 %
Ich werde später mal die Kugelkalotte hinzufügen.

von Horst H. (horha)


Angehängte Dateien:

Lesenswert?

Hallo,

anbei eine Textdatei für einen Klöpperboden mit da= 1000 und ri = 100 
und ra= 1000.
1
Volumen Zylinder     55590298.4107591
2
Volumen Vierteltorus 10454160.3797785
3
Volumen TorusZyl Ges 66044458.7905376
4
Höhe    Kalotte      104.193583522383
5
Volumen Kalotte      32921536.3275458
6
Volumen Gesamt       98965995.1180833
7
genähert  1000.000;  98965995.118
Das rechnet verflucht lange (12 Sekunden oder so) , aber die Abweichung 
ist nahe 0.
Das braucht man ja einmal im Leben...
Die lange Kolonne ist Höhe; Volumen in (Einheit von da)^3.
Beim Umwandeln in csv hat mit openoffice die . zu Tausender Zeichen 
erklärt :-(

von Andy (Gast)


Lesenswert?

N'abend zusammen!

Also es freut mich ja, dass immernoch welche sich mit der Thematik 
beschäftigen.

Ich habe bis jetzt auch noch keine "leicht" rechenbare Funktion 
gefunden, die ich einem Mikrocontroller in absehbarer Rechenzeit zumuten 
kann...

Ist echt so ne Sache mit diesem Boden!

von Horst H. (horha)


Angehängte Dateien:

Lesenswert?

Hallo,

in der Textdatei habe ich zu den Werten auch die Differenzen der Werte / 
die Differenzen der Differenzen / ...eingetragen,
Die dritte Differenz ist über weite Bereiche ~konstant, dass sollte doch 
zu denken geben.
http://de.wikipedia.org/wiki/Differenzenfolge und dort angegeben
http://members.chello.at/gut.jutta.gerhard/newsletter/newsletter17.htm
Ausser der Bereich zwischen 59 und 109 Einheiten weicht stark ab.
Die angehängte Datei hat die Komma's an der richtigen Stelle.
Die Funktion ist symmetrisch zur Mitte f(627) = f(1000)-f(1000-627=373) 
man muss also nur die Hälfte annähern.

Und es ist immer noch so, dass der Boden doch gegenüber dem Tank kaum 
eine Rolle spielt, besonders unter Berücksichtigung der Messgenauigkeit.
Das Ersetzen durch einen 0,124xD_a tiefen Zylinder sollte nicht allzu 
tragisch sein und die Rechnung vereinfachen, der stimmt dann in drei 
Punkten (unten/Mitte/oben).
Alternativ einen Ersatzzylinder für den Torusbereich ( Tiefe 0,083xD_a 
), der den Tank quasi verlängert, und einen für den Kalottenbereich ( 
Radius 0,411xD_a , Tiefe ~ 0,06x D_a)

von Horst H. (horha)


Angehängte Dateien:

Lesenswert?

Hallo,

ich hab mal die Abweichung eines Ersatzzylinders in Bezug zum 
Gesamtvolumen des Klepperbodens gesetzt.
Zwar ist die relative Abweichung der beiden zu Beginn 1400 %, aber wie 
Knaaxx schon sagte viel von Nichts ist auch Nichts, und erst ab h= 4?? 
mm unter 2%.
Aber in Bezug auf die Gesamtmenge sind es nur 5.08 % maximal.Also 
maximal 5 Liter bei 99 Liter Gesamtvolumen falsch.
Wenn es denn so extrem genau sein soll, läßt sich vielleicht die Kurve 
der Abweichungen gut interpolieren ( sieht ja sehr nach x^3 aus) und man 
addiert Messfehler*Gesamtvolumen zur Rechnung.

von Horst H. (horha)


Angehängte Dateien:

Lesenswert?

Hallo,

beider letzten Datei habe ich falsche Spalten in Beziehung gesetzt :-(

Aber ich hatte jetzt eine simple Idee.
Bei einem liegenden Tank berechne ich jetzt einfach den Kloepperboden 
als Ersatzzylinder und somit als zusätzliche Länge des Tankes.
Wunderbarerweise lässt sich die Berechnung dieser Breite mit nur wenigen 
kubischen splines vollführen.
1
d_a = 1000, r_1 = 100 , Hohe normiert auf [0..1]
2
b0= 690 , b2 auch ?, vergessen
3
x aus [0; 0,25]
4
S0(x) = -198,215085714286x^3 + 345x^2 + 5,047642857143x
5
      = -198,215085714286x^3 + 345x^2 + 5,047642857143x
6
x aus [0,25; 0,5]
7
S1(x) = -261,782171428572(x-0,25)^3 + 196,338685714286(x-0,25)^2 + 140,382314285714(x-0,25) + 19,7273
8
      = -261,782171428572x^3 + 392,675314285715x^2 - 6,871185714286x + 0,993235714286
9
x aus [0,5; 0,75]
10
S2(x) = -261,792228571428(x-0,5)^3 + 0,002057142857(x-0,5)^2 + 189,4675(x-0,5) + 63,0037
11
      = -261,792228571428x^3 + 392,690399999999x^2 - 6,878728571428x + 0,994492857143
12
x aus [0,75; 1]
13
S3(x) = -198,210514285715(x-0,75)^3 - 196,342114285714(x-0,75)^2 + 140,382485714286(x-0,75) + 106,2802
14
      = -198,210514285715x^3 + 249,631542857144x^2 + 100,415414285713x - 25,829042857143

Die maximale Abweichung ist dann 0,06% vom Gesamtvolumen, also 0,06 l 
bei 100 Litern, also 3 Schnapsglas, klassiche Einheit ;-)
Lange Rede keinen Sinn: Diese Rechnung packt wohl jeder Mikrocontroller, 
mit ein bisschen Platz für Fliesskommaberechnungen hat.
Arccos, bei Berechnung des Kreissegmentes, ist wohl eher ein Problem.

von Hg (Gast)


Lesenswert?

Warum so kompliziert? Bei uns ist doch alles genormt.
DIN 28013 Geometriedaten für gewölbte Böden.
That's it.

Klöpperform :
Außendurchmesser Da
Wanddicke s
Volumen 0,1*(Da-2*s)^3
Oberfläche 0,99*Da^2
Radius Krempe 0,1*Da
Höhe 0,1935*Da+0,545*s
Radius Kalotte Da
zyl. Bordhöhe > 3,5*s

Korbbogenform :
Volumen 0,1298*(Da-2*s)^3
Oberfläche 1,08*Da^2
Radius Krempe 0,154*Da
Höhe 0,255*Da+0,365*s
Radius Kalotte 0,8*Da
zyl. Bordhöhe > 3,0*s

von Horst H. (horha)


Lesenswert?

Hallo,

Die Daten wurden ganz oben ja schon in einem Link genannt.
a: Ich wollte wissen, wie die 0.1 = Volumen 0,1*(Da-2*s)^3 vom Himmel 
fällt, ich habe  0.0989. nur für Krempe und Kugelkalotte beim 
Klöpperboden.
b: Es ging mir um einen liegenden Tank, der unterschiedlich gefüllt ist 
und dazu brauche ich genaue Zahlen, um eine Abweichung überhaupt zu 
erkennen und einordnen zu können.Deshalb die numerische Integration.
Beim letzten Beitrag ging es nur um eine einfache Methode, nun recht 
genau die Füllmenge aus der Höhe zu bestimmen.Der Fehler sollte nur so 
lächerlich klein sein, dass er gegenüber dem Messfehler und 
Formtoleranzen nicht berücksichtigt werden muss.

Die Rechnung reduziert sich auf:
Druck-> Höhe
Höhe->Fläche Kreissegment im Zylinder
Höhe->Klöpperboden- Ersatzzylinderlänge
Volumen = (Länge Zylinder+2*Klöpperboden- Ersatzzylinderlänge)*Fläche 
Kreissegment
Und fertig ist.

von Andy (Gast)


Lesenswert?

Hg schrieb:
> Warum so kompliziert? Bei uns ist doch alles genormt.
> DIN 28013 Geometriedaten für gewölbte Böden.
> That's it.

Ja schon, klar.

Aber die Beziehung von Füllhöhe / Inhalt ist daraus ja nicht mal eben zu 
errechnen.

von Horst H. (horha)


Lesenswert?

Hallo,

Arrrrgh, schon wieder falsch gerechnet,ich habe nicht durch die Fläche 
des Kreissegmentes bei der Höhe geteilt. Aber die Kurve ist sooo schön, 
da lasse ich das lieber.

Volumen(h) = Länge Zylinder*FlächeKreisegment(h)+2*Klöpperboden- 
Ersatzzylinderlänge(h)*pi/4*D_a^2(=FlächeKompletter Zylinder)

In meinem Pascalprogramm steht doch die Formel für Kreissegmentfläche 
aus Wikipedia
http://de.wikipedia.org/wiki/Kreissegmen.
Die Formel mit arccos A = f(h,r).
Das Berechnung etwas dauert, ist bestimmt nicht so schlimm, denn Tanks 
lassen sich nicht beliebig schnell entleeren oder befüllen.

von Andy (Gast)


Lesenswert?

Horst Hahn schrieb:
> Das Berechnung etwas dauert, ist bestimmt nicht so schlimm, denn Tanks
> lassen sich nicht beliebig schnell entleeren oder befüllen.

Naja es sei denn, der Boden explodiert weg...nee, aber dann ist der 
Controller nur damit beschäftigt :) Und den Rest macht er wahrscheinlich 
garnicht mehr. Muss ich mal testen. Danke auf jedenfall! Freut mich, 
dass Leute rein aus Interesse so viel rechnen und mir helfen!

Danke danke danke!

von Horst H. (horha)


Lesenswert?

Hallo,

rate doch mal den Aufwand :-)
Konstante setze ich zu einmal zu Beginn bestimmt voraus.
h_max, maximaler Querschnitt Tank, Spline ...
constante in [ ]
Höhe normieren = h* [ 1/h_max ]
Mul = +1
A-Segment berechnen
result := [r*r]*Arccos(1-h*[ 1/r ])-sqrt(([2.0*r]-h)*h)*(r-h)
Mul = +3
Add = +3
Acos = 1

Klöpperboden:
Zur Höhe das passende Spline finden
Im mittel 2 Vergleiche
Add = +2
Klöpperbodenersatzzylinderlänge
Mul = +3 , Add = +4

Tankvolumen
Mul = +2
Add = +1

Gesamt geschätzt aus Erinnerung mit Bascom-Simulator
Mul = 9 ~ 700 Takte
Add = 10 ~ 500 Takte
Acos = 1  ~2500 Takte
+20% fürs drumherum
ca. 16600 Takte .
also 16,6 ms/ Mhz Taktrate.
Also um den Dreh von 1 ms bei 16 Mhz.

Um A_seg kommt man nicht herum, aber den Klöpperboden einfach als 
Ersatzzylinder mit 0,126.... x D_außen zu rechnen und auf die Länge des 
Zylinders zu addieren = konstant spart viel ein.
Mul= 4 und Add 7 also etwa 6300 also fast die halbe reine Rechenzeit.

Aber ob nun 1000 oder 2000 mal pro Sekunde die Höhe zu berechnen macht 
eh keinen Sinn.

von Dibblinsch (Gast)


Lesenswert?

1
/*Eingangswert
2
h = ' Füllstand
3
/* Systemkonstanten
4
Da = 'Außendurchmesser
5
s = 'Nennwanddicke
6
/* Volumenberechnung
7
r = Da / 10
8
L = WURZEL(65*r^2+8*r*s-s^2)
9
ha = Da - L ' Hoehe des Klöpperbodens
10
hb = ha - L / 9  ' Höhe des Kugelradius
11
hc = L / 9 ' Höhe des Torusbereichs
12
WENN  ( h >= hb )  DANN  ( h1= hb ) SONST ( h1 = h )  '  Füllstand h1 im Kugelbereich
13
WENN ( ( h > hb )   UND ( h < ha) )  DANN ( h2 = h - hb ) SONST ( WENN ( h > ha ) DANN (h2= hc) SONST ( h2 = 0 ) ) ' Füllhöhe h2 im Torusbereich
14
WENN ( h > ha ) DANN ( h3 =  h - ha ) SONST ( h3 =  0 ) ' Füllhöhe h3 im zylindrischen Bereich
15
V1 = ( -1/3 * h1^3 + Da * h1^2 ) * PI() ' Volumen im Kugelbereich
16
T1 = -hc * WURZEL( r^2 - hc^2 )+ r^2 * ARCSIN( -hc / r ) 
17
T2 = ( h2 -hc ) * WURZEL( r^2 - ( h2 - hc )^2 )+ r^2 * ARCSIN( ( h2 -hc ) / r )
18
V2 = (-1/3 * h2^3 + hc * h2^2 + ( r^2 - hc^2 + ( 4 * r - s )^2 ) * h2 + ( 4 * r - s ) * (T2-T1) )*PI() ' Volumen im Torusbereich
19
V3 = ( Da / 2 - s )^2 * h3 * PI()
20
/* Ausgangswert 
21
V=V1+V2+V3 ' Gesamtvolumen

von Klaus W. (mfgkw)


Lesenswert?

Andy schrieb:
> Ich habe bis jetzt auch noch keine "leicht" rechenbare Funktion
> gefunden, die ich einem Mikrocontroller in absehbarer Rechenzeit zumuten
> kann...

Wenn du es nicht auf dem MC rechnen willst, dann rechne doch auf
dem PC eine Tabelle aus (h=0 <=> V=0, h=1cm <=> V=...), lege
sie in ein Feld im Flash und rechne dann auf dem MC zur Laufzeit
mit linearer Interpolation.

Da hast du dann die Wahl zwischen 2 Möglichkeiten:

1. gleiche Abstände
   Das spart Rechenzeit, weil man anhand des x-Werts
   (bzw. bei dir das h?) direkt die benachbarten Stellen
   der Tabelle berechnen kann.

2. Oben und unten, wo der Verlauf gekrümmter ist, entsprechend
   engere Stützstellen und in den Bereichen mit praktisch
   linearem Verlauf dann größere Abstände.
   Jeweils so eng, daß die gewünschte Genauigkeit erreicht
   wird bzw. die Rechengenauigkeit (float?) ausgereizt wird.
   Diese Variante spart Platz im Flash.
   Nachteil ist im Prinzip, daß man die jeweils benachbarten
   Stützstellen aufwendiger berechnen muß. Im schlimmsten Fall
   nimmt man lineare Suche ab Feldanfang.
   Deutlich schneller geht binäre Suche, weil die Werte ja
   sortiert abgelegt sein werden (hoffentlich).
   In diesem Fall muß man das nur am Anfang einmal berechnen.
   Da sich der Füllstand ja nicht so rasend schnell ändern
   wird, kann man sich ja merken, wo man beim letzten Mal
   interpoliert hatte und muß für die nächste Berechnung
   nur testen, ob man noch im Bereich ist, oder einen
   Abschnitt nach oben oder unten geht.
   Dadurch ist diese Variante 2 letztlich auch nicht
   langsamer.

von Andy (Gast)


Lesenswert?

Klaus Wachtler schrieb:
> dann rechne doch auf dem PC eine Tabelle aus

Dann ist der Tank ja aber wieder fix und ich kann zur Laufzeit keine 
eometrien eingeben.

von Andy (Gast)


Lesenswert?

Geometrien

von Horst H. (horha)


Lesenswert?

Hallo,

gute Güte...
Zentrische Streckung ist nicht so schwer.
Ein Tank mit 2 m Durchmesser hat das 2³ = 8-fache Volumen eines Tanks 
mit 1 m Durchmesser ( L/B/H jeweils doppelt ) .
Man rechnet einfach mit relativen Höhen 0..1 ala leer..voll

von Dibblinsch (Gast)


Lesenswert?

Ich dachte mal, ich wisse worum es hier geht, einen stehenden Tank mit 
Klöpperboden.

Jetzt scheint es aber, dass der Tank auch liegen und sich seine 
Geometrie fortwährend ändern könnte.

Wenn mann einen Elefanten essen will, dann kann das schwierig werden, 
insbesondere in einem Stück. In Teile schneiden könnte helfen, sich 
nicht zu übernehmen.

von Horst H. (horha)


Lesenswert?

Hallo,

eine Tabelle für einen liegenden Tank mit 1000 mm Durchmesser und dem 
Volumen für jeden mm ist schon da ( o.k. Die Wandstärke ist nicht 
berücksichtigt )
Auch eine Berechung mit kubischen splines, bei der Klöpperboden mit 
1000mm Durchmesser als Verlängerung des zylindrischen Tankes angenommen 
wird.
Beitrag "Re: Jemand aus der Industrie hier? - Klöpperboden berechnen."
Es fehlt nichts mehr, oder?

von Dibblinsch (Gast)


Lesenswert?

@Horst,

ich habe mal dein Beispiel vom 05.10.2010 17:05 hergenommen.
Wenn ich es richtig verstanden habe, berechnest du bis Füllhöhe 1000 
beim stehenden Fass.
Ich berechente hier:
Volumen Kugelkalotte: 32921536
Volumen Torus       : 66044459
Volumen Zylinder    : 633208243
Volumen Gesamt      : 732174238
Mein CAD-System sagt : VOLUMEN =  7.3217424e+08  MM^3

Irgendwo gibt es ja Ähnlichkeiten zu deinen Werten, aber im Endergebnis 
?

von Horst H. (horha)


Lesenswert?

Hallo,

ich habe berechnet für liegenden Tank und nur den gekrümmten Bereich der 
Anteil "Schweißrand" kann man ja dem Tak zuschlagen.
Ich werde mal das Pascal-Programm für Konsole umstricken und 
kommentieren.

von Dibblinsch (Gast)


Lesenswert?

@Horst,

alles Klar,
unter "Torus" berechne ich den Zylinder darunter gleich mit.
Du berechnest auch nur das Volumen im Klöpperboden,
also bis zur Höhe 193,7742252.

von Horst H. (horha)


Lesenswert?

Hallo,

genau die 0,19377 x D_a
wie im Bild oben
http://www.mikrocontroller.net/attachment/88716/Kloepperboden.png

von Dibblinsch (Gast)


Angehängte Dateien:

Lesenswert?

hier mal meine Berechnung in Excel als Anhang

von Dibblinsch (Gast)


Angehängte Dateien:

Lesenswert?

Das stehende Fass jetzt auch mit Klöpperdeckel :-)

von Dibblinsch (Gast)


Angehängte Dateien:

Lesenswert?

Das liegende Fass hat etwas gedauert.. aber jetzt auch dazu ein 
Excel-File.
Der zylindrische und spherische Bereich wird genau berechnet.
Den Torusbereich berechne ich als Kegelabschnitt und nähere den Rest 
durch eine Rotation an.
Die Formeln sind noch nicht optimiert.

Abweichung für einen Klöpperboden mit 1000 mm Innendurchmesser (ca. 50 
Liter) beträgt - wenn ich mich nicht irre - max. ca. 0,008 Liter.

von Dibblinsch (Gast)


Lesenswert?

Noch ein kleiner Nachtrag.
In meinem Excelblatt für das liegende Fass hat sich ein kleiner Fehler 
eingeschlichen. In der Formel für T1 kommt in der Formel der Ausdruck:
WENN((C17-C23)=0;0;LN((C17-C23)))
vor. Hier sollte <=0 stehen, also:
WENN((C17-C23)<=0;0;LN((C17-C23)))
Um dies zu ändern muss der Blattschutz aufgehoben werden (wie bei den 
anderen Blättern auch, ist hierfür KEIN Passwort vergeben)

Für die Microcontrolleranwendung würde ich evtl. die Kurve bis zur 
hälftigen Füllung mit einer Potenzfunktion 5ter Ordnung mit Schnittpunkt 
in 0;0 annähern lassen und dem MC die zugehörigen Parameter übergeben.
(Das Excelblatt zeigt eine Potenzfunktion 3ter Ordnung über das ganze 
Fass)
Dazu wäre dann noch das Gesamtvolumen des Fasses erforderlich.
So könnte man, wenn die Füllhöhe mehr als die Hälfte beträgt mit Hilfe 
der Potenzfunktion das nicht gefüllte Volumen berechnen und vom 
Gesamtvolumen subtrahieren lassen.
Für das gegebene Beispielfass dürfte der max. Fehler dann bei etwa 2 
Litern liegen. Ein Fehler in der Messung der Füllhöge von 0,5 mm kann 
hier z.B. eine ähnlich große Abweichung bedeuten.

von Frank H. (beng2010)


Lesenswert?

Hallo Dibblinsch,

sorry das ich den Thread nochmal aufmache. Ich arbeite momentan auch an 
einem ähnlichen Thema, nur das ich es mit verschiedenen Behältertypen 
(Korbogenboden, 2:1 elliptescher Boden etc.) zu tun habe. Daher ist es 
für mich wichtig zu verstehen wie du auf diese Formeln kommst, damit ich 
diese entsprechend anpassen kann. Eigentlich ist mir soweit alles klar, 
bis es zum kniffligen Augenblick kommt. Ich verstehe nicht was in deiner 
Rechnung T1 und T2 bedeutet und wie du dann auf die Berechnung für das 
Volumen im Torusbereich kommst (V2 und V4)?

Ich würde mich über Hilfe freuen,
viele Grüße Frank

von Dibblinsch (Gast)


Lesenswert?

Hallo Frank,
ja, ich hätte das vielleicht allgemeiner Fassen :) sollen, dacht ich mir 
im Nachhinein auch.

Zum liegenden Fass kannst du hier
[[http://www.emath.de/Mathe-Board/messages/10/29155.html?1293131324]]
etwas finden.

T1 und T2 sind dabei, soweit ich mich erinnere Abschnitte eines geraden 
Kreiskegels. (ich hab ja versucht das einigermassen zu kommentieren)
Da ich, wie gesagt, den Torusbereich zunächst als Kegelstumpf betrachte, 
muss ich je nach Füllhöhe Abschnitte des Kegelstumpfes berechnen.
Sobald nämlich die Füllhöhe so ist, dass der kleine Durchmesser meines 
Kegelstumpfes erreicht wird, genügt ja die Berechnung eines 
Kegelabschnittes nicht mehr, ich würde zu viel Volumen erhalten.
Ich berechne also den Abschnitt des Kegelstumpfes, indem ich
zunächst den Abschnitt eines Kegels berechne, dessen Grundfläche der 
große Durchmesser des Kegelstumpfes ist, und subtrahiere dann den 
Abschnitt des Kegels dessen Grundfläche der kleine Durchmesser des 
Kegelstumpfes ist.
aäh uh..weiss jetzt nicht, ob das damit jetzt klar wird.
Soll ich ein Bild dazu machen?

Wenn es um das stehende Fass geht, da gibt es halt Rotationsintegrale 
und da muss man Obergrenze minus Untergrenze rechnen, wie das halt so 
bei Integralen ist. Ich hab mir irgendwo ein Blatt gemacht mit den 
Formeln. Soll ich das mal suchen und hier rein stellen?

von Dibblinsch (Gast)


Angehängte Dateien:

Lesenswert?

Hier schon mal die Basis für die Berechnung des Torus beim stehenden 
Fass:

von Frank H. (beng2010)


Lesenswert?

Hallo Dibblinsch,

vielen Dank für deine Hilfe. Für den stehenden Behälter hilft mir das 
auf alle Fälle erst mal weiter. Ich grabe gerade meine alten 
Matheunterlagen raus um das zu fassen :)

Ich weiß jetzt schon, dass ich das demnächst auch für den liegenden 
Behälter benötige, den kann ich aber erst später in Angriff nehmen.

Fernziel ist es, in Excel eine Datei zu haben, mit der es möglich ist 
durch wenige Eingaben (Da, s, h und Behälterart und Behälterposition) 
sich V (h) berechnen zu lassen.

Wenn ich soweit bin, lade ich sie auch hoch.

Viele Grüße,
Frank

von Dibblinsch (Gast)


Lesenswert?

Hallo Frank,
ich verstehe jetzt nicht wirklich, wozu du deine Matheunterlagen 
ausgraben musst. Ok, wenn du nachrechnen willst, ob ich das Integral 
richtig berechnet habe, dann ist das vielleicht eine gute Idee.
Ansonsten musst du ja nur einsetzen.
Für den unteren Torusbereich des stehenden Fasses macht es 
wahrscheinlich Sinn, die Formel für a=0 zu verwenden, damit muss der 
Mittelpunktsabstand Xm<=r sein und b (in Abhängigkeit der Füllhöhe des 
Bereichs) <=Xm.
Für den oberen Torusbereich a=Xm=0 und b (in Abhängigkeit der Füllhöhe 
des Bereichs) < r.
Die Forlel gilt für die vollständige Rotation (360°), aber auch für 
Teilrotation, wenn du entsprechende Faktoren verwendest, also *1/2 für 
180° oder *1/4 für 90° usw.
Werd vllt. mal schaun, inwieweit ich eine ähnliche Formel für eine 
Ellipse aufstellen kann.

von Dibblinsch (Gast)


Angehängte Dateien:

Lesenswert?

Diese Formel kannst du vielleicht für einen elliptischen Boden 
verwenden.
Dazu positionierst du die Ellipse mit den Halbachsen e und f über den 
Mittenabstand Xm.
Die Formeln liefern dann das Volumen des Rotationskörpers zwischen 0 und 
b.
(wenn ich mich nicht irre)

von Frank H. (beng2010)


Angehängte Dateien:

Lesenswert?

Hallo Dibblinsch,

danke für deine Unterstützung. Verstehen muss ich die Formel deswegen, 
da ich sie für verschiedene Behältertypen anpassen muss, und da muss ich 
halt schon wissen wie, wo und warum. Ich habe eine Datei hochgeladen mit 
der es möglich ist, die drei verschiedenen Behältertypen zu rechnen. 
Leider ist es im Augenblick nur möglich den Stehenden Behälter zu 
rechnen, demnächst will ich auch noch die liegende Option realisieren. 
Da wartet aber wohl noch Arbeit. Auch habe ich die Berechnungen (alle im 
Namensmanager realiesiert) noch nicht so schön kommentiert wie du, das 
soll aber auch noch folgen.

Viele Grüße,
Frank

von Dibblinsch (Gast)


Angehängte Dateien:

Lesenswert?

also dann für das liegende Fass auch noch ein paar Förmelchen.

von Gerald (Gast)


Lesenswert?

Dibblinsch schrieb:
> Das stehende Fass jetzt auch mit Klöpperdeckel :-)

Hallo!

Kann mir einer sagen, wie man in dem Skript auf die Berechnung von L 
kommt?

L = WURZEL(65*r^2+8*r*s-s^2)

von Gerald (Gast)


Lesenswert?


von Dibblinsch (Gast)


Lesenswert?

Nun, das ist noch relativ einfach.
Definitionsgemäß gilt beim Klöpperboden:
r = Da/10
bzw. Da = 10*r
Der Innendurchmesser:
Di = Da - 2 * s
bzw. Di = 10  r - 2  s

bzw. der Abstand (nenne das hier mal k) des Mittelpunktes von r von der 
Achse des Fasses:
k = (Di - 2 * r)/2  bzw.
k = (10  r - 2  s - 2 * r) / 2
k = 4 * r - s

Die Länge der Kathede L des rechtwinkligen Dreiecks mit der Hypotenuse 
der Länge 9*r als Verbindungslinie der Mittelpunkte beider Bodenradien 
und der zweiten Kathete k erhalten wir mit Hilfe des Satzes von 
Pythagoras:

L^2 = (9*r)^2 - (4*r-s)^2
L^2 = 81*r^2 - (16*r^2 - 8*r*s + s^2)
L^2 = 81*r^2 - 16*r^2 + 8*r*s - s^2
L^2 = 65*r^2 + 8*r*s - s^2
L = Wurzel(65*r^2 + 8*r*s - s^2)

Ausführlicher geht es kaum. Bild hast du ja.

von Gerald (Gast)


Lesenswert?

Dibblinsch schrieb:
> Ausführlicher geht es kaum. Bild hast du ja.

Hi und vielen Dank für deine ausführliche Erklärung!

Trotzdem habe ich noch kleinere Probleme - das Ding ist aber auch echt 
ungünstig konstruiert (also aus rechentechnischer Sicht)

Wieso ist L unabhängig von der Höhe des Tanks?
Da hakts bei mir - und leider leitet sich soviel daraus ab - die 
Kugelkallotte unten ist klar, kein Frage, aber für die 
Fallunterscheidung brauche ich ja gerade die Höhen hb und hc.

ha wird auf mehrern Seiten angegeben als 0,1935Da - 0,455s

Sorry, das ich da n Brett vorm Kopf habe, aber wie gesagt, bei mir hakt 
es noch. Ich kann diese Rechnungen einfach nicht nachvollziehen.

Dein Excel-Sheet ist echt Spitze, ich würde gern hinter all deine 
Gedanken kommen :-)

von Gerald (Gast)


Lesenswert?

Ich seh grad, ich glaub, ich hab L falsch interpretiert - das passt in 
der Zeichnung so gut zum Anfang der Klöpperteile sowohl oben als auch 
unten - aber es ist der Mittelpunkt des großen Radius gemeint, richtig?

von Gerald (Gast)


Lesenswert?

OK, es leuchtet langsam ein - nur mit

hb = ha - L/9

komm ich noch nicht klar. Aber ich werde mich weiter mit mir 
beschäftigen und unterhalten...;-)

von Gerald (Gast)


Lesenswert?

OK, hab auch das endlich. Auf einmal alles ganz logisch.

von Gerald (Gast)


Lesenswert?

OK, aber am Torus-Teil des Bodens scheitere ich jetzt...

Muss ich den Aufteilen in einlineares Zylinderstück und den Rest, der 
dann quasi einen nicht ganz gefüllten Torus bildet?

Man man man...:-\

von Dibblinsch (Gast)


Lesenswert?

da wendest du strikt die Formel hier
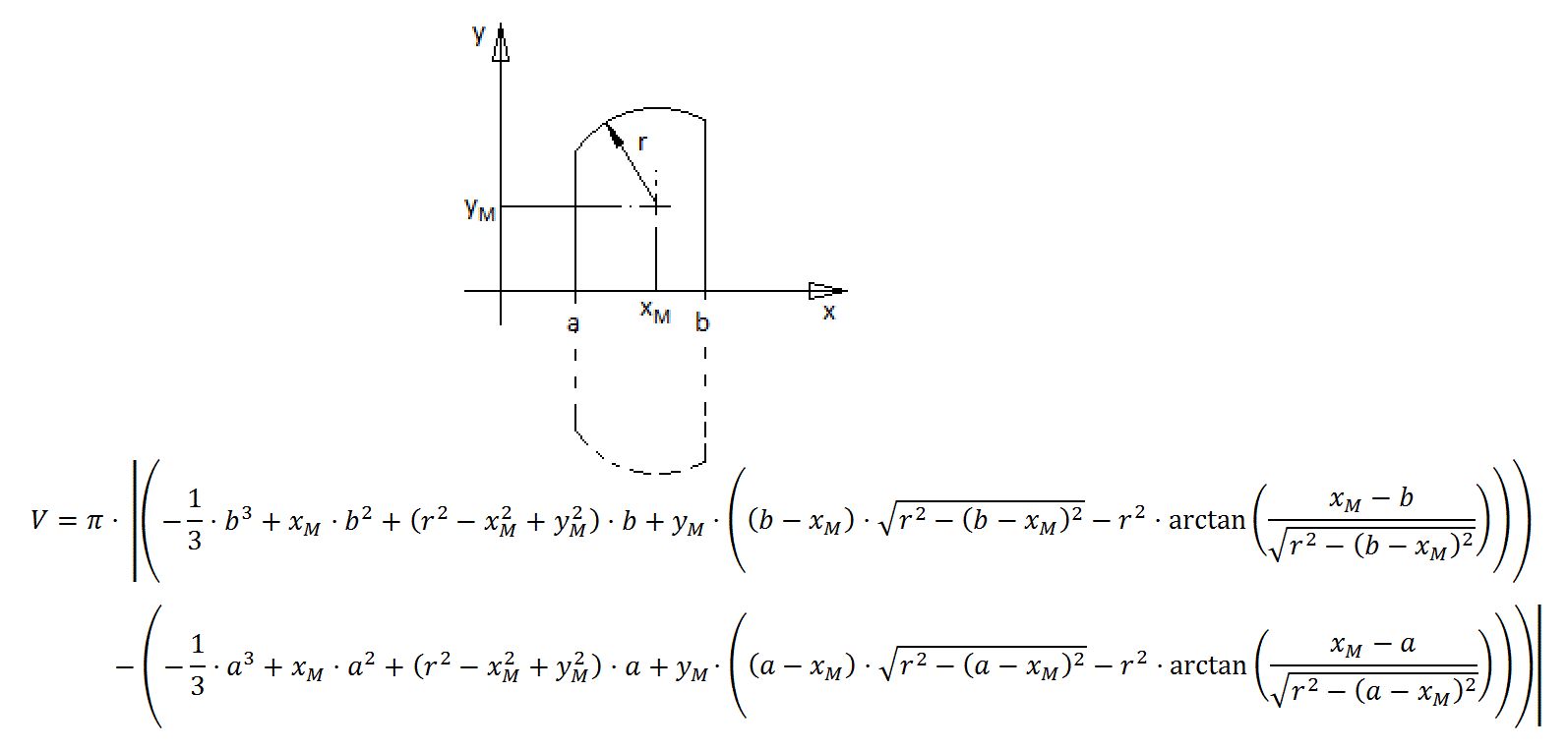
Beitrag "Re: Jemand aus der Industrie hier? - Klöpperboden berechnen."
an.
Statt
arctan( (xm - b) / Wurzel( r^2 -(b - xm)^2 ) )
kannst du getrost:
arcsin( (xm - b) / r )
schreiben, bzw. analog
arcsin( (xm - a) / r )

hier setzt du ein:
die Geometriedaten, also Mittelpunktsabstände
xm = hc
ym = 4r - s
Radius
r = r
und den Integrationsbereich
a=0
b=h2 (Füllhöhe im Torusbereich)

und bekommst dann sowas:
pi * (
 -h2^3/3 + h2^2*hc + h2*(r^2 - hc^2 + (-4*r + s)^2) +
 (4*r - s)*((h2-hc)*Wurzel(r^2-(h2-hc)^2)+r^2*arcsin((h2-hc)/r)) -
 (4*r - s)*(   -hc *Wurzel(r^2 - hc^2   )+r^2*arcsin(   -hc /r))
 )

von Gerald (Gast)


Lesenswert?

Oh man ist das ne Formel...hat die einer vorm auflösen des Integrals?

von Dibblinsch (Gast)


Lesenswert?


von Gerald (Gast)


Angehängte Dateien:

Lesenswert?

Sorry, vllt. stelle ich mich etwas dumm an, aber ich bekomme es nicht 
hin.

In der angehängten Grafik habe ich ja den grün-markierten Teil, welcher 
sich abhängig von der Höhe auf den Rotationskörper auswirkt.

Kann mir da vielleicht mal einer helfen, wie ich das Integral aufstelle 
und um die Achse rotieren lasse?

von Dibblinsch (Gast)


Lesenswert?

Bester Gerald,

mal ganz unabhängig davon für welche Facharbeit oder sonstiges Werk du 
meine Arbeit als deine verkaufen möchtest, du solltest dafür jedenfalls 
doch ein klein wenig mehr Hirnschmalz investieren.
("Copy-Paste-Forwarder" gibt es schon zu viele)

Das Volumen eines Rotationskörpers erhältst du zum Beispiel (wie in dem 
von mir angegebenen Link gezeigt) durch die Rotation einer Funktion um 
die X-Achse.

Es gilt bei Rotation um die X-Achse : V = pi * Integral[a;b]( (f(x))^2 ) 
dx

(Das berechnete Volumen gilt also für einen Körper, dessen 
Rotationsachse die X-achse und dessen Aussenform durch f(x) beschrieben 
wird.)

Unverständlich ist mir daher, dass du zwar von einem Torus schreibst, 
dann aber ein Bild einer Kugelkappe zeigst. Der Torus ist jedoch dadurch 
gekennzeichnet, dass das Zentrum der äußeren Abrundung "des Wulstes" 
nicht mit der Rotationsachse des Körpers zusammenfällt.

Die Funktion f(x) lautet für den oberhalb des Kreismittelpunktes (ym) 
liegenden Teil eines Kreises:
f(x) = ym + wurzel( r^2 - (x - xm)^2 )
(hatte ich ebenfalls verlinkt)
wobei xm und ym die Koordinaten des Kreismittelpunktes darstellen.
Skizze dort, wo auch die Formel zu finden ist.

Aus
 V = pi * Integral[a;b]( (f(x))^2 ) dx
und
 f(x) = ym + wurzel( r^2 - (x - xm)^2 )

ergibt sich:
 V = pi * Integral[a;b]( ( ym + wurzel( r^2 - (x - xm)^2 ) )^2 ) dx

Gleich vorweg, das Ausmultiplizieren dieser Formel oder gar dessen 
Integration erkläre ich dir NICHT.

von Dibblinsch (Gast)


Angehängte Dateien:

Lesenswert?

Nochwas, da du scheinbar bei "Torus" an sowas wie einen Donat denkst.
Um dessen Volumen mit der gegebenen Formel zu berechnen, müsstet du 
diese Formel zweimal verwenden, quasi zur Berechnung des Volumens einer 
Scheibe mit einer Wölbung nach aussen und dann zur Berechung des 
Volumens einer Scheibe mit einer Wölbung nach innen, die dann 
voneinander zu subtrahieren wären.

Für Wölbung nach innen muss (gemäß Abbildung) lediglich ym negativ 
angesetzt werden.

Die Formel vereinfacht sich für einen Donat, Fahrradschlauch, 
Runddichtung oder ähnliches (angenommen es wäre ideal rund) dann einfach 
zu

V = 2 * pi^2 * r^2 * ym

aber das wollten wir hier ja nicht wissen.
Es ging vielmehr nur um das Volumen einer Scheibe, die außen durch eine 
radiusförmige Wölbung begrenzt wird.

von Gerald (Gast)


Lesenswert?

Hallo Dibblinsch!

Also erstmal vorweg: Ich möchte wirklich nirgends deine Arbeit als meine 
verkaufen und es geht auch weder um eine Facharbeit, noch um sonst 
irgendeine Arbeit, die ich für irgendwen oder irgendwas machen muss.

Ich bin dir sehr dankbar für deine Geduld! Ich habe es jetzt auch 
verstanden mit dem Volumenintegral, musste nochmal ein paar alte Bücher 
bemühen und kann nun auch die Zeichnungen nachvollziehen.

Erst hatte ich damit ein bisschen Probleme, da die Grafik ja verkehrt zu 
meinem eigentlichen Tank steht, aber ist ja mathematisch gesehen echt 
egal.

Ich kann das Integral zwar nicht per Hand auflösen, aber der Rechner 
löst es und es passt (muss man sowas können?).

Also an dieser Stelle nochmal vielen Dank!

von Dibblinsch (Gast)


Lesenswert?

" Ich möchte wirklich nirgends deine Arbeit als meine
verkaufen und es geht auch weder um eine Facharbeit, noch um sonst
irgendeine Arbeit, die ich für irgendwen oder irgendwas machen muss."

Reines Intresse an Mathe würd ich dir jetzt auch nicht unbedingt 
abnehmen, denn dafür hast du dir ja schon bei den einfachsten Fragen zu 
schwer getan.
Und ein Matheforum ist das hier gewiss auch nicht.
Es wäre dann schon intressant, was du mit dem Zeug dann überhaupt 
anfängst.
Das steht nämlich hier, damit es angewandt werden kann.
Jetzt ist das dann hoffentlich auch hinreichend erklärt.
Von mir gibt es dazu jedenfalls keine weiteren Kommentare mehr.

"Ich kann das Integral zwar nicht per Hand auflösen, aber der Rechner
löst es und es passt (muss man sowas können?)."

Nachdem ich diese Formel schon 100fach eingesetzt und verifiziert habe, 
wäre es jetzt wirklich blöd, wenn sie sich plötzlich als falsch erwiesen 
hätte. Nicht auszudenken was wäre, wenn ich damit auch das von mir 
verwendete CAD-System hätte in Frage stellen müssen.
Schön also von dir bestätigt zu bekommen, dass es passt, da bin ich 
jetzt richtig erleichtert :).

von Jörg (Gast)


Lesenswert?

Hi Andy,
ich stoße gerade zufällig hier hin. Sind alle Klarheiten beseitigt? Ich 
habe selbst die Formeln zur Berechnung von gewölbten Böden hergeleitet. 
Könnte sie noch Mal heraussuchen und zur Verfügung stellen.
Grüße Jörg

von Harald Herrenberger (Gast)


Lesenswert?

Hallo Jörg!

Ich wäre sehr an den Herleitungen interessiert. Ich habe die Sachen auch 
mal beerechnet, aber der liegende Tank mit zwei Klöpperböden an den 
Seiten bereitet mir wirklich Probleme. Der stehende Fall ist mir klar, 
da habe ich auch gleiche Werte raus, wie hier bereits in den 
Excel-Sheets berechnet wurden.

Wenn du dazu eine Herleitung hast, dann wäre ich echt dankbar!


Harald

von Jörg (Gast)


Angehängte Dateien:

Lesenswert?

Hallo Harald,
Ableitung für stehende Behälter mit beliebig abgerundeten Böden habe ich 
hergeleitet. Bei liegenden Behältern habe ich bisher keine geschlossene 
Formel entwickelt. Hier liegt ein Kreissegment vor, welches abhängig von 
Füllstand und Länge integriert werden muß. Das müßte auf jeden Fall 
numerisch gehen. Ich habe vor etlichen Jahren mal damit begonnen ein 
Behälterberechnungsprogramm (damals noch VB4) für verschieden geformte 
Böden zu erstellen. Mit genauer maßstabsgerechter Darstellung des 
Behälters und den zugehörigen Kurven auf Bildschirm und Drucker. Aus 
Mangel an Zeit liegt das Ganze schon seit mind. 7-8 Jahren irgendwo zu 
hause herum. So richtig fertig geworden ist das Projekt also nicht. 
Liegende Behälter sind aber auch mein Problem gewesen, also habe ich 
mich vorhin wohl zu weit aus dem Fenster gelehnt. Da ich aber hier sehe, 
daß Interesse vorhanden ist, werde ich mich demnächst mit liegenden 
Behältern beschäftigen. Grüße Jörg

von Gerhardus (Gast)


Angehängte Dateien:

Lesenswert?

Hallo, anbei eine Tabelle aus dem Afflerbach Katalog.Danach berechnen 
wir im Behälterbau Teilvolumen von Behältern.Vielleicht hilft Euch das 
weiter.Gruß Jörn

von Dibblinsch (Gast)


Lesenswert?

Hallo,
lest ihr beiden eigentlich, was hier so alles steht?
Hier
Beitrag "Re: Jemand aus der Industrie hier? - Klöpperboden berechnen."
habe ich z.B. die Formeln für Abschnitte einer Kugelkappe beschrieben.

Den "Torusbereich" hatte ich wesentlich durch einen Kegelstumpf ersetzt.
Hier
Beitrag "Re: Jemand aus der Industrie hier? - Klöpperboden berechnen."
findet sich ein Link wo gezeigt wird, wie das Volumen eines 
Kegelabschnitts, ergo auch das Volumen eines Kegelstumpfes berechnet 
werden kann.
Was vom Torus übrig bleibt, hatte ich z.B. durch eine Rotation 
angenähert.
Dazu wäre es notwendig gewesen den Schwerpunkt des zu rotierenden 
Kreisabschnittes und mit dessen Hilfe den erforderlichen Rotationswinkel 
zu bestimmen. So genau hab ich das nun nicht genommen.
Man bedenke, dass das Volumen in diesem Bereich ohnehin gering ist (ca. 
2% des Gesamtvolumens).
Alternativ könnte man z.B. auch mehrere Kegelstumpfabschnitte zur 
Annäherung des "Torusbereichs" verwenden.
Angenommen das fragliche Volumen kann so mit einer Abweichung von 1% 
angenähert werden, dann wäre der Gesammtfehler irgendwo bei 0,02%
Damit sollte also das Volumen hinreichend genau beschrieben werden 
können.
Fertigungsungenauigkeiten lagebedingte Abweichungen und Fehler bei der 
Füllstandsmessung dürften weit größer sein.
Nummerisch richtig scheint mir die "Tabelle aus dem Afflerbach Katalog" 
jedenfalls auch nicht zu sein (Beispielsweise sollte die Differez der 
Werte oberhalb der Mitte symmetrisch zu den Werten unterhalb der Mitte 
sein, sind es aber nicht. z.B. Volumenanteil bei 100% abzüglich 
Volumenanteil bei 49% ungleich Volumenanteil bei 51%, bzw. 100 - 48.33 = 
51.67 also ungleich 51.35).
Offenbar tut es die Tabelle trotzdem für gewisse Zwecke.

von Ferdinand (Gast)


Lesenswert?

Hallo Dibblinsch!

Du hast hier wirklich gute Arbeit geleistet! Nur es ist nicht immer für 
jeden direkt ersichtlich, wie du es hergeleitet hast. Das hängt auch 
davon ab, in wie weit man mit der Mathematik vertraut ist - da sind ja 
auch Unterschiede.

Bitte jetzt nicht irgendeinen Spruch wie "Wer das benutzen will, der 
sollte schon damit klar kommen..." - manchmal fehlt einfach der Punkt wo 
es 'klick' macht und man es versteht.

Ich kann z.B. auch den stehenden Behälter ohne Probleme herleiten, der 
liegende macht mir dagegen auch mehr Sorgen. Ich habe auch schon länger 
an einer wirklich richtigen Lösung herumversucht, aber bis jetzt ist 
dabei (noch) nicht so viel herumgekommen.

Mathematiker bin ich keiner, als Grundschulmathematik würde ich das aber 
auch nicht abstempeln.

Gruß, Ferdinand

von Dibblinsch (Gast)


Angehängte Dateien:

Lesenswert?

Hallo Ferdinand,

jane, schon klar, wenn man das alles für z.B. Korbbogenböden oder 
elliptische Böden heranziehen möchte, dann hängt man ja auch schon fest, 
wenn man nicht weiss, inwieweit man die Formeln verändern muss.
Es gibt andererseits auch Räder, die man nicht jedesmal neu erfinden 
muss.
Die Formel für den Abschnitt am geraden Kreiskegel hab ich z.B. auch nur 
irgendwo gefunden und hier angewandt.
Hier nochmal, wie ich das im Einzelnen gelöst habe(siehe Abb.)
Zylindrischer Bereich (gelb):
 Kreisabschnitt * Länge
shperischer Bereich (grün):
 mit den Formeln hier:
 Beitrag "Re: Jemand aus der Industrie hier? - Klöpperboden berechnen."
 Da muss man sich das Bild wieder um 90° gereht vorstellen, damit
 es zur Lage des Fasses passt.
 Man berechnet zunächst das Volumen des spherischen Bereichs
 (Formel für a = max.) und berechnet dann mit der allgemeinen Formel
 das Volumen des ungefüllten Bereichs und subtrahiert es davon.
Abschnitt eines Kegelstumpfes (blau)
 Wie im Bild rechts gezeigt, kann der Abschnitt eines
 Kegelstumpfes über die Subtraktion zweier Kegelabschnitte
 berechnet werden.
1
 Der gerade Kreiskegel habe r als Grundkreisradius und h als Höhe. 
2
Sei a der Abstand der Schnittebene von der Kegelachse, dann hat das Volumen 
3
des Kegelabschnittes den Wert: 
4
5
V = h/(6*r) *(Pi * r^3 - 4*a*r*Wurzel(r^2 - a^2) - 2*r^3*arcsin(a/r) + 2*a^3*(ln(r+Wurzel(r^2 - a^2))-ln(a)) )
Rotation des Kreisabschnittes (pink):
 Da hab ich grob den Schwerpunkt das Kreisabschnittes bestimmt und mit
 dessen Hilfe einen Rotationswinkel bestimmt (siehe Abb.)
 Da hab ich dann wieder die Rotationsformeln hier
 Beitrag "Re: Jemand aus der Industrie hier? - Klöpperboden berechnen."
 benutzt und den inneren Kegelstumpf mit gleichem Anteil wieder 
subtrahiert.
 Das Bild zeigt, wie sich das in etwa auf die Volumensberechnung 
auswirkt.

All das steht aber im Grunde schon hier.

von Dibblinsch (Gast)


Angehängte Dateien:

Lesenswert?

Zum liegenden Fass noch ein paar Hinweise.
Die Lösung für den Torusbereich, wie ich sie oben dargestellt hatte, ist 
entstanden, weil irgendwo in diesem Thread bzw. unter einem verlinkten 
Beitrag dieser Gedanke zunächst geäußert, dann aber wohl verworfen 
wurde.
Ich wollte einfach sehen, ob sich damit nicht doch etwas machen liese.
Wenn es um Genauigkeit gegangen wäre, dann hätte ich wohl eher einen 
anderen Weg gewählt.
Da wäre beispielsweise die Möglichkeit mehrere Teilabschnitte in Form 
eines Kegelstumpfabschnitts zu berechnen, wie ich das bereits 
geschrieben hatte.
Eine noch bessere Näherung liese sich vermutlich durch Abschnitte an 
Scheiben von Ellipsoiden erreichen. Im Bild zeige ich beispielhaft, wie 
die Näherung des Torusbereichs durch zwei Ellipsen gelingen könnte, so 
dass unter Verwendung der Formeln hier
Beitrag "Re: Jemand aus der Industrie hier? - Klöpperboden berechnen." 
abschnittsweise eine Volumensberechnung möglich wäre.
Die Berechnung wäre damit vermutlich etwas umfangreicher.
Vorkauen will ich diese Lösung hier nicht, zumal ich mit gewölbten Böden 
oder Behältern im Grunde überhaupt nichts zu tun habe.

/Dibblinsch
woe at swin.de

von Dibblinsch (Gast)


Angehängte Dateien:

Lesenswert?

Vergessen habe ich noch das entsprechende Excelblatt mit der Näherung 
durch Ellipsoide anzuhängen. Das war vielleicht auch gut so, weil ich 
heute noch eine kleine Ungereimtheit entdeckt und beseitigt habe.
Bei dieser Berechnung habe ich dann auch eine Variation der Bodenradien 
ermöglicht, damit eventuell andere Bodenformen berechnet werden können. 
Überprüfungen habe ich aber lediglich anhand eines Klöpperbodens 
vorgenommen.
Hier sei auch nochmal besonders Horst Hahn gedankt, der Daten einer 
nummerischen Integration bereitstellte, die ich zur Überprüfung meiner 
Ergebnisse nutzte.
Leider gibt es eine Vielzahl von gewölbten Böden (elliptische Böden, 
torispherical heads, semi ellipsoidal heads, Korbogenböden, Klöpperböden 
usw.) und verschiedenste Normen und Standards dazu, die ich nicht kenne. 
Insofern weiss ich nicht, inwieweit sich welcher Boden mit meiner 
Berechnung abbilden liese.
Ich bin jeweils davon ausgegangen, dass der Boden aus einem spherischen 
Teil (großer Radius) und einem Torus (kleiner Radius) gebildet wird, 
wobei der kleine Radius einerseits zum Zylinder und andererseits zum 
spherischen Bereich tangential übergeht. Es gibt aber den einen oder 
anderen Hinweis darauf, dass das bei diesen Bodenformen nicht immer so 
ist.
Mit den Formeln, die ich hier bereitgestellt habe, ist aber doch so 
einiges möglich, was ich hier an Beispielen zeigen konnte.
Die nächste Herausforderung wäre eine volume calculation bei geneigten 
Fässern. Für rein zylindrische Fässer wäre das mit Hilfe der Formeln für 
den Zylinderhuf noch relativ leicht zu lösen. Für den Bereich der 
gewölbten Böden ist das aber schon beim liegenden Fass einigermassen 
komplex geworden. Ich überlasse das dann vielleicht doch lieber Leuten, 
die sich mit den Bodenformen besser auskennen.
Und bevor ich es noch vergesse, ich garantiere natürlich für nichts.

/Dibblinsch

von Dibblinsch (Gast)


Lesenswert?

So, und nun, nach all der komplizierten Rechnerei auch noch eine 
Vereinfachung bei Klöpperböden (liegendes Fass), die jenen helfen mag, 
die bislang Tabellen ala Afflerbach verwendet haben, oder wo die 
Genauigkeitsanforderungen nicht übermäßig hoch sind.

Vt ~ (0,03 - 0,0002 * Hf) * Hf^2 * (0,1 * Di)^3

Vt : Teilvolumen in Liter (eines Bodens ohne zyl. Anteil)
Di : lichter Durchmesser in dm
Hf : Füllhöhe in % von Di

Der Vorteil wäre hier, dass die Funktion symmetrisch ist.
D.h. wenn ich vom Wert bei 100% Füllhöhe den Wert bei 10% Füllhöhe 
subtrahiere, dann erhalte ich den gleichen Wert, wie wenn ich mit 90% 
Füllhöhe rechne. Das ist ja, wie bereits festgestellt, bei der 
afflerbach'schen Tabelle nicht unbedingt der Fall. Für 
Mikrocontroller-Anwendungen könnte man sich damit dann auch Tabellen und 
die damit erforderlichen Interpolationen sparen. Auch bei Verwendung von 
Tabellen wäre damit evtl. die Ermittlung von Zwischenwerten effizienter 
zu gestalten.

/Dipplinsch

von Dibblinsch (Gast)


Lesenswert?

Keine Ahnung, ob das Ganze hier noch wen interessiert, aber ich habe 
noch einmal ein paar Vergleichsrechnungen für das liegende Fass 
durchgeführt.

Ich stelle fest:
Mit der Variante hier:
Beitrag "Re: Jemand aus der Industrie hier? - Klöpperboden berechnen."
(Näherung des Torusbereichs durch Kegelstumpf und Rotation eines 
Kreissegmentes)
war ich bei einem Klöpperboden mit 1000mm Innendurchmesser (ca. 
100Liter) bei einer Abweichung bis 0.008 Litern gelandet. (ca. halbes 
Schnapsglas oder ein holländischer Vingerhoet (=0.01 Liter, Mein 
Fingerhut hat nur 0.003 l :) )

Mit der Variante hier:
Beitrag "Re: Klöpperboden berechnen"
(Nährung des Torusbereichs durch Abschnitte an Scheiben von Ellipsoiden)
hat sich beim gleichen Boden eine Abweichung von 0,014 Litern ergeben. 
Das wäre also ungenauer gewesen als obige Methode, obgleich ich höhere 
Genauigkeit erwartet hatte.
Das liegt nun daran, dass da noch eine "kleine Schwäche" bei der 
Ellipsenanpassung vorliegt. Behebt man die, dann wird es besser.
Ich habe nach der Korrektur eine Abweichung bis ca. 0,003 Litern 
erreicht. (also meinen Fingerhut voll :) )

Die letzte Variante über die simple Formel hier:
Beitrag "Re: Klöpperboden berechnen"
brachte mit Hilfe eines Korrekturfaktors k
k = (Volumen bei 100% Füllung nach exakter Berechnung) / (Volumen bei 
100% Füllung nach der simplen Formel)
eine Abweichnung bis ca. 0.18 Liter. Das ist dann auch nicht soo 
schlecht für die doch seeehr einfache Berechnung, nichtwahr?

/Dibblinsch

von Dibblinsch (Gast)


Angehängte Dateien:

Lesenswert?

Zu den verschiedenen Berechnungen auch noch ein paar Kurven.

Oberes und unteres Diagramm:
Rot: Annährung des Torusbereichs mit Kegelstumpf und Rotation eines 
Kreisabschnittes
Blau: Annährung des Torusbereichs mit Ellipsoiden (korrigierte Fassung, 
nicht hochgeladen)

Unteres Diagramm:
Grün: Einfache Formel

(Vergleich jeweils gegen die nummerische Integration von Horst Hahn mit 
R=1000 und r=100)

Für die Tabelle "nach Afflerbach-Katalog" hab ich auch mal Abweichungen 
gerechnet, aber die zeig ich lieber nicht.

von Dome_ (Gast)


Lesenswert?

Hallo zusammen,

erst einmal vielen Dank für die ausführlichen Beispiele und Rechnungen.

Nun steh ich ein wenig auf dem Schlauch.

Ich möchte die Berechnung von Dipplinsch gerne rückwärts rechnen. Bzw. 
ich habe ein gegebenen Durchmesser der Klöpperboden, Wandstärke, Volumen 
etc. und möchte die Länge berechnen.
Ich möchte es gerne für beide Varianten versuchen, sprich für den 
liegende als auch für den stehenden Behälter.

Ich würde mich über Denkanstöße und Lösungsvorschläge sehr freuen.

Danke und Grüße

Dome_

von Horst H. (horha)


Lesenswert?

Hallo,

Du hast also das komplette Volumen gegeben und möchtest nun die Länge l 
zwischen den Klöpperböden wissen.
Dazu brauchst Du doch nur den Inhalt zweier Klöpperböden abziehen und 
das Restvolumen durch den Kreisquerschnitt des Zylinders teilen.
Eine kleine Skizze wäre hilfreich :-)

von Jens (Gast)


Angehängte Dateien:

Lesenswert?

Hi,

ich stelle mir die Berechnung des Volumens im liegenden Zustand 
wesentlich schwieriger vor. Im stehenden Zustand ist die Schnittfläche 
im Bodenbereich zumindest immer ein Kreis....

JJ

von Horst H. (horha)


Lesenswert?

Hallo,


Jens schrieb:
> ich stelle mir die Berechnung des Volumens im liegenden Zustand
> wesentlich schwieriger vor.

Um diese Berechnung geht es hier die ganze Zeit in diesem 
Gesprächsstrang/thread doch:
Welches Flüssigkeitsvolumen, bei gegebener Füllhöhe.

Ich habe nur numerisch integriert-> Tabelle und Dibblinsch hat Formeln 
erarbeitet, die das sehr genau berechnen und anwendbar sind.
Beitrag "Re: Klöpperboden berechnen" und 
folgende.

von Frank (Gast)


Lesenswert?

Ich habe mir diesen Thread auch schon öfter mal durchgelesen, aber den 
LIEGENDEN Klöppertank raffe ich immernoch nicht :-\

Gibt es denn jetzt eine Formel, die ihn wirklich mathematisch richtig 
beschreibt, oder nur gute Annäherungen?

von Dome_ (Gast)


Angehängte Dateien:

Lesenswert?

Hallo Horst Hahn,

Ich habe mal das Bild hochgeladen, welches hier glaube ich auch schon 
verbreitet wurde.

Deine Annahme stimmt, ich habe einen vorgegeben Durchmesser sowohl beim 
liegenden als auch beim stehenden Behälter und ein vorgegebens Volumen, 
das sich aber je nach Kunde ändert.
Und daraus möchte ich jetzt für beide Behältervariationen die Länge bzw. 
Höhe berechnen.

Deinen Ansatz habe ich leider nicht verstanden. Danke trotzdem.

Grüße

von derda (Gast)


Lesenswert?


von Jens (Gast)


Lesenswert?

>> möchte ich jetzt für beide Behältervariationen die Länge bzw.
Höhe berechnen.


Hi,

das Volumen ist beim liegenden sowie beim stehenden Behälter gleich! 
Oder anders gesagt: ob der Behälter liegt oder steht hat kein Einfluss 
auf sein Volumen. Es hat nur Einfluss auf die Berechnung des 
Füllstandes.

JJ

von Frank (Gast)


Lesenswert?

Jens schrieb:
> das Volumen ist beim liegenden sowie beim stehenden Behälter gleich!

Das is ja wohl logisch ;-)

von Jens (Gast)


Lesenswert?

Ja!:

es gibt nur eine Parameter- "Variante":

Durchmesser: vorgegeben
Volumen: vorgegeben
Höhe bzw. Länge: gefragt
Lage: egal

oder wie ist die zweite "Variation?"? Oder ist lediglich die Lage 
gemeint gewesen? Dann ist der Hinweis (beide Variationen) eigentlich 
überflüssig gewesen und irritiernd, denn wie bereits gesagt: die Lage 
hat nichts mit dem Volumen zu tun, was ja aber eigentlich auch jedem 
klar ist.

JJ

von Dome_ (Gast)


Lesenswert?

Ok, sorry dass ich für Irritation gesorgt habe. Frank hat glaube ich 
gleich gewusst was ich meinte.

Aber bei meinem Problem ist mir damit trotzdem nicht geholfen!

Grüße

von Horst H. (horha)


Lesenswert?

Hallo,

Du willst also die
Füllhöhe hf = f(Füllvolumen,Tankgröße,Tanklage)

die Formel von Dibblisch für den liegenden Tank ist:
Vf ~= (0,03 - 0,0002 * hf) * hf² * (0,1 * Di)³
Wichtig, wie dort ausdrücklich geschrieben, bezieht sich diese Formel 
rein auf den Klöpperboden ohne den zylindrischen Teil des Tanks.

Das Volumen Vz des zylindrischen Teils ist mit Innenradius r und Länge L
Vz =r²*acos((r-hf)/r)-(r-hf)*sqrt(r²-(r-hf)²))*L
Warum nicht einfach eine die Exceltabelle nehmen und hf händisch ändern.
Eine Formel aufzustellen dauert wohl länger, als 100 Tanks so zu 
berechnen...

von Dome_ (Gast)


Lesenswert?

Horst Hahn schrieb:
> Du willst also die
>
> Füllhöhe hf

Nein nicht die Füllhöhe, sondern die Länge des Tanks. Von der Tankgröße 
ist mir also nur der Durchmesser bekannt.

In meiner Skizze war das das Formelzeichen B. Nach dieser unbekannten 
Größe möchte ich die Berechnung aufstellen.

Danke für die Mühe und Grüße

von Horst H. (horha)


Lesenswert?

Hallo,
das ist doch viel zu einfach.
Durchmesser innen Di = Da-2*s
Das Volumen des Klöpperbodens ohne Rand Vk = 0.1 x Di³   ( 0,0989...)
Vz = Vges-2* Vk.
L = Vz/ (pi*Di² )
wobei L auch noch den 2 mal zylindrischen Anteil des Klöpperbedens 
beinhaltet.

von Dome_ (Gast)


Lesenswert?

Hallo,

ok, ich gebe dir recht. Das war mir wohl wirklich zu einfach. Vielen 
Dank für deine Hilfe.
Allerdings glaube ich dass du etwas vergessen hast.
Muss es nicht heißen: L=Vz*4/(Pi*di²)
So komme ich nämlich auf ein ziemlich gutes Ergebnis.

Nochmals Danke und Grüße

von Horst H. (horha)


Lesenswert?

Hallo,

jau, die Querschnittsfläche des Zylinders A = Di²*pi/4.
Dann viel Vergnügen mit den guten Ergebnissen.

von Dome_ (Gast)


Lesenswert?

Jetzt muss es mir nur noch gelingen, die Länge zusätzlich von der 
Füllhöhe zu berechnen.

von Horst H. (horha)


Lesenswert?

Hallo,

worum geht es?
Möchte jemand einen Tank für 17,1245 cbm der maximal zu 83,2651% in der 
Höhe gefüllt sein soll?
Die Exceltabelle von Dibblisch kann das doch.
http://www.mikrocontroller.net/attachment/130503/gewoelbter_fassboden_liegend.xls
Du gibts Durchmesser in D7 und Höhe in D4 vor und variierst L in D9 des 
Tanks
Das Gesamtvolumen des Tankes Füllhöhe = 100% steht in D25, was Du ja 
zuvor mal wissen wolltest und das momentane Volumen bei Höhe = D4 steht 
in D52

Ich würde Zeile 10 bis 51 ausblenden und mit den Zahlen spielen und 
schauen, was D52 macht.

von Dibblinsch (Gast)


Angehängte Dateien:

Lesenswert?

Ach du große Güte,

Frank schrieb:
> Ich habe mir diesen Thread auch schon öfter mal durchgelesen, aber den
> LIEGENDEN Klöppertank raffe ich immernoch nicht :-\
>
> Gibt es denn jetzt eine Formel, die ihn wirklich mathematisch richtig
> beschreibt, oder nur gute Annäherungen?

Mag sein, dass es mathematisch genau geht. Aber schau dir mal an, wie 
diese Dinger hergestellt werden. Da kannst du wahrscheinlich froh sein, 
wenn der tatsächliche Gesamtinhalt des Klöpperboden, der ja mathematisch 
genau berechenbar ist, weniger als 0.1% von der Theorie abweicht.
Was soll der Geiz?
Gut, bei der geposteten Variante ist mir ja ein Bug bekannt. Da hatte 
ich im Testfall noch mehr als nen Fingerhut voll an Abweichung. Ich 
poste halt auch noch mal für die Fetischisten die korrigierte Variante. 
Garantie gibt es trotzdem keine.

Horst Hahn schrieb:
> Ich würde Zeile 10 bis 51 ausblenden und mit den Zahlen spielen und
>
> schauen, was D52 macht.

Bitte, Leute, Excel hat eine Zielwertsuche.
Da gibt man ein, dass man gerne in D52 einen Zielwert von soundso 
erreichen möchte und als veränderbare Zelle dann eben die zylindrische 
Länge in D4. Ratzfatz werden Sie geholfen.

von Dibblinsch (Gast)


Lesenswert?

Ach, und Helden gibt es..
Erst mal ein Bild posten das "glaub ich" schon verbreitet wurde.
Ein Bild, das eindeutig aus meinem Excel-File stammt und nur leicht 
modifiziert wurde.

Dome_ schrieb:
> Hallo Horst Hahn,
>
>
>
> Ich habe mal das Bild hochgeladen, welches hier glaube ich auch schon
>
> verbreitet wurde.

Und später wird das dann auch gleich noch das Eigentum des Helden: "In 
meiner Skizze".


Dome_ schrieb:
> In meiner Skizze war das das Formelzeichen B. Nach dieser unbekannten
>
> Größe möchte ich die Berechnung aufstellen.

Wir wollen doch mal festhalten, dass das im wesentlichen meine Skizze 
ist.

Spenden bitte ans SOS-Kinderdöfer :D

von Dibblinsch (Gast)


Angehängte Dateien:

Lesenswert?

@Frank,

Wie ich das beim liegenden Fass mache, hab ich ja schon mal ausführlich 
erklärt, zumindest für die Variante, wo ich den Torusbereich mittels 
Abschnitt eines Kegelstumpfes angenähert habe.
Mit den Ellipsoiden, das will ich jetzt hier nicht detailiert erklären. 
Ich denke auch nicht, dass darin dein Verständnisproblem liegt.
Das Prinzip ist einfach generell, dass ich mir das Ding aus kleinen 
Stücken zusammen setze. Manchmal muss ich, weil meine Formeln das nicht 
anders hergeben, auch die Stückchen erst zurecht schneiden.
Ich habe das beim Abschnitt am Kegelstumpf
Beitrag "Re: Klöpperboden berechnen"
gezeigt, dass ich erst einen großen Abschnitt berechne und davon wieder 
einen Teil abziehe.
Ähnlich läuft es bei der Kugelkappe.
Da kann ich, wenn ich das Volumen des gelben Bereichs wissen will mit 
den Formeln
Beitrag "Re: Jemand aus der Industrie hier? - Klöpperboden berechnen."
auch nur das Volumen des rosaroten und gelben Bereiches gemeinsam 
berechnen und anschliessend muss ich dann halt das Volumen des rosaroten 
Bereichs wieder subtrahieren und voila.
Um die Stückelei in erträglichem Maß zu halten berechne ich, wenn das 
Fass mehr als bis zur Hälfte gefüllt ist, auch nur das ungefüllte 
Volumen und subtrahiere das dann vom Gesamtvolumen. Gut, ist natürlich 
auch wieder ne Stückelei.
Ist aber auch egal. Formeln sind da und du kannst dir das selbst 
zusammen stückeln, wie du es gerne hättest. Du musst das nicht so machen 
wie ich. Es ist also auch nicht notwendig zu verstehen, wie ich das 
mache.
Elefanten isst man halt vermutlich am leichtesten, indem man sie in 
Teile schneidet, sagte ich hier schon einmal. Zeit braucht es dafür 
allemal.
Wenn mir meine Zeit jemand bezahlen wollte, nur für das liegende Fass, 
müsst ich für das Excelblatt und den Formelkram ca. 10000 Euro 
verlangen. Meine zusätzlichen Erläuterungen garnicht eingerechnet. Ja, 
ok, mein Stundensatz ist ziemlich hoch.

/Dibblinsch

von Ralf (Gast)


Lesenswert?

Hallo Dibblinsch,

die Füllstandsberechnung für den liegenden Behälter mit Klöpperboden ist 
gut. Ich kann nur gerade nicht nachvollziehen, warum hc = L/9 ist.

Kannst du das mal erklären?

von Horst H. (horha)


Lesenswert?

Hallo,

ergibt steht doch in der Definition der Maße des Klöpperbodens:
hc ist der Übergang vom Torus auf die Kugelkalotte.
R = D_a
r = 0,1 * D_a
hc = r * L / (R - r) = L* 0.1/(1-0.1);
hc = r * L / (R - r) = L* 1/(10-1);
hc = r * L / (R - r) = L* 1/9= L/9

von Dibblinsch (Gast)


Lesenswert?

Wir wollen doch bitte nicht nochmal alles ab
Beitrag "Re: Klöpperboden berechnen"
wiederholen.
Wer schon mit der Frage warum hc = L/9 sein soll überfordert ist, sollte 
sich nicht weiter mit dieser Berechnung befassen.

von Ralf (Gast)


Lesenswert?

Hallo Horst,

vielen Dank für deine Antwort. Die Stelle in der hc als r * l/(R - r) 
definiert wird hab ich in diesem Thread nicht gefunden.

Woher stammt diese Definition? Hab die DIN 28011 vorliegen, dort steht 
sie jedenfalls nicht drin.

von Horst H. (horha)


Lesenswert?

Hallo,

Die Skizze aus Dibblinsch toller Exceltabelle:
http://www.mikrocontroller.net/attachment/151853/gewoelbter_fassboden_liegend.xls
enthält doch eine Skizze mit den Bezeichnungen für D,r,R,L,hc etc ..
Beim Klöpperboden wird doch R_Kalotte = Da_zyl und damit r_Torus = 
R_Kalotte/10 vorgegeben und dann ergibt sich die Form automatisch.
Man hätte hc auch auf R_Kalotte beziehen können, aber ich vermute jetzt 
mal, dass es wegen der Wandstärke s nicht so geschickt ist.Das ist jetzt 
zu lange her, dass mich das interessiert hat ;-)

von Dibblinsch (Gast)


Lesenswert?

Auch das war absehbar.
Daher hatte ich bereits geschrieben:
Leider gibt es eine Vielzahl von gewölbten Böden (elliptische Böden,
torispherical heads, semi ellipsoidal heads, Korbogenböden, Klöpperböden
usw.) und verschiedenste Normen und Standards dazu, die ich nicht kenne.
Insofern weiss ich nicht, inwieweit sich welcher Boden mit meiner
Berechnung abbilden liese.
Ich bin jeweils davon ausgegangen, dass der Boden aus einem spherischen
Teil (großer Radius) und einem Torus (kleiner Radius) gebildet wird,
wobei der kleine Radius einerseits zum Zylinder und andererseits zum
spherischen Bereich tangential übergeht. Es gibt aber den einen oder
anderen Hinweis darauf, dass das bei diesen Bodenformen nicht immer so 
ist.

Wem die Berechnung hier nicht gefällt, der kann sich gerne seine eigene 
stricken und muss dazu auch überhaupt keine der hier dargestellten 
Formeln benutzen. Langsam fang ich an mich darüber zu ärgern, dass ich 
meine Arbeit hier veröffentlicht habe.

von Ralf (Gast)


Lesenswert?

Ja, die Zeichnung hab ich. Klar, die Form des Klöpperbodens ergibt sich 
aus den vorgebenen Größen:

R_Kalotte = Da_Zylinder
r_Torus   = R_Kalotte/10

Mir ist jetzt nur noch nicht klar wie ich aus diesen Größen die Formel
hc = r * 1/(R - r) herleite

Die berechneten Werte sind aber recht plausibel.

von Andy (Gast)


Lesenswert?

Das ist doch wirklich interessant ;-) Den Thread habe ich 2010 eröffnet 
und der liegende Klöpperboden macht immernoch Probleme.

Aber ich muss zugeben, dass ich bis heute ebenfalls keine wirklich 
richtige Berechnung aufgetan habe, die zu 100% stimmt. Beim stehenden 
ist ja wirklich alles bis ins Detail zu berechnen. Aber der liegende ist 
irgendwie immer ein Kompromiss zwischen sehr guter Näherung und passt 
schon.

Muss aber auch sagen, dass ich jetzt nicht alles hier gelesen habe. Ist 
evtl. schon eine mathematisch einwandfreie Lösung dabei?


Gruß, Andy

von Horst H. (horha)


Angehängte Dateien:

Lesenswert?

Hallo,

der Threadersteller höchst persönlich?
Wozu brauchst Du eine mathematisch exakte Lösung, wobei doch in Realität 
solch ein Boden nicht so exakt geformt wird, wie er hier schon berechnet 
wird.
@ralf:
Brauchst Du eine Skizze für hc = L/9?
L wird doch genutzt weil R = Da, aber der Innendurchmesser des Tanks nur 
Di = Da-2*s ist damit ändern sich die Winkel für den Übergang von Torus 
auf Kugelkalotte.
Wenn Du die Skizze betrachtest geht es einfach um eine zentrische 
Streckung
L ist gelb
R = grün+blau  //= Da = Aussenradius
0.9xR = blau
0.1*R = grün
hc = rot

rot/gelb = grün/blau
hc/L= 0.1*R/(0.9*R) = 1/9
hc = L/9

Orange = Da/2-s (Aussenradius-Wandstärke)

von Ralf (Gast)


Lesenswert?

Ah ok, danke jetzt hab ichs :)

von Dibblinsch (Gast)


Lesenswert?

Andy schrieb:
> ich muss zugeben, dass ich bis heute ebenfalls keine wirklich
>
> richtige Berechnung aufgetan habe, die zu 100% stimmt
Was bedeutet 100% richtig?
Kennst du denn die Normen zu Klöpperböden ?
Nur mit Kenntnis der Norm kann man eine Berechnung auch sachlich richtig 
formulieren. Es könnte beispielsweise sein, dass die Norm gewisse Höhen 
festlegt, die beispielsweise zwischen Torus und Kugelkalotte noch einen, 
vielleicht auch nur sehr kleinen Kegel erfordern würden.
Nochmal, ich kenne die Normen nicht.
Wahrscheinlich ist auch, dass in den entsprechenden Normen Toleranzen 
festgelegt sind. Ein realer Klöpperboden wird in aller Regel von der 
Idealform abweichen. Man müsste die Form also präzise erfassen und auf 
den Istmassen aufbauend eine Berechnung durchführen, die dann sicher 
keine geschlossene Lösung mehr sein kann. Nichts ist ideal rund.
Inwieweit der Boden, wenn er dann z.B. angeschweisst wird seine Form 
behält, ist nochmal ne ganz andere Frage.
Die geometrische Abweichung ist aber vielleicht noch das geringere 
Problem. Die Berechnung geht ja davon aus, dass das entsprechende Fass 
exakt waagerecht gelagert ist und die Füllhöhe exakt ermittelt wird. 
Auch das gelingt nur bis zu einer gewissen Genauigkeit und auch da 
werden, womöglich noch deutlichere, Fehler produziert. Von eingesetzten 
Stutzen usw. garnicht erst zu reden...
In Zahlenräumen gibt es vielleicht ein 100% richtig, nicht aber in der 
realen Welt.

von Horst H. (horha)


Lesenswert?

Hallo,

aus
http://www.juenger.com/home/kloepperboeden/index.html

[quote]
Spezifikation nach DIN 28011

r1 = Da
r2 = 0,1 * Da
Da = Do = D
h1 ≥ 3,5 * s
h2 = 0,1935 * Da - 0,455 * s
h3 = h1 + h2
V ≈ 0,1 * (Da-2 * s)3 ohne Bordhöhe h1
Aa ≈ 0,99 *  Da2 ohne Bordhöhe h1
Ai ≈ 0,99 * (Da - 2 * s)2 ohne Bordhöhe h1

(h: Höhe | r: Radius | Da: Außendurchmesser | s: Nennwandstärke | V: 
Volumen | Aa: äussere Oberfläche | Ai: innere Oberfläche)

DIN 28011 gilt für einteilige Böden mit und ohne Schweissnaht mit 
Aussendurchmesser Da ≤ 4000 mm und Nennwandstärke s ≤ 50 mm.
Toleranzen
Grenzabmasse für die innere Höhe h3
oberes Abmass: + 0.015 * Da oder 10 mm (zulässig ist jeweils der 
grössere Wert)
unteres Abmass: 0[/quote]
Also mindestes für h3 minimal 10 mm Abweichung
Bei Da= 1000 mm sind es schon 1000*0,015 = 15 mm
Die Formeln beziehen sich ja nur auf den Bereich von 0,1935*Da .
Kann also im schlechtesten Fall eine Abweichung von 1+0,015/0,1935 fast 
8% ergeben.
Umgerechnet entsprach doch der Klöpperboeden dem Zylinder mit h = 0,126* 
Da.Bezogen auf einen längeren Tank bleibt das immer noch Pillepalle, ob 
dort 8% mehr drin sind.

von Dibblinsch (Gast)


Lesenswert?

Selbstverständlich kenn ich die Angaben von Jünger, gehe aber nicht 
davon aus, dass das den Inhalt der Norm vollständig wieder gibt.
Erkennbar ist aber auch hier schon, dass z.B.
h2 = 0,1935 * Da - 0,455 * s
angegeben wird.
Ich ignoriere das z.B. aber bewusst, und gehe rein von den geometrischen 
Bedingungen aus, dass es zwei Radien in einem bestimmten Verhältnis 
gibt, die tangential ineinander übergehen und rechne.
h2 = Da - WURZEL(65*r^2+8*r*s-s^2)
Um zu vergleichen, kann man die Normangabe umrechnen und das gäbe.
h2 = Da - WURZEL(65.044225*r^2 - 7.33915*r*s + 0.207025*s^2)
Da ist also schon mal keine 100% Übereinstimmung mit der Norm.
Hätte ich so gerechnet, hätten wir hier womöglich nicht mehr nur von 
einem Torus und einer Kugelkappe geredet. Es hätte die Lösung insgesamt 
nicht einfach oder transparenter gemacht.

Klar, da stimmen wir wohl überein. Alles Pillepalle, jedenfalls für uns.
Das muss halt vielleicht jeder für sich selbst entscheiden, was 
Pillepalle ist und was nicht.

von Josef L. (Gast)


Lesenswert?

Hallo an beng2010,

Bin heute über deine xlsx-Datei gestoßen. Super, klasse, praktisch. 
DANKE.

Hast du (wie damals angekündigt) auch nun die Version für den liegenden 
Behälter geschrieben?
Ich wäre dir sehr dankbar, wenn du mir diese Datei zukommen lassen 
würdest und zwar an
jjenc98 at gmail punkt com

DANKE schon mal im Voraus für dein Bemühen.
Josef

Autor: Frank H. (beng2010)
Datum: 01.04.2011 20:00
Angehängte Dateien:
Volumenberechnung_Beh__lterform.xlsx (292 KB, 703 Downloads)

von Michael (Gast)


Angehängte Dateien:

Lesenswert?

Hallo zusammen, ich hänge mich mal hier an den Thread mit ran.

Kann mir jemand sagen wie ich berechne in welcher Höhe h der 
Kreisdurchmesser D erreicht ist? (s. Skizze)

Vielen Dank für eure Hilfe!

von Michael (Gast)


Angehängte Dateien:

Lesenswert?

....falsche Skizze im vorherigen Post angehängt

von Pandur S. (jetztnicht)


Lesenswert?

Die Frage dazu ist welche Funktion die Kurve erfuellt. Genuegt die 
Forderung nach stetiger Ableitung, zweifach stetiger Ableitung, oder ist 
da sonst noch etwas. Falls die Funktion bekannt ist ist die Loesung der 
Frage nicht mehr schwierig.

von Asdf J. (michko)


Lesenswert?

ja, leider ist mir die funktion nicht bekannt, das ist ja das problem

von Winfried O. (winfried_o)


Lesenswert?

Die "Funktion" nennt sich Kreisbogen.
Das Profil des Korbbogen oder des Klöpperboden entsteht durch 
Kreisradien, aber das ist ja schon so ungefähr das Minimum was man 
wissen sollte... Das steht hier aber auch schon gefühlte 1000 mal.
/Dibblinsch

von Joe G. (feinmechaniker) Benutzerseite


Angehängte Dateien:

Lesenswert?

Michael schrieb:
> Kann mir jemand sagen wie ich berechne in welcher Höhe h der
> Kreisdurchmesser D erreicht ist? (s. Skizze)

Ja, ich :-)

von Anton L. (antonlane)


Lesenswert?


von Winfried O. (winfried_o)


Lesenswert?

In Bezug auf Klöpperböden erscheint mir das Ganze wenig gewinnbringend, 
zumal man sich da unter anderem mit Zoll und Gallonen herumschlagen 
müsste.
Torispherical heads sind halt auch ein wenig anders als Klöpperböden.
Der Fall des liegenden Fasses hier
Beitrag "Re: Klöpperboden berechnen"
ist aber auch dafür wohl hinreichend flexibel formuliert.

Bitte melde dich an um einen Beitrag zu schreiben. Anmeldung ist kostenlos und dauert nur eine Minute.
Bestehender Account
Schon ein Account bei Google/GoogleMail? Keine Anmeldung erforderlich!
Mit Google-Account einloggen
Noch kein Account? Hier anmelden.